返回

基于简易设备和算法的瞳孔动、静态信息提取

阅读量:1934
DOI:10.12419/24103108
发布日期:2025-08-28
作者:
于文通 ,叶青青 ,封檑 ,徐梓萱 ,何蕴思 ,周榆松 ,庞扬菲 ,钟雨丹 ,李秋莹 ,袁俊朋 ,刘晶 ,李劲嵘
展开更多

关键词

瞳孔
医工结合

摘要

目的:设计一套瞳孔动、静态信息提取方案,尝试初步建立正常人群瞳孔动、静态信息数据库。法:于2023年1月—7月,从中山大学眼科中心眼科门诊招募无眼部疾病、全身疾病的参与者。使用工业级红外相机搭配850 nm红外光源录制参与者瞳孔区域20 s视频,提取瞳孔横径数据并输出为txt文件。使用R语言分析数据,构建瞳孔舒缩过程中的波峰、波谷拟合线,并估算瞳孔舒缩频率。结果:共收集32位参与者的瞳孔动态数据,右眼数据纳入主要结果的分析。参与者年龄范围为7~61岁,男性占50%,等效球镜度范围为-5.630~+5.00 D。测量过程中的瞳孔横径平均值与年龄呈负相关,与等效球镜度、性别无关。在20 s的记录中,瞳孔舒缩次数为(15±7)次。基于波峰与波谷拟合线的趋势,瞳孔舒缩动态分为3种类型:舒缩扩张型、舒缩稳定型和舒缩缩小型。舒缩稳定型进一步分为稳定扩张型、稳定恒定型和稳定缩小型3个亚型,其中25人为舒缩缩小型。双眼的过滤后波峰、波谷拟合线的斜率和截距与过滤前比较差异无统计学意义(P>0.05)。结论:低成本、简易的设备配以算法可以便捷、快速地提取瞳孔动、静态信息。

全文

文章亮点

1. 关键发现

 • 利用工业级红外相机和 850 nm 红外光源,设计了一套便捷的瞳孔动、静态信息提取方案,并成功提取 20 秒视频中瞳孔横径数据。根据波峰和波谷拟合线趋势,将瞳孔舒缩动态分为三种类型 ( 舒缩扩张型、舒缩稳定型、舒缩缩小型 ),其中舒缩稳定型又细分为稳定扩张、稳定恒定和稳定缩小三亚型,且多数受试者 (25 人 ) 属于舒缩缩小型。

2. 已知与发现

 • 瞳孔动态作为反映生理状态和神经调节的重要指标,其测量与分析在神经眼科领域已有一定研究基础。本研究首次利用低成本设备和算法建立了正常人群的瞳孔动、静态信息数据库,提出了瞳孔舒缩动态的新型分类方法,为进一步探索瞳孔调控机制提供了新的视角。

3. 意义与改变

 • 该技术方案简便且成本低廉,可快速提取瞳孔信息,并通过瞳孔动态分型为理解瞳孔调控机制和疾病筛查开辟了新思路。

       瞳孔是位于虹膜中央的开口,光线通过瞳孔进入眼睛并投射到视网膜。虹膜主要由平滑肌构成,作为调节瞳孔大小的结构,通过调节瞳孔的直径来控制进入眼睛的光量。虹膜内的两组平滑肌分别为环形的瞳孔括约肌和辐射状的瞳孔开大肌,前者由副交感神经支配,后者由交感神经支配。瞳孔大小由虹膜调节,并受环境光线等多种因素的影响而变化[1]。一些神经眼科疾病常伴有瞳孔的动态或静态异常,例如Horner综合征[2-3]、Adie瞳孔[4]、动眼神经麻痹[5-6],以及视神经炎或视神经萎缩引起的相对性瞳孔传入缺陷等[7-10]。目前,常用于瞳孔测量和监测的仪器包括瞳孔计[11-12]、眼动仪[13]、生物测量仪[14-15]等,这些设备能够提供精确的瞳孔动态和静态信息,并已在临床上得到广泛应用。近年来,针对特定应用场景定制的瞳孔测量设备因其低成本和灵活性,已在科研领域得到广泛开发和应用[16-19]
       本研究开发了一套基于简易、低成本设备的瞳孔动态与静态信息采集方法,结合瞳孔识别、数据提取与处理的算法支持。通过该方法,本研究收集了正常人群的瞳孔动态和静态信息,建立了正常人群的瞳孔特征数据库。此方案具有操作简便、耗时短等优势,未来有望应用于多种神经眼科疾病的大规模筛查工作。

