一项基于亚洲及欧洲人群的双样本孟德尔随机化研究:探究大气污染与年龄相关性白内障的关系
关键词
摘要
全文
文章亮点
1. 关键发现
• 本文通过孟德尔随机化研究发现大气污染与年龄相关性白内障的发生有关。2. 已知与发现
• 已知:白内障的风险受到各种因素的影响,包括不健康的生活方式、遗传、年龄和环境污染 。目前关于大气污染物与年龄相关性白内障之间关系及其潜在机制的研究仍存在争议和不确定性。• 发现:环境中颗粒物 2.5-10(particulate matter 2.5-10, PM2.5 - 10) 和二氧化氮与年龄相关性白内障存在复杂因果关系,且因人群而异。亚洲人群中,二氧化氮单变量分析呈正相关,多变量分析效应反转,倾向多变量分析结果,即其降低年龄相关性白内障风险;欧洲人群中,PM2.5 - 10 的单、多变量分析均呈正相关,显示其会增加年龄相关性白内障风险。
3. 意义与改变
• 本研究的发现强调了进一步研究大气污染与眼部健康之间关系的必要性,并为制定公共卫生政策提供了科学依据。未来的研究应考虑更广泛的暴露评估,包括不同类型和来源的污染物,以及更深入的机制研究,以确定大气污染物如何影响眼部健康,并探索可能的预防措施。白内障是一种因晶状体混浊导致视力下降的疾病,在老年人中非常普遍 [1-2]。 据估计,全球有7 800万50岁以上的人患有严重的视力障碍,其中有1 500万人因白内障而失明[2]。 随着人口老龄化的增加,年龄相关性白内障(age-related cataract, ARC)已成为一个重大的疾病负担和社会问题[3]。白内障的风险受到各种因素的影响,包括不健康的生活方式、遗传、年龄和环境污染[4-6]。近年来,越来越多的证据表明,空气污染可能在白内障中发挥重要作用,与现代社会的快速工业化进程一致[7-8]。
大气污染,包括颗粒物2.5(particulate matter 2.5, PM2.5)、PM2.5-10、PM10、二氧化氮和氮氧化物等颗粒,是现代社会中普遍存在的环境问题。这些污染物来源于工业排放、交通尾气、煤炭燃烧等过程,与各种健康问题有关,包括呼吸系统疾病、心血管疾病和肺癌。
然而,目前关于大气污染物与ARC之间关系及其潜在机制的研究仍存在争议和不确定性。例如,在PM10和白内障之间关系的研究中,Choi等[9]发现高水平PM10暴露下白内障发病率没有显著差异,而Shin等[10]则报道了白内障风险与PM10暴露水平四分位数之间存在非线性关联。同样,对于二氧化氮与白内障关系的研究结果也不一致。Choi等[9]发现二氧化氮对某些亚型白内障具有保护作用,但Shin等[10]则发现二氧化氮水平越高,白内障风险越高,而Grant等[11]则观察到二氧化氮与白内障之间没有显著关联。
同样,尽管现有研究对于PM2.5暴露与白内障之间的关系提供了一些见解,但所得结论并不一致。Shin等[10]在其研究中并未发现两者之间存在统计学上的显著关联。相反,Grant等[11]在单变量模型分析中观察到了一定的边际关联,但这种联系在更为严谨的多变量模型分析中却未能保持显著性。
为了解决这些争议和不确定性,本研究采用双样本孟德尔随机化(Mendelian randomization, MR)分析方法,采用更大的样本量,以评估大气污染物(包括PM2.5、PM2.5-10、PM10和氮氧化物)与ARC之间的因果关系。MR分析是一种利用遗传变异来确定风险因素和结果之间的关联是否具有因果效应的方法 [12-13]。 这种方法利用了不受环境条件影响的等位基因的随机分离。MR研究的结果与随机对照试验高度一致。但在大气污染物与ARC之间的关系研究中,目前还缺乏具有严格研究设计的大规模MR研究。
为了填补这一空白,本研究计划利用全基因组关联研究(Genome-Wide Association Study, GWAS)的汇总统计数据。本研究分析来自亚洲及欧洲人群的大型GWAS数据,这些数据涵盖了大气污染物的暴露情况以及ARC的遗传信息,期望能够更准确地评估大气污染物对白内障风险的遗传影响,并为这一领域的研究提供新的见解。
