返回

右美托咪定与咪唑安定在麻醉监测管理下玻璃体视网膜手术中的对比

阅读量:10555
DOI:10.3978/j.issn.1000-4432.2022.03.1
发布日期:2022-11-23
作者:
杨卫红 ,陆维莎 ,张成 ,李文献 ,谭放
展开更多

关键词

右美托咪定
镇静
镇痛
视网膜手术
麻醉监测管理

摘要

目的:在麻醉监测管理(monitored anesthesia care,MAC)中,通过与咪唑安定比较,观察右美托咪 定在玻璃体视网膜手术中应用的效果、安全性,探讨其应用可行性。方法:将择期玻璃体视网膜 手术患者40例随机双盲分入咪唑安定组(M组)和右美托咪定组(D组)。每组20例,两组患者均行球 后神经阻滞麻醉,连接脑电双频指数(bispectral index,BIS)监测仪监测并维持BIS值在70~90间, 观察和比较麻醉手术中及复苏期的平均动脉压(mean arterial pressure,MAP)、心率(heart rate, HR)、呼吸频率(respiratory rate,RR)、脉搏氧饱和度(oxygen saturation,SpO2)、Ramsay镇静评 分、疼痛数字评分法(Numerical Rating Scale,NRS疼痛评分)、手术医生和患者麻醉效果评分及不 良反应的差异。结果:与麻醉前比较,手术期D组用药后10 min内的心率、血压下降差异有统计学 意义(P<0.05),且用药后10 min内D组心率下降幅度较M组更大(P<0.05)。在手术期和复苏期,D组 的NRS疼痛评分均显著低于M组且差异有统计学意义(均P<0.001),而两组的Ramsay镇静评分差异 无统计学意义(P>0.05)。D组手术期患者的体动发生率和羟考酮使用率显著低于M组(均P<0.05)。 手术医生和患者的麻醉效果评分D组显著高于M组(均P<0.001)。结论:右美托咪定用于玻璃体视 网膜手术,较咪唑安定镇痛效果好且不良反应少,麻醉效果更好。

全文

      麻醉监测管理(monitored anesthesia care, MAC)目前已广泛应用于手术中[1-2],玻璃体视网膜 手术难度大、时间长、操作精细,且要求手术镇 痛完全,患者充分安静,这也对眼科MAC如何实 施提出了更高的要求[3-4]。右美托咪定作为新一代高度选择性的α2肾上腺受体激动剂,具有镇静、 镇痛作用而无呼吸抑制的特性,在临床应用上日 益引起重视[5-6]。本研究拟通过与传统MAC药物咪 唑安定比较,观察右美托咪定行玻璃体视网膜手术中应用的效果、安全性,探讨其应用可行性。

1 对象与方法

1.1 对象

      收集复旦大学附属眼耳鼻喉科医院2019年3月 至2019年9月期间拟行视网膜手术的患者。入选标准:选择择期行视网膜手术患者40例,美国麻醉医师协会(American Society of Anesthesiologists, ASA)I~II级,29~76岁,男16例,女24例。患者被随机分为咪唑安定组(M组,江苏恩华药业股份有限公司,批准文号:国药准字H20031071,规格信 息:5 mL:5 mg)和右美托咪定组(D组,扬子江药业 集团有限公司,批准文号:国药准字H20183219, 规格信息:2 mL:0.2 mg),每组各20例,同时采用双盲法进行实验,即麻醉师和患者均不知道所用麻醉诱导药品名称和分组的情况下进行玻璃体视网膜手术麻醉和数据记录。排除标准:术前合并 有严重心肝肾功能异常、听力障碍、对麻醉药物 过敏及精神异常不能配合的患者。 
      本研究获得复旦大学附属眼耳鼻喉科医院医学伦理委员会的批准(批号2019007-1),符合《赫尔辛基宣言》。所有患者充分告知后签署知情同意书。

1.2 麻醉方法

      患者术前常规访视,禁食禁饮,无任何术前麻醉用药。患者入手术室后开放外周静脉,应 用多功能监护仪持续监测无创平均动脉血压(mean arterial pressure,MAP)、心率(heart rate,HR)、 呼吸频率(respiratory rate,RR)、脉搏氧饱和度 (pulse oxygen saturation,SpO2),同时行脑电双频 指数(bispectral index,BIS)监测仪监测。手术期 的麻醉诱导:D组先使用右美托咪定0.8 μg/kg, 10 min内泵注完成,单次推注追加剂量0.3 μg/kg; M组先使用单次推注咪唑安定30 μg/kg,追加剂量 10 μg/kg,同时监测和调整麻醉深度并维持BIS值 在70~90间,BIS值高于90追加右美及咪唑安定的 剂量。根据术中患者的疼痛需求酌情使用羟考酮 0.05 mg/kg静脉注射。手术结束后患者进入复苏 室后均观察30 min后送返病房。

