可自动校准距离的智能手机视力测试 APP(WHOeyes) 的真实世界应用
关键词
摘要
全文
1 研究方法
1.1 研究对象
1.2 视力检测方案
WHOeyes采用标准的ETDRS风格与设计的滚动E视标。我们在WHOeyes主页上提供了教程,以便用户正确操作。教程内容包括将设备与眼睛的高度对齐、调试设备到最高亮度、佩戴常用眼镜进行测试(如平时佩戴眼镜)。用户将看到一个以0 °、90 °、180 °或270 °中的某个方向显示的“E”视标,并根据视标“E”指示的方向滑动屏幕。在远距离和近距离视力检测中,使用单字母评分方法,“E”视标的初始数值代表logMAR视力1.0。我们采用黑色边界框模拟ETDRS视力表的拥挤效应,视标“E”与框之间的距离等于视标高度的1/2。为减少记忆和学习效应,视标“E”的方向随机显示。APP采用梯形算法以提高测试效率,并根据受检者的反应调整视标“E”的大小。
1.3 问卷调查
1.4 统计学分析
2 结果
2.1 受试者信息
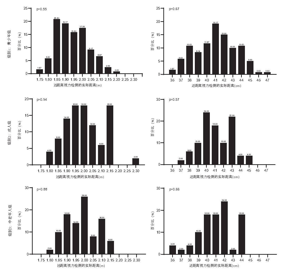
2.2 WHOeyes中ADC识别远、近视力检测时的测试距离

图 1 三个ZOC组中ADC识别的实际距离频率分布直方图
Figure 1 The frequency distribution histogram of actual distance identified by ADC in three ZOC groups
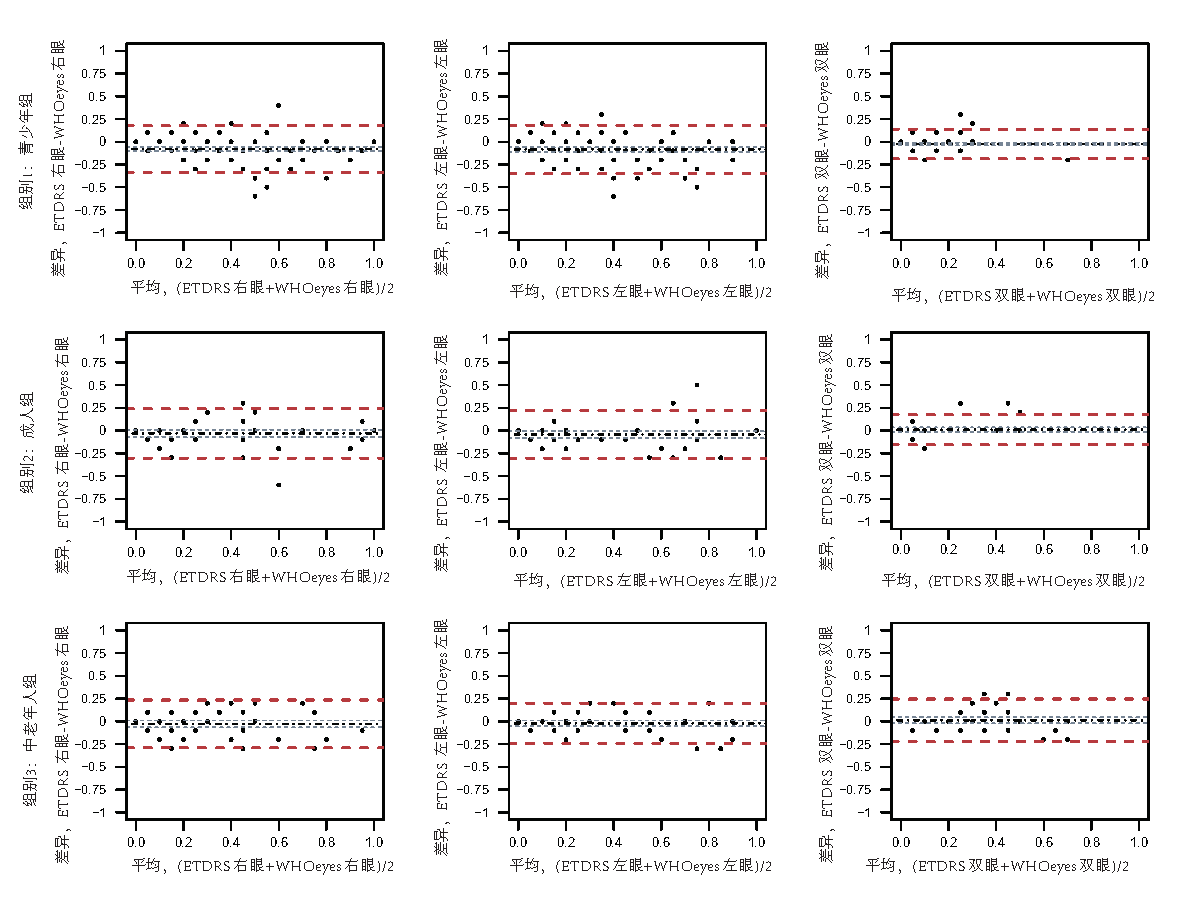
2.3 ETDRS和WHOeyes进行远、近距离视力检测的结果对比
表 1 ETDRS与WHOeyes在远距离视力和近距离视力检测中的成对比较
Table 1 Pairwise comparisons of ETDRS and WHOeyes in distance and near VA testing
|
组别 |
比较 |
平均差异 (95% CI) |
95% LOA |
QWK (95% CI) |
|
第1组* (n = 120) |
远距离视力测试:ETDRS vs WHOeyes右眼 |
–0.079 (–0.103 ~ –0.055) |
–0.337 ~ 0.179 |
0.852 (0.792 ~ –0.912) |
|
远距离视力测试:ETDRS vs WHOeyes左眼 |
–0.084 (–0.109 ~ –0.060) |
–0.351 ~ 0.182 |
0.828 (0.764 ~ –0.892) |
|
|
WHOeyes远距离视力测试-重测信度 |
0.000 (–0.022 ~ 0.022) |
–0.241 ~ 0.241 |
0.914 (0.871 ~ –0.957) |
|
|
近距离视力测试:ETDRS vs WHOeyes |
–0.025 (–0.040 ~ –0.010) |
–0.186 ~ 0.136 |
0.751 (0.611 ~ –0.890) |
|
|
WHOeyes近距离视力测试-重测信度 |
–0.015 (–0.027 ~ –0.003) |
–0.141 ~ 0.111 |
0.858 (0.752 ~ –0.965) |
|
|
第2组** (n = 50) |
远距离视力测试:ETDRS vs WHOeyes右眼 |
–0.032 (–0.072 ~ 0.008) |
–0.305 ~ 0.241 |
0.906 (0.829 ~ –0.983) |
|
远距离视力测试:ETDRS vs WHOeyes左眼 |
–0.044 (–0.082 ~ –0.006) |
–0.307 ~ 0.219 |
0.917 (0.866 ~ –0.968) |
|
|
WHOeyes远距离视力测试-重测信度 |
0.004 (–0.032 ~ 0.040) |
–0.243 ~ 0.251 |
0.929 (0.860 ~ –0.998) |
|
|
近距离视力测试:ETDRS vs WHOeyes |
0.010 (–0.014 ~ 0.034) |
–0.154 ~ 0.174 |
0.842 (0.737 ~ –0.948) |
|
|
WHOeyes近距离视力测试-重测信度 |
0.000 (–0.008 ~ 0.008) |
–0.056 ~ 0.056 |
0.973 (0.956 ~ –0.990) |
|
|
第3组*** (n = 50) |
远距离视力测试:ETDRS vs WHOeyes右眼 |
–0.028 (–0.066 ~ 0.010) |
–0.291 ~ 0.235 |
0.843 (0.769 ~ –0.917) |
|
远距离视力测试:ETDRS vs WHOeyes左眼 |
–0.022 (–0.054 ~ 0.010) |
–0.244 ~ 0.200 |
0.908 (0.871 ~ –0.944) |
|
|
WHOeyes远距离视力测试–重测信度 |
–0.040 (–0.069 ~ –0.011) |
–0.238 ~ 0.158 |
0.901 (0.832 ~ –0.971) |
|
|
近距离视力测试:ETDRS vs WHOeyes |
0.012 (–0.022 ~ 0.046) |
–0.221 ~ 0.245 |
0.834 (0.750 ~ –0.918) |
|
|
WHOeyes近距离视力测试-重测信度 |
0.004 (–0.019 ~ 0.027) |
–0.154 ~ 0.162 |
0.923 (0.869 ~ –0.978) |