1 对象与方法
1.1 研究对象
采用一种双样本MR设计,利用来自独立的GWAS的汇总统计数据来研究大气污染对ARC的影响。共使用了5种大气污染物作为暴露,即PM2.5、PM2.5-10、PM10、二氧化氮和氮氧化物水平。本研究选取这5种大气污染物作为暴露因素,选择依据如下:1) 大量研究表明,大气污染严重的地区,人们患白内障的风险以及进行白内障手术的风险均增高[14-16];2)尽管臭氧(O₃)及二氧化硫(SO₂)也属于大气污染物范畴,但这2个暴露数据的遗传工具变量数量不足,无法满足MR分析的统计学要求;MR的设计依赖于3个假设(图1)。首先,基因工具必须与感兴趣的生物标志物密切相关。其次,遗传工具应该通过暴露与结果相关联,而不是通过独立于暴露的不同生物途径。再次,遗传工具不应该被任何与暴露-结果关系相关的任何因素所混淆。
图 1 MR的原则和假设的示意图
Figure 1 Diagram illustrating MR principles and assumptions

Assumption 1: The genetic instruments should strongly correlate with the purported biomarker of interest. Assumption 2: The genetic instruments should exclusively influence the outcome via the exposure, without any involvement in separate biological pathways independent of the exposure. Assumption 3: The genetic instruments should not be associated with any potential confounders of the relationship between the exposure and outcome.
1.2 数据来源
大气污染物特征的GWAS汇总数据来自OpenGWAS数据库(https://gwas.mrcieu.ac.uk/)。本研究分析了欧洲及亚洲人群的这五种大气污染物特征作为不同GWAS的暴露,欧洲人群包括PM2.5(数据集:ukb-b-10817;n= 423 796)、PM2.5-10(ukb-b-b-12963;n= 423 796)、PM10(ukb-b-589;n= 455 314)、二氧化氮(ukb-b-2618;n= 456 380)和氮氧化物(ukb-b-12417;n= 456 380)。亚洲人群包括PM2.5(数据集:ukb-e-24006_EAS;n= 2 505)、PM2.5-10(ukb-e-24008_EAS;n= 2 505)、PM10(ukb-e-24005_EAS;n= 2 505)、二氧化氮(ukb-e-24016_EAS;n=2 625)和氮氧化物(ukb-e-24004_EAS;n= 2 625)。表2总结了每个数据集的详细信息。欧洲人群的结果数据采用芬兰数据库中的年龄相关白内障数据(数据集: finn-b-H7_CATARACTSENILE),共216 362名欧洲血统参与者,包括26 758例患者和189 604例对照。亚洲人群的结果数据集为’’bbj-a-94’’,白内障组为24 622例年龄相关性白内障,对照组为187 831例。大气污染物浓度数据源自欧洲卫星遥感和地面监测站联合反演模型(单位:μg/m³),并通过标准化质控流程整合至OpenGWAS数据库[17]。ARC的诊断标准依据ICD-10编码(H25.0-H25.9),病例需经裂隙灯检查确诊晶状体混浊且排除外伤性、并发性等其他类型白内障[18]。
表 2 大气污染物的 GWAS 汇总统计数据描述