1 对象和方法

1.1 对象

       本研究已通过中山大学中山眼科中心伦理委员会的审查批准(批件号:2023KYPJ343),研究过程遵循赫尔辛基宣言的相关规定。于2023年1月—7月在中山大学眼科中心眼科门诊招募参与者,收集其瞳孔动态信息。纳入标准:年龄和性别不限,且无眼部疾病史如视神经病变、视网膜病变、白内障、角膜病变等,以及无眼部外伤史或手术史。参与者均知情同意且自愿接受瞳孔区影像的录制。排除标准:患有全身性疾病的个体,如高血压、糖尿病、甲状腺功能亢进症等。

1.2 方法

       本研究所使用的设备由摄像模块、光源模块和主机平板组成,各模块功能明确且参数经过精确设定,以确保实验的可重复性与数据的准确性。其中,摄像模块采用一台工业级红外相机,像素为200万,分辨率为1 920×1 080,帧率为11 fps,相机配备CMOS(complementary metal-oxide-semiconductor)感光芯片,焦距固定为60 cm,伽马校准值固定为6.0,对比度固定为50。以上参数均通过内置配置软件在实验前完成固定调整,以保证设备一致性。光源模块由光源电路板和红外发光二极管(light-emitting diode, LED)组成,发光二极管波长为850 nm,灯珠成对排列,呈辐射状、同心圆形式围绕摄像模块。具体排列位于12点、2点、4点、6点、8点和10点位置,偏心距离分别为11、17、23 mm,共计3圈,总数为36颗灯珠。光源电路板通过统一的驱动电路提供稳定的电流,确保光源的均匀性与持续性。摄像模块与光源模块整合后通过USB接口连接至主机平板。主机平板运行Android 11系统,用于设备参数设置、实时画面监控及数据存储。实验前,研究者通过平板内置程序对摄像头分辨率、帧率及光源亮度进行校准,确保拍摄设备稳定工作。实验过程中,参与者端坐于设备前,眼睛与摄像模块保持60 cm的固定距离,确保瞳孔区域完整居中。视频录制在室内照明恒定条件下进行,光照条件为普通白炽灯照明。实验环境中,白炽灯均匀布置于天花板,光源距离实验区域约3 m,确保光线均匀分布且无阴影干扰。实验期间,室内照明保持恒定,且无自然光或其他外部光源干扰。所有采集过程均在相同的光照条件下完成以确保瞳孔测量的一致性和可靠性。每位参与者录制时长固定为20 s。录制完成后,视频通过第三方程序提取瞳孔区域参数,生成的输出文件以txt格式保存,包含三列数据:第一列为帧数,第二列为右眼瞳孔横径,第三列为左眼瞳孔横径,右眼数据纳入主要结果的分析(图1)。

图 1 录制及数据提取示例
Figure 1 Example of recording and data extraction.

20250903091422_3524.png
       使用R语言批量读取生成的txt文件,导出瞳孔横径静态参数,包括最大值、最小值、平均值、中位数、四分位数。瞳孔动态信息的提取:将帧数定义为x,每一帧的左眼或右眼瞳孔横径定义为y。每一帧的瞳孔横径可以通过散点图呈现,并以折线连接。在分析过程中,使用以下方程标记折线中的波峰和波谷:
peaks<which(diff(sign(diff(y)))<0)+1
valleys<-which(diff(sign(diff(y)))>0)+1
       使用lm(y~x)函数对波峰点和波谷点分别拟合两条直线,称为波峰拟合线和波谷拟合线(图2A)。然后,通过以下代码过滤出位于波峰拟合线下方的波峰点以及波谷拟合线上方的波谷点:
peak_fit_predictions <-predict(peak fit)
filtered peaks<-peak x[peak y>peak fit predictions]
valley fit predictions <-predict(valley fit)
filtered valleys <-valley x[valley y<valley fit predictions]