1.3 观察和评价指标

1.3.1 一般资料

      年龄、性别、体重指数(body mass index, BMI)、高血压、糖尿病、心脏病等基础疾病史、 近期(2周内)上呼吸道感染史等。记录手术时间和麻醉时间。

1.3.2 血流动力学和呼吸变化

      无创MAP、HR、RR、SpO2和BIS分别于麻醉前、给药即刻(0 min)、给药后每隔5 min记录相应数据持续至1h以及复苏期30min的记录。

1.3.3 麻醉效果评价

      Ramsay镇静评分:患者焦虑或激动不安为1 分;患者平静合作,具有定向力为2分;患者嗜睡,能听从指令为3分;患者入睡,大声呼唤反应敏捷为4分;患者入睡,大声呼唤反应迟钝为5分;患者入睡,对刺激无反应为6分。分别于麻 醉前、给药即刻、给药后每隔5 min记录持续至1h、以及复苏30 min期间每隔5min的多次评价, 如果评分<2或BIS>90则使用同种药物进行维持补救,记录补救剂量和次数。 
     疼痛数字评分法(Numerical Rating Scale,NRS 疼痛评分):将疼痛的程度用0~10共11个数字表 示,0分表示无痛,1~2分代表轻度疼痛(能忍受, 无需止痛处理),3~4分代表中度疼痛(较难忍受, 需要适当止痛处理),5~10分重度及剧烈疼痛(无法忍受,必须立即止痛处理),患者根据自身疼痛程度在这11个数字中挑选一个数字代表疼痛程度。在手术期间的麻醉前、给药即刻、给药后每隔5min评价记录持续至1 h(即手术期每个患者共有1 3个时间点的评分,每组共260次评分),在复苏期间每隔5 min评价记录持续至30 min(即复苏 期每个患者共有7个时间点的评分,每组共140次 评分)。如果出现评分3及以上情况则使用羟考酮 0.05 mg/kg静脉注射补救,记录补救剂量和次数。 手术期及复苏期不良反应,包括术中体动躁动、低氧、呻吟多话、术中遗忘及术后口干、恶心、眩晕、昏睡等。 手术医生及患者麻醉效果评分:将麻醉满意 程度用0~10共1 1个数字表示,0表示最不满意, 10代表最满意。手术结束时分别记录。

1.4 统计学处理

      采用SPSS 22.0统计软件分析数据。计量资料 以均数±标准差(x±s)表示,组间比较采用独立样本t检验;计数资料和等级资料以例(%)表示,计数资 料比较采用χ2 检验。P<0.05为差异有统计学意义。

2 结果

2.1 患者的基本情况

    两组年龄、性别、BMI、ASA级别相关基础疾病发生率、手术时间、麻醉时间和近期2周上呼吸道感染发生率差异均无统计学意义(均P>0.05,表1 )。两组麻醉前的心率、MAP、呼吸频率、 SpO2、BIS、Ramsay镇静评分差异无统计学意义(均P>0.05)

表1 患者基本资料的比较(n=20)
Table 1 Comparison of basic data of patients (n=20)