2.4 问卷调查

图 3 基于问卷调查显示受试者对WHOeyes的反馈的堆积百分比图
Figure 3 The stack percentage charts show participants' feedback on WHOeyes based on questionnaire interview
3 讨论
利益冲突
所有作者均声明不存在利益冲突。开放获取声明
版权声明
补充
Supplementary figure 1. Flow diagram of VA testing in this study.
VA: visual acuity; ETDRS: Early Treatment Diabetic Retinopathy Study; ADC: automatic distance calibration.

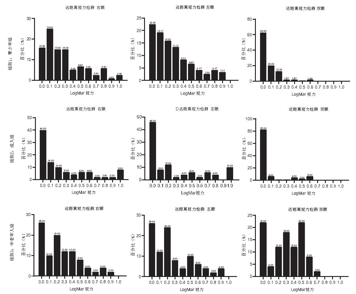
补充图2 三组中ETDRS方法测量视力的频率分布直方图
Supplementary figure 2. The frequency distribution histogram of VA measurements by the ETDRS method in three
ZOC groups.
The three lines from top to bottom represent adolescent, adult and elderly cohort. The leftmost column displays distance VA measurements in the right eye, followed by distance VA measurements in the left eye in the middle column, and binocular near VA in the rightmost column.
VA: visual acuity; ETDRS: Early Treatment Diabetic Retinopathy Study; ZOC: Zhongshan Ophthalmic Center.
补充文件 1 参与者问卷
ETDRS:糖尿病视网膜病变早期治疗研究。
参与者问卷
感谢您同意参加这项研究。这项调查将询问您对WHOeyes系统的看法。
您提供的所有回复都将保密,不会公布任何身份信息。这项调查预计需要大约5分钟。
参与者ID:___________
日期: ___________
基金
The study was in part supported by the National Natural Science Foundation of China (82101171), and Global STEM Professorship Scheme (P0046113).