Table 2 Description of GWAS summary statistics for atmospheric pollutants traits
|
人群 |
大气污染物表型 |
数据集编号 |
样本量 |
SNP数量 |
|
欧洲 |
PM2.5 |
ukb-b-10817 |
423 796 |
9 851 867 |
|
欧洲 |
PM2.5-10 |
ukb-b-12963 |
423 796 |
9 851 867 |
|
欧洲 |
PM10 |
ukb-b-589 |
455 314 |
9 851 867 |
|
欧洲 |
Nitrogen dioxide |
ukb-b-2618 |
456 380 |
9 851 867 |
|
欧洲 |
Nitrogen oxides |
ukb-b-12417 |
456 380 |
9 851 867 |
|
亚洲 |
PM2.5 |
ukb-e-24006_EAS |
2 505 |
8 268 350 |
|
亚洲 |
PM2.5-10 |
ukb-e-24008_EAS |
2 505 |
8 268 350 |
|
亚洲 |
PM10 |
ukb-e-24005_EAS |
2 505 |
8 268 350 |
|
亚洲 |
Nitrogen dioxide |
ukb-e-24016_EAS |
2 625 |
8 260 777 |
|
亚洲 |
Nitrogen oxides |
ukb-e-24004_EAS |
2 625 |
8 260 777 |
1.3 统计学方法
1.3.1 工具变量选择采用R软件从GWAS数据中选择与大气污染和ARC相关的单核苷酸多态性(single nucleotide polymorphisms, SNPs)作为工具变量。主要选择标准如下:1)P<5×10-8;②去除连锁不平衡(r²=0.001, kb=10 000)[19- 20];③使用F-统计量排除较弱的工具变量,如果F < 10,表明所选工具变量为弱工具变量,则删除,以避免对结果的潜在影响[19]。最后,为了防止混杂因素对研究结果产生潜在影响,考虑一些与结局相关的SNP也可能受到年龄、紫外线暴露、糖尿病、吸烟、维生素缺乏等混杂因素的影响,因此有必要将这些变量排除在外。为此,通过PhenoScanner平台对所有暴露的工具变量(instrumental variables, IVs)进行了查询,并排除了可能的混杂变量,具体见表1。
表 1 本研究排除的混杂 SNP
Table 1 The conflicting SNPs excluded in this study
|
因素 |
工具变量 |
相关基因 |
相关内容 |
|
年龄 |
rs3754334 |
EPHA2 |
与年龄相关性白内障风险增加相关 |
|
紫外线暴露 |
rs156697 |
GSTO2 |
与皮肤和眼睛对紫外线的敏感性相关 |
|
糖尿病 |
rs10757278 |
CDKN2A |
与糖尿病风险相关,糖尿病是白内障的一个危险因素 |
|
吸烟 |
rs2229940 |
与吸烟相关疾病风险增加相关,吸烟是白内障的危险因素 |
逆方差加权法(inverse variance weighted,IVW)作为MR分析的主要方法,该方法假设所有遗传变异的因果效应估计都是相等的,且没有水平异质性。通过回归分析估计了各变异与表型之间的关联效应和标准误差。如果P值小于0.05,说明存在异质性,此时应采用随机效应模型;反之,则采用固定效应模型[21]。此外,采用MR Egger法、加权中位数、简单模式和加权模式为IVW方法得出的结论提供了补充。MR Egger 法在一定程度上可以校正多效性带来的偏差;加权中位数法能在部分工具变量存在偏差时,更稳健地估计因果效应;简单模式和加权模式则从不同角度对数据进行分析[22],综合多种方法的结果,可更全面地评估大气污染物与ARC之间的关系,增强研究结论的可靠性。另外,为评估多种大气污染物的独立因果效应,本研究进一步采用多变量MR(multivariable mendelian randomization, MVMR)分析方法。通过同时纳入PM2.5、PM2.5-10、PM10、二氧化氮及氮氧化物的遗传工具变量,构建多变量IVW模型以控制污染物间的潜在混杂效应。