20230128105340_6915.png

2.2 麻醉手术期及复苏期的监测指标比较

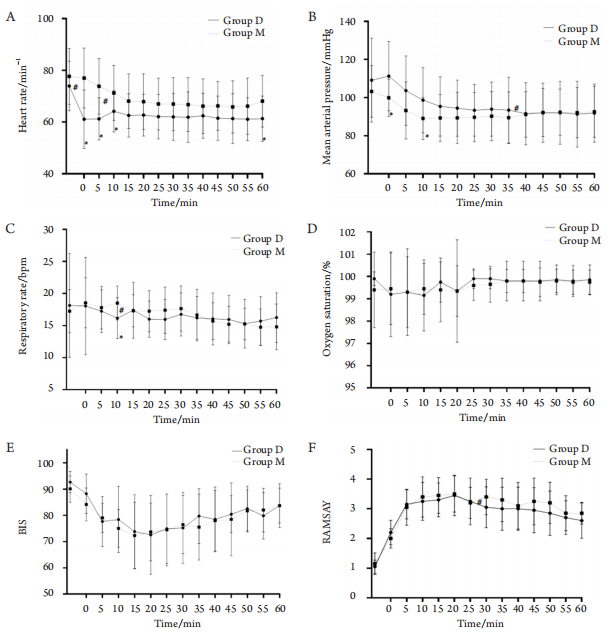
    与麻醉前比较,D 组用药后 10 min 内的心率、血压下降差异有统计学意义( P < 0.05),且用药后 10 min 内 D 组心率下降幅度较 M 组更大(P<0.05;图1,2)。两组的Ramsay镇静评分在术中和复苏期间差异均无统计学意义(均P >0.05)。手术期间D组的NRS疼痛评分显著低于M组,差异有统计学意义( P <0.001);复苏期间,D组的NRS疼痛评分显著低于M组,差异有统计学意义(P<0.001;表2)。

2.3 术中不良反应和麻醉效果比较

    D组术中患者体动躁动发生率、羟考酮使用率低于M组(P<0.05),D组患者口干的发生率高于M组(P<0.05)。M组有3例低氧(SpO2<95 mmHg),但与D组相比差异无统计学意义(P >0.05)。手术医生和患者的麻醉效果评价 D 组显著高于 M 组(P<0.001,表3)。
20230128110320_7277.png
图1 手术过程中不同时间点的HR(A)、MAP(B)、RR(B)、SpO2(D)、BIS(E)、Ramsay镇静评分(F)的波动差异
Figure 1 Changes in HR (A), MAP (B), ventilatory frequency (C), SpO2 (D), BIS (E) and Ramsay sedation score (F) during the operation
*:相同时间点的组间均值比较差异有统计学意义;#:相邻时间点的组间曲线斜率比较差异有统计学意义。
*: comparison of the mean values at the same time point, P<0.05; #: comparison of the slope of the curve between the adjacent time points, P<0.05.
20230128110410_7615.png
图2 复苏过程中不同时间点的HR(A)、MAP(B)、RR(C)、SpO2(D)、BIS(E)、Ramsay镇静评分(F)的波动差异
Figure 2: Changes in HR (A), MAP (B), RR (C), SpO2 (D), BIS (E) and Ramsay sedation score (F) during the resuscitation
*:相同时间点的组间均值比较,P<0.05。
*: comparison of the mean values at the same time point, P<0.05.

表2 手术期和复苏期NRS疼痛评分比较(n=20)
Table 2 Comparison of NRS pain score during the operation and resuscitation (n=20)

20230128110457_3705.png

表3 麻醉不良反应及麻醉效果情况比较(n=20)
Table 3 Comparison of adverse reactions and surgeon’s & patient’s anesthesia effffect score (n=20)