图 2 瞳孔舒缩频率的估算值
Figure 2 Estimated values of pupil dilation/constriction frequency

20250910102227_4636.png
(A) 波峰、波谷提取;(B)波峰、波谷拟合;(C) 舒缩频率拟合。
(A) Extraction of peaks and troughs; (B) Fitting of peaks and troughs; (C) Fitting of contraction and relaxation frequency.
       对过滤后的波峰点和波谷点再次分别拟合出两条直线,即“过滤后波峰拟合线”和“过滤后波谷拟合线”,以更准确地反映瞳孔舒缩过程中的峰值和谷值(图2B)。对于瞳孔舒缩频率的估算,首先将所有点使用lm(y~x)拟合为一条直线:line_fit,并通过以下代码对原始折线进行平滑化处理:
data_smoothed <- data.frame(x= seq(min(data$V1), 
max(data$V1), length.out
=num_points))
smoothed_y <- spline(data$V1,data$V2,n= num_points, 
method = "fmm")$y
       其中num points是平滑处理的精度,在本方法中num_points=10 000。最后,通过计算line_fit与平滑折线的交点个数,将交点总数除以2并向下取整,即为瞳孔舒缩频率的估算值(图2C)。

1.3 统计学处理

       统计分析使用R 4.3.0软件进行。对于正态分布的连续变量,结果以均数±标准差(x±s)表示。瞳孔数据与年龄以及等效球镜之间的相关性采用Pearson相关性分析。性别间瞳孔数据的差异使用独立样本 t 检验进行比较,双眼瞳孔动态参数的差异使用配对t检验进行比较。双侧P<0.05表示差异具有统计学意义。

2 结果

2.1 瞳孔静态数据

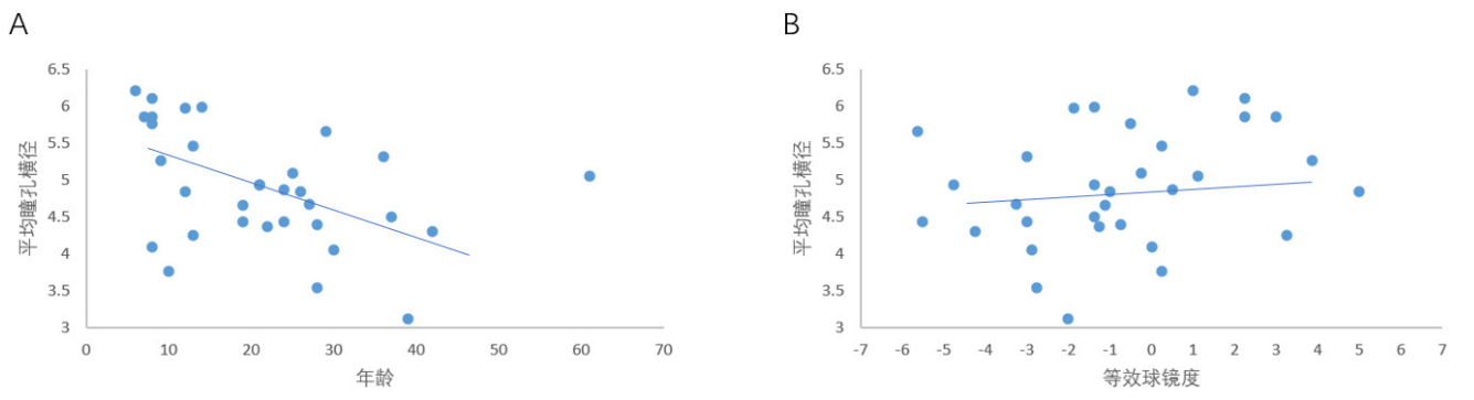
       本研究共收集了32位参与者的右眼瞳孔动态信息并进行后续分析。参与者年龄范围为7~61岁,男性占50%,等效球镜度范围为-5.63~+5.00 D。每个瞳孔动态信息视频平均包含229帧,即229个采样点。32只眼睛的瞳孔横径最大值、最小值、平均值、中位数、四分位数数据分别为(5.43±0.98)(4.07±1.07)(4.89±0.96)(4.92±1.05)(4.74±0.99)(5.05±0.91) mm。线性回归分析提示,测量过程中的瞳孔横径平均值与年龄呈负相关[F (1, 30)=5.95,R=0.41,P=0.021,图3A],与等效球镜度数无关[F (1, 30)=2.29,R2=0.26,P=0.141,图3B)。