1.3.3 敏感性分析
首先,采用IVW和MR-Egger方法进行Cochran Q检验来评估SNP之间的异质性,P < 0.05表示异质性[23]. 其次,采用MR多向性残差和及离群值(MR PRESSO)方法检测具有MR多向性的SNP离群值和残差,迭代时间设置为5000[24]. P<0.05表示存在异常值,应去除这些异常值并重新进行分析。再次,采用MR Egger截距检验来检验水平多效性,如果不存在水平多效性,P值应大于0.05。统计分析通过R软件4.1.2版中的“TwoSampleMR”包完成[25],过程如图2。
图 2 本次MR研究的流程图
Figure 2 Flow chart of this MR study
2 结果
2.1 亚洲人群
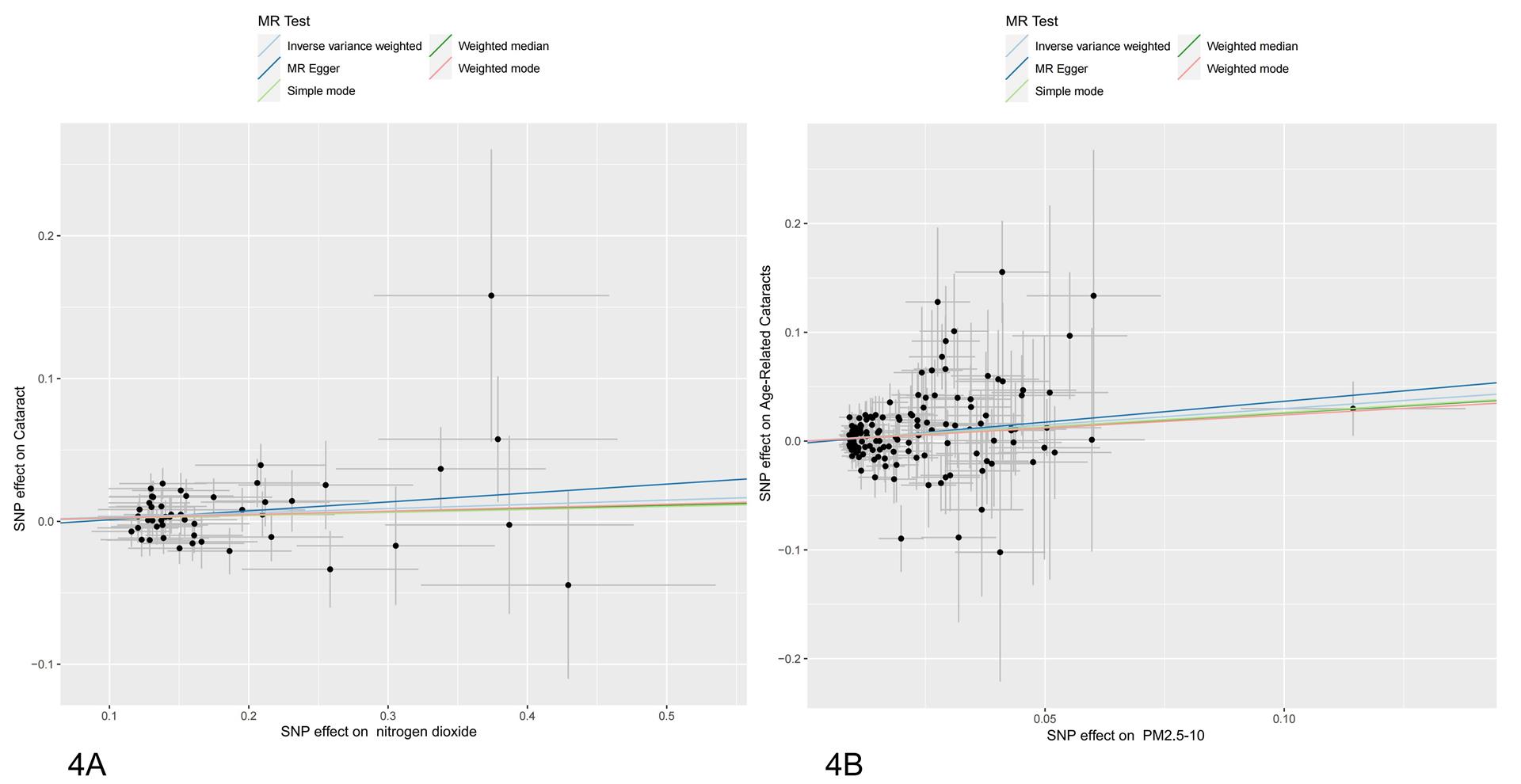
2.1.1 二氧化氮和年龄相关性白内障的MR及敏感性分析在剔除了混杂的工具变量后,最终纳入了48个与二氧化氮暴露相关的SNP作为IVs。确保这些工具变量不受弱工具偏差的影响(F> 10)。如图3A,IVW分析结果,二氧化氮暴露与ARC之间存在显著的相关性(OR=1.03,95%CI 1.00~1.06,P=0.026)。敏感性分析发现,与二氧化氮暴露和ARC相关的SNP之间没有显著的异质性(Cochran Q检验,IVW法P=0.40;MR Egger法P=0.38);MR-PRESSO检验的结果未发现异常SNP(P > 0.05)。此外,加权中位数法、MR-Egger法、简单模式、加权模式的方向与IVW一致,OR均 >1,共同表明二氧化氮暴露增加了ARC的风险(图4A)。漏斗图展示了SNP的分布大致是对称的,表明该研究中未观察到工具变量的多效性(图5A)。并且MR-Egger的截距检验结果为P=0.42,同样表明该MR分析过程中各工具变量之间没有检测到水平多效性。“留一法”也表明该整体研究未探测到对结果有显著影响的工具变量,见图6A。多变量分析中,二氧化氮的因果效应仍存在(OR=0.86, 95%CI 0.77~0.97, P=0.013),但方向与单变量分析结果相反。其他污染物(PM2.5、PM2.5-10、PM10、二氧化氮)未表现出独立因果效应,见图7A。此外,MVMR-Egger、MVMR-LASSO 和 MVMR-Median 方法的结果与 MVMR - 逆方差加权分析的结果相似,加强了二氧化氮降低亚洲人群ARC风险的可靠性,与混杂因素无关(表4)。
图 3 亚洲及欧洲人群大气污染物和年龄相关的白内障的孟德尔随机化分析结果
Figure 3 depicts the MR estimates regarding the effect of genetically predicted atmospheric pollutants on age-related cataracts of Asians and Europeans

(B) 欧洲人群大气污染物和年龄相关的白内障的孟德尔随机化(MR)分析结果,逆方差加权法是主要的分析方法。
(A) Depicts the Mendelian randomization (MR) estimates regarding the effect of genetically predicted atmospheric pollutants on age-related cataracts in Asians. The inverse variance weighted method is regarded as the primary analytical approach. ARC: age-related cataract.