20230128110519_3213.png

3 讨论

    本研究针对眼科手术MAC的临床应用,进行前瞻性、随机化双盲对照研究设计,选择具有临床应用潜力的新型药物右美托咪定和传统药物咪唑安定进行对照,从MAC管理的多个时间点进行动态监测和评价镇静镇痛效果、呼吸循环状态的客观指标,以及手术医生和患者的主观感受,探讨一种更为合理高效的MAC方案。
    视网膜手术时间长、操作精细,要求患者充分安静、合作、制动,仅在球后或球旁神经阻滞麻醉下进行,牵拉、切割等手术操作刺激常使患者感到疼痛[3,7],而手术铺巾覆盖患者头面部,也加重其紧张焦虑,而全身麻醉插管操作较为烦琐,费用也高[8-9]。右美托咪定作为新一代高度选择性的α2肾上腺受体激动剂,具有镇静、镇痛、抗焦虑、抑制交感神经及维持交感与副交感的平衡的作用[10-11]。据文献[12]报道,右美托咪定作用于脑和脊髓的α2-AR,通过激动突触前膜α2受体,抑制了去甲肾上腺素的释放,并终止了疼痛信号的转导。在手术中,右美托咪定组(D组)的NRS疼痛评分低于M组,羟考酮使用率显著低于咪唑安定组(M组),表明右美托咪定术中镇痛效果完善,可大大减少了羟考酮的使用量。在复苏期间,D组的NRS疼痛评分显著低于M组,也表明右美托咪定术后早期的镇痛效果较好。
    本研究中两组的Ramsay镇静评分无显著差异,但D组术中患者无意识体动躁动发生率显著低于M组。M组有3例低氧(SpO2<95 mmHg),但与D组相比差异无统计学意义。既往临床研究[13]报道,在临床用药范围内右美托咪定可达到与咪达唑仑相同的镇静效果,但其有自身的独特性,它无明显呼吸抑制作用及术中遗忘作用。本研究中D组患者口干的发生率显著高于M组,这与右美托咪定α2受体激动药效有关[14]。本研究表明手术医生及患者对D组麻醉效果评分显著高于M组,说明右美托咪定更有利于眼科手术的安静制动,减少了患者的体动呻吟,明显减轻了患者的疼痛,让患者在浅睡眠中舒适配合度过手术,有效缓解了患者的焦虑及不安,提高了手术医生的满意度。
    右美托咪定可减轻手术刺激及麻醉所引起的应激反应,维持血流动力学平稳[15]。右美托咪定作用于突触前膜α2受体,抑制去甲肾上腺素的释放,降低了血浆中儿茶酚胺的浓度,通过激动突触后膜受体,右美托咪定抑制了交感神经活性从而引起血压和心率的下降,Allam等[16]研究显示:右美托咪定作用于延髓孤束核,可产生抗交感的作用,造成低血压和心动过缓。本研究中在手术刚开始时,在开睑器突然加压于眼眶,牵引眼肌等手术刺激下,D组的HR较术前有明显下降,MAP有一过性明显上升后下降,但HR和MAP仍在正常范围内,这提示患者处于较为放松的状态,也有利于减少手术应激,有助于术中稳定血流动力学指标。既往研究[17-18]表明:右美托咪定相关的血流动力学的改变会产生降低眼内压的效果,有助于提高手术成功率,对围手术期视力恢复有保护性作用。
    本研究中M组发生3例低氧血症伴镇静过深,呼唤患者后恢复正常。MAC中最常见和最危险的并发症是通气不足,常规监测中SpO2有一定滞后性,很难从监护仪上及时反应出来,而鼻导管监测呼气末二氧化碳分压(PETCO2)准确性差,因此要求麻醉医生术中连续观察患者的胸廓活动,呼吸频率的运动等情况,以防止呼吸意外的发生。MAC期间对镇静水平的监测也很重要,临床上常用的评估方法分评分系统和麻醉深度监测仪两大类,评分系统类包括Ramsay评分、警觉/镇静评分(OAA/S)、NRS疼痛评分等[19]。BIS监测仪的使用不可或缺,它可以及时判断麻醉的深度并及时进行调整,增加了麻醉医生的可操作性,技术的提高大大提升了MAC麻醉在眼科手术中应用的安全性[20]
    本研究尚存在一些不足。首先,监测时间较短,随访仅至术后第2天出院时,信息不够详尽,如术后睡眠情况,有无多梦入睡困难等,本研究未进一步统计分析;其次,本研究样本量较小、且纳入年龄29~76岁的研究对象,对于其他人群如更高龄患者、青少年人群是否存在同样的研究结果需要进一步的研究来证实。
    综上所述,在视网膜手术中应用右美托唑定实施监护麻醉,可达到较好的镇静、镇痛和降低血压的目的,减少术中牵拉反射,为手术创造了较稳定的血流动力学,术后早期镇痛效果好,患者围手术期的不良反应少,在麻醉效果的主观评价上获得了患者和手术医生的认可。

开放获取声明

本文适用于知识共享许可协议 (Creative Commons),允许第三方用户按照署名(BY)-非商业性使用(NC)-禁止演绎(ND)(CC BY-NC-ND)的方式共享,即允许第三方对本刊发表的文章进行复制、发行、展览、表演、放映、广播或通过信息网络向公众传播,但在这些过程中必须保留作者署名、仅限于非商业性目的、不得进行演绎创作。详情请访问:https://creativecommons.org/licenses/by-nc-nd/4.0/