图3 瞳孔静态数据
Figure 3 Pupil static data

20250903091957_8090.png
(A) 平均瞳孔直径与年龄呈负相关;(B) 平均瞳孔直径与等效球镜度无关。
(A) Average pupil diameter is negatively correlated with age; (B) Average pupil diameter is not correlated with spherical equivalent refraction.
       独立样本t检验提示瞳孔横径平均值与性别无关(男4.85±0.84 vs 女4.94±0.74,t=0.298,P=0.773)。

2.2 瞳孔动态信息提取

       在20 s的记录过程中,瞳孔舒缩次数为(15±7)次。经过过滤处理后,波峰拟合线的平均斜率和截距分别为-0.000 6±0.006 8和5.03±0.91;波谷拟合线的平均斜率和截距则分别为-0.000 8±0.003 9和4.53±1.23。根据波峰与波谷拟合线在坐标轴上的相交或分离趋势,可以将瞳孔舒缩过程中的动态变化分为三种类型:舒缩扩张型、舒缩稳定型和舒缩缩小型(图4)。具体而言,舒缩扩张型是指瞳孔在舒缩过程中,整体趋势表现为瞳孔直径逐渐增大的动态变化,即所有录得点所拟合的直线斜率大于0;舒缩稳定型是指瞳孔直径在舒缩过程中保持相对恒定,即所有录得点所拟合的直线斜率近似于0;舒缩缩小型则是指瞳孔直径随着舒缩过程逐渐减小的动态变化,即所有录得点所拟合的直线斜率小于0。此外,舒缩稳定型可以根据波峰拟合线和波谷拟合线斜率的正负进一步细分为3种亚型:稳定扩张型是指波峰拟合线斜率大于0,波谷拟合线斜率小于0;稳定恒定型是指波峰、波谷拟合线斜率均接近于0;稳定缩小型则是指波峰拟合线斜率小于0,波谷拟合线斜率大于0。其中大部为舒缩缩小型(25眼),舒缩扩张型4眼,稳定扩张型2眼,稳定缩小型1眼。

图 4 瞳孔舒缩过程中的动态变化
Figure 4 Dynamic changes during pupil dilation and constriction

20250910102540_0443.png
(A) 舒缩缩小型;(B) 舒缩扩张型;(C) 稳定扩张型;(D) 稳定缩小型。
(A) Contracting-shrinking type; (B) Contracting-expanding type; (C) Stable expanding type; (D) Stable shrinking type.

2.3 眼间比较

       配对t检验提示双眼的过滤后波峰、波谷拟合线的斜率、截距差异均无统计学意义。过滤后波峰拟合线斜率:-0.000 6±0.006 8 vs. -0.000 7±0.001 2,t=-1.80,P=0.082;过滤后波峰拟合线截距:5.03±1.07 vs. 5.11±0.87,t=-0.87,P=0.389;过滤后波谷拟合线斜率:-0.000 8±0.003 9 vs -0.000 8±0.002 5,t=0.56,P=0.583;过滤后波谷拟合线截距:4.53±1.25 vs. 4.73±0.78,t=-1.39,P=0.17。