(B) Illustrates the Mendelian randomization (MR) estimates of genetically predicted atmospheric pollutants on age-related cataracts in Europeans. The IVW method serves as the main analytical technique.
表 3 MR 结果的敏感性分析
Table 3 Sensitivity analyses of the MR results
|
Exposure |
Population |
Outcome |
Heterogeneity (Cochran’s Q), P |
Pleiotropy, P |
||
|
IVW |
MR-Egger |
MR-Egger |
MR-PRESSO |
|||
|
PM2.5 |
European |
ARC |
0.75 |
0.71 |
0.95 |
0.79 |
|
PM2.5-10 |
European |
ARC |
0.89 |
0.88 |
0.54 |
0.88 |
|
PM10 |
European |
ARC |
0.20 |
0.19 |
0.50 |
0.15 |
|
Nitrogen dioxide |
European |
ARC |
0.36 |
0.33 |
0.49 |
0.37 |
|
Nitrogen oxides |
European |
ARC |
0.41 |
0.43 |
0.26 |
0.32 |
|
PM2.5 |
Asian |
ARC |
0.11 |
0.10 |
0.42 |
0.10 |
|
PM2.5-10 |
Asian |
ARC |
0.19 |
0.17 |
0.50 |
0.18 |
|
PM10 |
Asian |
ARC |
0.46 |
0.42 |
0.69 |
0.48 |
|
Nitrogen dioxide |
Asian |
ARC |
0.40 |
0.38 |
0.42 |
0.37 |
|
Nitrogen oxides |
Asian |
ARC |
0.10 |
0.09 |
0.57 |
0.11 |
图4 亚洲及欧洲人群二氧化氮与年龄相关性白内障的散点图
Figure 4 The figure shows the causal link between nitrogen dioxide and age-related cataracts of Asians and Europeans

(A) The figure shows the causal link between nitrogen dioxide and age-related cataracts of Asians. Figure 4B The figure shows the causal link between PM2.5-10 and age-related cataracts of Europeans SNP, single nucleotide polymorphism; MR, Mendelian randomization.
图5 亚洲及欧洲人群二氧化氮对年龄相关性白内障因果影响的漏斗图
Figure 5A Funnel plot depicting the causal impact of nitrogen dioxide on age-related cataracts of Asians and Europeans

(B) 欧洲人群PM2.5-10对年龄相关性白内障因果影响的漏斗图。其中X轴代表工具变量的β值,Y轴代表1/工具变量的标准误差值,MR指孟德尔随机化研究。
(A) Funnel plot depicting the causal impact ofnitrogen dioxide on age-related cataracts of Asians
(B) Funnel plot depicting the causal impactof PM2.5-10 on age-related cataracts of Europeans. The X-axis represents the beta values of the instrumental variables, while the Y-axis represents the values of 1 divided by the standard error of the instrumental variables, MR refers to Mendelian randomization studies.
图 6 亚洲及欧洲人群二氧化氮对年龄相关性白内障因果效应的“留一法”图示
Figure 6 Figure of the "leave-one-out" method for causal effects of nitrogen dioxide and age-related Cataracts using the "leave-oneout" approach of Asians and Europeans

(A) Figure of the "leave-one-out" method for causal effects of nitrogen dioxide and age-related cataracts using the "leave-one-out" approach of Asians. (B) Figure of the "leave-one-out" method for causal effects of PM2.5-10 and age-related cataracts using the "leave-one-out" approach of Europeans.