基金

暂无基金信息

参考文献

1. Ki S, Lee D, Lee W, et al. Verification of the performance of the Bispectral Index as a hypnotic depth indicator during dexmedetomidine sedation[ J]. Anesth Pain Med (Seoul), 2022, 17(1): 44-51.
2.  Wang Q, Li H, Wei S, et al. Dexmedetomidine added to ropivacaine for ultrasound-guided erector spinae plane block prolongs analgesia duration and reduces perioperative opioid consumption after thoracotomy: a randomized, controlled clinical study[ J]. Clin J Pain, 2021, 38(1): 8-14.
3. Ali H, Eissa S, Magdy H, et al. Dexmedetomidine as an additive to local anesthesia for decreasing intraocular pressure in glaucoma surgery: a randomized trial[ J]. Anesth Pain Med, 2020, 10(3): e100673.
4. Fakhoury H, Abdelmassih Y, El-Khoury S, et al. Effect of topicaldexmedetomidine (0.0055%) on intraocular pressure in healthy eyes: a randomized controlled trial[ J]. J Curr Glaucoma Pract, 2021, 15(2): 58-63.
5. Allam AA, Eleraky NE, Diab NH, et al. Development of sedative dexmedetomidine sublingual in situ gels: in vitro and in vivo evaluations[ J]. Pharmaceutics, 2022, 14(2): 220.
6. Fiorelli S, Creazzola F, Massullo D, et al. Dexmedetomidine sedation after tracheal surgery: a prospective pilot study[ J]. Ann Thorac Surg, 2019, 108(1): 256-261.
7. Uusalo P, Sepp?nen SM, J?rvisalo MJ. Feasibility of intranasal dexmedetomidine in treatment of postoperative restlessness, agitation, and pain in geriatric orthopedic patients[ J]. Drugs Aging, 2021, 38(5): 441-450.
8. Fannon S, Kisting MA, Anderson C. Implementation of a protocol: dexmedetomidine for use in long-term procedural sedation in non-intubated pediatric patients[ J]. J Pediatr Nurs, 2021, 58: 39-43.
9. Jabalameli M, Nazemroaya B, Heydari M. Comparative study of the prophylactic effects of intravenous injection of dexmedetomidine, ondansetron, and pethidine on postoperative shivering of abdominal surgery under general anesthesia: a randomized clinical trial[ J]. Adv Biomed Res, 2021, 10: 45.
10. Song J, Liu S, Fan B, et al. Perioperative dexmedetomidine reduces emergence agitation without increasing the oculocardiac reflex in children: A systematic review and meta-analysis[ J]. Medicine (Baltimore), 2021, 100(18): e25717.
11. Li S, Liu T, Xia J, et al. Effect of dexmedetomidine on prevention of postoperative nausea and vomiting in pediatric strabismus surgery: a randomized controlled study[ J]. BMC Ophthalmol, 2020, 20(1): 86.
12. 李玉梅, 黄丽娟, 邓勇惠, 等. 2182例白内障复明手术术前的焦虑情况[ J]. 眼科学报, 2018, 33(1): 10-14.
LI Yumei, HUANG Lijuan, DENG Yonghui, et al. Preoperative anxiety in 2182 cataract surgeries[ J]. Yan Ke Xue Bao, 2018, 33(1): 10-14.
13. Stasiowski MJ, Pluta A, Lyssek-Boroń A, et al. Adverse events during vitreoretinal surgery under adequacy of anesthesia guidance-risk factor analysis[ J]. Pharmaceuticals (Basel), 2022, 15(2): 237.
14. Hamid M, Shiwani HA, Hamid F. A survey of anaesthetic preferences in cataract surgery[ J]. Int J Ophthalmol, 2022, 15(2): 342-345.
15. Jones JH, Aldwinckle R. Perioperative dexmedetomidine for outpatient cataract surgery: a systematic review[ J]. BMC Anesthesiol, 2020, 20(1): 75.
16.  Hu J, Lv B, West R, et al. Comparison between dexmedetomidine and propofol on outcomes after coronary artery bypass graft surgery: a retrospective study[ J]. BMC Anesthesiol, 2022, 22(1): 51.
17. Kumar CM, Chua AWY, Imani F, et al. Practical considerations for dexmedetomidine sedation in adult cataract surgery under local/ regional anesthesia: a narrative review[ J]. Anesth Pain Med, 2021, 11(4): e118271.
18. McHugh TA . Implications of inspired carbon dioxide during ophthalmic surgery performed using monitored anesthesia care[ J]. AANA J, 2019, 87(4): 285-290.
19. Kim S, Chang BA, Rahman A, et al. Analysis of urgent/emergent conversions from monitored anesthesia care to general anesthesia with airway instrumentation[ J]. BMC Anesthesiol, 2021, 21(1): 183.
20. Dhaliwal A, Dhindsa BS, Saghir SM, et al. Choice of sedation in endoscopic retrograde cholangiopancreatography: is monitored anesthesia care as safe as general anesthesia? A systematic review and meta-analysis[ J]. Ann Gastroenterol, 2021, 34(6): 879-887.

相关文章