3 讨论

       本研究成功开发并初步实现了一套基于简易且低成本设备的瞳孔动态与静态信息采集方法,并配备了相应的瞳孔识别、数据提取与处理算法支持。通过该方案,研究系统性地收集了32名正常个体的瞳孔动态与静态数据,构建了正常人群的瞳孔信息数据库。根据数据的动态特征,本研究尝试将瞳孔的反应模式划分为舒缩扩张型、舒缩稳定型和舒缩缩小型,其中舒缩稳定型可进一步细分为稳定扩张型、稳定恒定型和稳定缩小型3个亚型。双眼在上述分类中各项参数的统计检验结果显示差异无统计学意义,符合正常个体双眼瞳孔同步舒缩的特征,表明该数据处理算法具有良好的重复性。
       在二十世纪初,便携式瞳孔计被开发并应用于科研领域[20]。随着智能手机的普及,基于智能手机的瞳孔计在更多领域和应用场景中展现出其优势[21-22]。搭载可变光源的瞳孔计常用于研究瞳孔对光反射等科学问题[23-26]。此外,一些研究通过为参与者设置不同的视觉任务、调整视物距离或改变屏幕参数,探讨瞳孔动态与视觉疲劳的关联性[12, 27-28]。本研究开发了一套简易且开放式的瞳孔动态与静态信息提取方案,目前阶段的检测在不施加任何外界干预的条件下进行。未来,可根据研究需要灵活调整检测条件,或在检测过程中为参与者设置相应的视觉任务,以适应更多研究场景。在本方案中,除了提取观测过程中瞳孔横径的最大值、最小值、平均值、中位数、四分位数等静态数据外,还通过将瞳孔舒缩过程中的波峰点和波谷点进行线性拟合,以拟合直线的截距更准确地表示瞳孔横径在舒缩过程中的峰值。拟合直线的斜率则用于反映瞳孔在20 s舒缩过程中的放大或缩小趋势,从而更加全面地评估瞳孔的动态特征。瞳孔舒缩的频率则通过数学换算的方法进行估算。
      该方案能够以较低成本实现对瞳孔动态变化的精确测量,为资源有限的医疗环境提供了一个高度实用的解决方案。传统的瞳孔测量设备通常价格高昂且操作复杂,而本研究的方法通过简易设备,在确保测量精度的同时,大幅降低了操作难度和设备成本。这一优势使得该方案具有更广泛的应用潜力,特别适用于需要对大范围人群进行快速筛查的场景。本研究开发的算法能够高效提取和处理瞳孔的动态和静态数据。该算法能够高效地提取瞳孔的动态和静态特征数据,并完成多维度的分析。这一技术突破不仅提升了数据处理效率,也为识别正常人群的瞳孔特征模式奠定了基础。这些特征模式在进一步研究病理状态下的瞳孔变化时,具有重要的参考价值,同时也能辅助筛查和诊断神经眼科疾病。本研究的方案通过显著降低成本和简化流程,为瞳孔测量技术的普及创造了条件。除了健康人群筛查外,这一技术还可拓展至临床特定群体,如中枢神经系统疾病、糖尿病视网膜病变或药物影响下的瞳孔动态研究。此外,这一方法对于特殊人群(如儿童、老年人)和无法配合复杂操作的患者也具备独特的适用性。通过分析这些数据,研究者能够识别正常人群的瞳孔特征模式,为进一步研究病理状态下的瞳孔变化奠定了基础。未来,该数据库的建立为神经眼科研究提供了重要参考标准,有助于识别异常瞳孔反应并辅助疾病诊断。
       尽管本研究已在正常人群中验证了该方案的有效性,仍需在实际临床应用中进行更广泛的验证。应用于特定临床群体或病理条件时,可能会面临新的挑战,例如个体瞳孔反应的差异性及疾病状态对瞳孔特征的复杂影响。为应对上述挑战,笔者计划从以下几个方面进行优化:一是进一步改进算法,以提高数据提取和分析的鲁棒性,尤其是在光线不稳定或复杂临床环境下的性能表现;二是扩大研究样本量,纳入不同年龄、性别、屈光状态及病理条件下的个体,以建立更具代表性的瞳孔特征数据库;三是在设备硬件设计上增加模块化功能,使其能够适应不同的临床需求,例如结合眼表或眼底图像信息,实现多模态联合分析。未来,笔者还计划探索该方案在特定人群(如儿童、老年人及神经系统疾病患者)中的应用价值,并开发适配临床使用的快速分析系统,以满足高效筛查和诊断的需求。
       综上所述,本研究为神经眼科疾病的早期筛查提供了一种新颖而具有潜力的工具。通过未来进一步的优化和广泛验证,笔者相信该方案有望成为临床和科研中的重要辅助工具,为神经眼科疾病的早期发现、诊断及管理提供有力支持。