图 7 亚洲及欧洲人群大气污染物和年龄相关的白内障的多变量孟德尔随机化(MR)分析森林图
Figure 7 Multivariate Mendelian randomization analysis forest plot of Atmospheric Pollutants and age-related cataracts in Asians and Europeans

(A) Multivariate Mendelian (MR) randomization analysis forest plot of Atmospheric Pollutants and age-related cataracts in Asians. (B) Multivariate Mendelian (MR) randomization analysis forest plot for the association of Atmospheric Pollutants and age-related cataracts in Europeans.
表 4 亚洲人群五种空气污染物对年龄相关性白内障风险的 MVMR 补充分析结果
Table 4 MVMR-complementary analyses results of five types of air pollutants on risk of age-related cataracts in Asians
|
Adjusted factors |
Outcomes |
MVMR-Egger OR(95%CI) |
MVMR-Egger P-value |
MVMR-LASSO OR(95%CI) |
MVMR-Lasso P-value |
MVMR-Median OR(95%CI) |
MVMR-Median P-value |
|
Nitrogen oxides |
ARC |
1.04(0.84, 1.30) |
0.714 |
1.04(0.84, 1.29) |
0.707 |
1.07(0.88, 1.31) |
0.488 |
|
PM10 |
ARC |
1.07(0.82, 1.40) |
0.634 |
1.07(0.82, 1.39) |
0.627 |
1.22(0.99, 1.50) |
0.057 |
|
PM2.5 |
ARC |
1.09(0.86, 1.39) |
0.462 |
1.09(0.86, 1.39) |
0.46 |
1.04(0.84, 1.29) |
0.696 |
|
PM2.5, 10 |
ARC |
0.93(0.73, 1.18) |
0.551 |
0.93(0.73, 1.17) |
0.535 |
0.83(0.68, 1.13) |
0.822 |
|
Nitrogen dioxide |
ARC |
0.86(0.75, 0.98) |
0.043 |
0.86(0.75, 0.99) |
0.041 |
0.84(0.71, 0.95) |
0.048 |
如图3A及表3所示,尽管其他空气污染指标(PM2.5,PM2.5-10,PM10,氮氧化物)与ARC之间也不存在异质性(Cochran Q 检验,P>0.05),MR Egger截距检验和MR-PRESSO的P>0.05,然而MR分析结果却未发现其与ARC之间具有显著的因果关系。
2.2 欧洲人群
2.2.1 PM2.5-10和年龄相关性白内障的MR及敏感性分析在排除表现出连锁不平衡的SNP后,本研究共选择136个与PM2.5-10相关的SNP作为工具变量,确保这些工具变量不受弱工具偏差的影响(F> 10)。如图3B,IVW分析结果显示,PM2.5-10与ARC之间存在显著的相关性(OR=1.35,95%CI 1.12~1.62,P=0.002)。敏感性分析发现,与PM2.5-10和ARC相关的SNP之间未发现异质性(Cochran Q检验,IVW法P=0.89;MR Egger法P=0.88);MR-PRESSO检验的结果未发现异常SNP(P > 0.05)。此外,加权中位数法、MR-Egger法、简单模式、加权模式的方向与IVW一致,OR均 >1,共同表明PM2.5-10增加了ARC的风险(图4B)。漏斗图展示了SNP的分布大致是对称的,表明该研究中未观察到工具变量的多效性(图5B)。并且MR-Egger的截距检验结果为P=0.42,同样表明该MR分析过程中各工具变量之间没有检测到水平多效性。“留一法”也表明该整体研究未探测到对结果有显著影响的工具变量,见图6B。而多变量IVW分析显示,PM2.5-10对ARC的因果效应仍存在(OR=1.58, 95%CI 1.27~3.70, P=0.03)。其他污染物(PM2.5、PM10、二氧化氮、氮氧化物)未表现出独立因果效应,见图7B。此外,MVMR-Egger、MVMR-LASSO 和 MVMR-Median 方法的结果与 MVMR - 逆方差加权分析的结果相似,加强了PM2.5-10增加欧洲人群ARC风险的可靠性,与混杂因素无关(表5)。
表 5 欧洲人群五种空气污染物对年龄相关性白内障风险的 MVMR 补充分析结果
Table 5 MVMR-complementary analyses results of five types of air pollutants on risk of age-related cataracts in Europeans
|
Adjusted factors |
Outcomes |
MVMR-Egger OR(95%CI) |
MVMR-Egger P-value |
MVMR-Lasso OR(95%CI) |
MVMR-LASSO P-value |
MVMR-Median OR(95%CI) |
MVMR-Median P-value |
|
PM2.5-10 |
ARC |
2.09(1.37, 5.35) |
0.030 |
2.42(2.39, 4.08) |
0.040 |
1.55(1.34, 3.92) |
0.020 |
|
Nitrogen oxides |
ARC |
0.03(0.01, 1.88) |
0.541 |
0.04(0.02, 1.28) |
0.822 |
0.25(0.21, 1.01) |
0.636 |
|
PM2.5 |
ARC |
0.67(0.07, 6.48) |
0.732 |
0.80(0.13, 4.77) |
0.802 |
0.34(0.02, 4.97) |
0.432 |
|
Nitrogen dioxide |
ARC |
3.80(0.10, 4.38) |
0.474 |
2.73(0.12, 6.56) |
0.525 |
1.54(0.32, 2.10) |
0.191 |
|
PM10 |
ARC |
1.22(0.22, 6.85) |
0.824 |
0.98(0.24, 3.98) |
0.979 |
1.19(0.21, 6.89) |
0.847 |
2.2.2 其他空气污染物和年龄相关性白内障的MR及敏感性分析
如图3B及表3所示,尽管其他空气污染指标(PM2.5,PM10,二氧化氮,氮氧化物)与ARC之间也不存在异质性(Cochran Q检验,P>0.05),MR Egger截距检验和MR-PRESSO的P值也大于0.05,然而MR分析结果却未发现其与ARC之间具有显著的因果关系。
3 讨论
本研究旨在探索大气污染与ARC之间的潜在联系。通过应用双样本MR分析,笔者利用了来自亚洲和欧洲大型人群的GWAS数据,对5种主要大气污染物(PM2.5、PM2.5-10、PM10、二氧化氮、氮氧化物)与ARC的关系进行了评估。笔者的研究结果表明,PM2.5-10和二氧化氮的遗传预测水平与ARC的发生具有显著的相关性,这为大气污染作为白内障的潜在诱因提供了遗传学证据。虽然这项研究不能确定其机制,但长期暴露于大气污染物可能是白内障的诱发因素,通过活性氧和氮引起氧化应激,从而损害细胞内和细胞外蛋白[9, 26] 。随着年龄的增长,环境损害造成的累积损害可能会加速晶状体的混浊[27] 。此外,在衰老过程中,晶状体的改变和抗压力保护机制的减弱也可能有助于白内障的发展 [27-28]。尽管研究的方式不同,但是本研究结果与Shin等[10]的研究结果相呼应,他们指出PM10对白内障发病率的影响可能大于其他污染物。然而,对于PM2.5,Shin等[10]未能证实其与白内障发病率之间的关联,这可能是由于研究中PM2.5浓度的变化范围有限,无法充分反映其长期暴露的影响。因此,该作者认为需要进一步控制混杂因素来研究长期暴露于PM2.5和PM10对白内障发病率的影响。
同样,Li等[15]的研究表明,长期暴露于PM2.5可能增加患ARC的风险。 然而,该研究中的PM2.5浓度是基于城市级别的监测数据,而不是个人测量数据,这可能存在对个体暴露水平估计不足的问题[29]。此外,该研究没有考虑到影响白内障发病率的其他因素,如慢性病、臭氧、氮和其他空气污染物,这可能会导致一些偏倚。