声明

在论文撰写中无使用生成式人工智能。论文撰写中的所有内容均由作者独立完成,并对出版物的真实性和准确性承担全部责任。

利益冲突

所有作者均声明不存在利益冲突。

开放获取声明

本文适用于知识共享许可协议 (Creative Commons),允许第三方用户按照署名(BY)-非商业性使用(NC)-禁止演绎(ND)(CC BY-NC-ND)的方式共享,即允许第三方对本刊发表的文章进行复制、发行、展览、表演、放映、广播或通过信息网络向公众传播,但在这些过程中必须保留作者署名、仅限于非商业性目的、不得进行演绎创作。

基金

暂无基金信息

参考文献

1. Wilhelm H. The pupil[ J]. Curr Opin Neurol, 2008, 21(1): 36-42. DOI: 10.1097/wco.0b013e3282f39173.
2. Yoo YJ, Yang HK, Hwang JM. Efficacy of digital pupillometry for diagnosis of Horner syndrome[ J]. PLoS One, 2017, 12(6): e0178361. DOI: 10.1371/journal.pone.0178361.
3. Martin TJ. Horner syndrome: a clinical review[ J]. ACS Chem Neurosci, 2018, 9(2): 177-186. DOI: 10.1021/acschemneuro.7b00405.
4. Yoo YJ, Hwang JM, Yang HK. Dilute pilocarpine test for diagnosis of Adie's tonic pupil[ J]. Sci Rep, 2021, 11(1): 10089. DOI: 10.1038/ s41598-021-89148-w.
5. Fang C, Leavitt JA, Hodge DO, et al. Incidence and etiologies of acquired third nerve palsy using a population-based method[ J]. JAMA Ophthalmol, 2017, 135(1): 23-28. DOI: 10.1001/ jamaophthalmol.2016.4456.
6. Kim HM, Yang HK, Hwang JM. Quantitative analysis of pupillometry in isolated third nerve palsy[ J]. PLoS One, 2018, 13(11): e0208259. DOI: 10.1371/journal.pone.0208259.
7. Shindler KS, Revere K, Dutt M, et al. In vivo detection of experimental optic neuritis by pupillometry[ J]. Exp Eye Res, 2012, 100: 1-6. DOI: 10.1016/j.exer.2012.04.005.
8. Schmidt FA, Connolly F, Maas MB, et al. Objective assessment of a relative afferent pupillary defect by B-mode ultrasound[ J]. PLoS One, 2018, 13(8): e0202774. DOI: 10.1371/journal.pone.0202774.
9. Bitirgen G, Akpinar Z, Turk HB, et al. Abnormal dynamic pupillometry relates to neurologic disability and retinal axonal loss in patients with multiple sclerosis[ J]. Transl Vis Sci Technol, 2021, 10(4): 30. DOI: 10.1167/tvst.10.4.30.
10. Moura ALA, Nagy BV, La Morgia C, et al. The pupil light reflex in Leber's hereditary optic neuropathy: evidence for preservation of melanopsin-expressing retinal ganglion cells[ J]. Invest Ophthalmol Vis Sci, 2013, 54(7): 4471-4477. DOI: 10.1167/iovs.12-11137.
11. Satou T, Goseki T, Asakawa K, et al. Effects of age and sex on values obtained by RAPDx® pupillometer, and determined the standard values for detecting relative afferent pupillary defect[ J]. Transl Vis Sci Technol, 2016, 5(2): 18. DOI: 10.1167/tvst.5.2.18.
12. Lee HJ, Kim SJ. Factors associated with visual fatigue from curved monitor use: a prospective study of healthy subjects[ J]. PLoS One, 2016, 11(10): e0164022. DOI: 10.1371/journal.pone.0164022.
13. Henson DB, Emuh T. Monitoring vigilance during perimetry by using pupillography[ J]. Invest Ophthalmol Vis Sci, 2010, 51(7): 3540-3543. DOI: 10.1167/iovs.09-4413.
14. Zhu MJ, Ding L, Du LL, et al. Photopic pupil size change in myopic orthokeratology and its influence on axial length elongation[ J]. Int J Ophthalmol, 2022, 15(8): 1322-1330. DOI: 10.18240/ijo.2022.08.15.
15. Berntsen DA, Ticak A, Sinnott LT, et al. Peripheral defocus, pupil size, and axial eye growth in children wearing soft multifocal contact lenses in the BLINK study[ J]. Invest Ophthalmol Vis Sci, 2023, 64(14): 3. DOI: 10.1167/iovs.64.14.3.
16. Bang JW, Heo H, Choi JS, et al. Assessment of eye fatigue caused by 3D displays based on multimodal measurements[ J]. Sensors (Basel), 2014, 14(9): 16467-16485. DOI: 10.3390/s140916467.
17. Lin SY, Su HR, Lo CC, et al. Effects of extended viewing distance on accommodative response and pupil size of myopic adults by using a double-mirror system[ J]. Int J Environ Res Public Health, 2022, 19(5): 2942. DOI: 10.3390/ijerph19052942.
18. Kim T, Lee EC. Experimental verification of objective visual fatigue measurement based on accurate pupil detection of infrared eye image and multi-feature analysis[ J]. Sensors (Basel), 2020, 20(17): 4814. DOI: 10.3390/s20174814.
19. Najjar RP, Rukmini AV, Finkelstein MT, et al. Handheld chromatic pupillometry can accurately and rapidly reveal functional loss in glaucoma[ J]. Br J Ophthalmol, 2023, 107(5): 663-670. DOI: 10.1136/ bjophthalmol-2021-319938.
20. Volpe NJ, Plotkin ES, Maguire MG, et al. Portable pupillography of the swinging flashlight test to detect afferent pupillary defects[ J]. Ophthalmology, 2000, 107(10): 1913-1921;discussion1922. DOI: 10.1016/s0161-6420(00)00354-7.
21. Jason McAnany J, Smith BM, Garland A , et al. iPhone-based pupillometry: a novel approach for assessing the pupillary light reflex[ J]. Optom Vis Sci, 2018, 95(10): 953-958. DOI: 10.1097/ OPX.0000000000001289.
22. Neice AE, Fowler C, Jaffe RA, et al. Feasibility study of a smartphone pupillometer and evaluation of its accuracy[ J]. J Clin Monit Comput, 2021, 35(6): 1269-1277. DOI: 10.1007/s10877-020-00592-x.
23. Chang DS, Arora KS, Boland MV, et al. Development and validation of an associative model for the detection of glaucoma using pupillography[ J]. Am J Ophthalmol, 2013, 156(6): 1285-1296.e2. DOI: 10.1016/j.ajo.2013.07.026.
24. Gracitelli CPB, Tatham AJ, Zangwill LM, et al. Asymmetric macular structural damage is associated with relative afferent pupillary defects in patients with glaucoma[ J]. Invest Ophthalmol Vis Sci, 2016, 57(4): 1738-1746. DOI: 10.1167/iovs.15-18079.
25. Kostic C, Crippa SV, Leon L, et al. Quantification of the early pupillary dilation kinetic to assess rod and cone activity[ J]. Sci Rep, 2021, 11(1): 9549. DOI: 10.1038/s41598-021-88915-z.
26. Nakamura M, Sakamoto M, Ueda K, et al. Detection of relative afferent pupillary defect and its correlation with structural and functional asymmetry in patients with glaucoma using hitomiru, a novel handheld pupillometer[ J]. J Clin Med, 2023, 12(12): 3936. DOI: 10.3390/ jcm12123936.
27. Krejtz K, Z 3 urawska J, Duchowski AT, et al. Pupillary and microsaccadic responses to cognitive effort and emotional arousal during complex decision making[ J]. J Eye Mov Res, 2020, 13(5): 10.16910/ jemr.13.5.2. DOI: 10.16910/jemr.13.5.2.
28. Fehringer BCOF. Optimizing the usage of pupillary based indicators for cognitive workload[ J]. J Eye Mov Res, 2021, 14(2): 10.16910/ jemr.14.2.4. DOI: 10.16910/jemr.14.2.4.

相关文章