另外,本研究还揭示了二氧化氮与ARC之间的显著联系,这与Sharon等[4]的研究结果相类似。Sharon等[4]的研究表明,较高浓度的二氧化氮和氮氧化物与患者接受白内障手术的风险增加有关[4]。在他们的研究中,相较于暴露水平最低的人群,暴露于最高水平二氧化氮和氮氧化物的人群,接受白内障手术的可能性分别增加了11%和9%。此外,他们还观察到了明显的剂量-反应关系:随着二氧化氮和氮氧化物水平的升高,患者接受白内障手术的可能性也随之增加,这一发现具有统计学意义(P < 0.001)。这进一步强调了大气污染物,特别是二氧化氮,可能在白内障的发生、发展中起着重要作用。然而,Choi等[9]在韩国国家健康和营养调查的基础上进行的横断面研究中,提出了一种不同的观点,他们发现较高水平的二氧化氮可能对核性白内障具有保护作用。这一保护效应可能与二氧化氮阻挡紫外线辐射的能力相关。其他研究也指出,空气污染物能够吸收中波辐射,减少到达地表的紫外线量[30]。但同时,由于颗粒物的密度、组成和形状在时空上的动态变化,其对紫外线辐射的实际影响仍难以精确评估[31]。 本研究发现在亚洲人群中,二氧化氮的暴露与ARC的发生存在因果联系,而氮氧化物与ARC之间的因果关系则未被证实。这些发现不仅丰富了对大气污染物影响眼部健康的认识,也提示了在不同人群中,大气污染物的作用可能存在差异。在本研究中,通过对亚洲和欧洲人群进行的多变量分析显示,大气污染与ARC之间的关系更为复杂,且值得进一步探讨。
在亚洲人群方面,二氧化氮在单变量分析时,与ARC风险呈正相关(OR=1.03, 95% CI 1.00 ~ 1.06,P=0.026),然而在多变量分析中其因果效应方向反转(OR=0.86, 95% CI 0.77~0.97, P=0.013)。这种差异的产生原因较为复杂。从大气污染物的相互关系来看,污染物之间可能存在共线性。当多种污染物同时纳入多变量模型时,它们之间的相互作用会干扰各自效应的准确估计。比如,二氧化氮与其他污染物或许存在协同或拮抗关系,在调整其他污染物影响后,二氧化氮对白内障的真实效应才得以显现。从工具变量角度分析,若选择的与二氧化氮相关的工具变量和其他混杂因素有关联,单变量分析可能会高估其与白内障的正向关系,而多变量分析通过控制其他因素纠正了这种偏差。综合考虑,多变量分析由于控制了其他污染物的混杂效应,能更准确地反映二氧化氮与ARC之间的关系,因此倾向于认为在亚洲人群中,二氧化氮对ARC有降低风险的作用。其原因在于,污染物之间可能存在共线性,多变量模型纳入多种污染物后,能更准确地估计二氧化氮的真实效应;同时,若与二氧化氮相关的工具变量和其他混杂因素有关联,单变量分析可能高估其与白内障的正向关系,多变量分析则可纠正这种偏差。
此外,过往研究中关于二氧化氮与白内障关系的结论并不统一。Choi 等[9]发现二氧化氮对某些亚型白内障具有保护作用,Shin 等[10]则发现二氧化氮水平越高,白内障风险越高,Grant 等[11]却观察到两者之间没有显著关联。这种不一致性可能与研究人群、研究方法以及暴露评估等方面的差异有关。在本研究多变量分析中二氧化氮效应方向的改变,也可能是由于这些因素的综合影响,使得在不同研究背景下,二氧化氮对白内障的作用有所不同。
欧洲人群的研究结果显示,PM2.5-10在单变量和多变量分析中均与ARC存在显著正相关,这表明在多变量模型中,通过控制其他污染物的影响,PM2.5-10对白内障的影响得到了更准确的估计,其独立效应更加凸显。一种可能的解释是,其他污染物在一定程度上掩盖了 PM2.5-10的部分效应,在多变量调整后,这些干扰因素被去除,使得 PM2.5-10对白内障的影响得以更充分地展现。
总之,本研究多变量分析结果显示,不同大气污染物对ARC的影响在不同人群中存在差异,且污染物之间的相互关系以及工具变量等因素会对分析结果产生重要影响。然而,本研究在探索大气污染与ARC关系的过程中,存在一定局限性。从数据代表性来看,本研究的数据仅来源于亚洲及欧洲人群,但不同种族、地域人群在生活环境、遗传背景和生活方式等方面存在差异,这使得现有数据无法全面反映全球所有人群对大气污染物的暴露情况,限制了研究结论的普适性。此外,本研究还存在潜在偏倚。一方面,卫星遥感数据在监测大气污染时,可能会低估局部污染峰值,导致对个体污染暴露水平的错误分类,使研究中暴露因素的测量不够精准。另一方面,亚洲人群GWAS的样本量相对较小,这可能降低工具变量的强度,影响研究结果的可靠性。
鉴于以上问题,未来研究应注重结合个体化暴露评估,精确测量个体实际暴露水平,同时开展亚型分层分析,以验证研究结果的稳健性,为深入理解大气污染与ARC的关系提供更可靠的证据。总之,本研究的发现强调了进一步研究大气污染与眼部健康之间关系的必要性,并为制定公共卫生政策提供了科学依据。未来的研究应考虑更广泛的暴露评估,包括不同类型和来源的污染物,以及更深入的机制研究,以确定大气污染物如何影响眼部健康,并探索可能的预防措施。