Global pattern, trend, and cross-country inequality of blindness and vision impairment: an analysis of the Global Burden of Disease Study 2021
关键词
摘要
全文
HIGHLIGHTS
INTRODUCTION
The objective of this study is to offer fresh insights into global disparities in major BVI by utilizing data from the Global Burden of Disease 2021 (GBD). This research aims to estimate the disease burden of BVI at global, regional, and national scales. Furthermore, we analyzed disability-adjusted life years (DALYs) for 204 countries and territories, with the data segmented by age group and sex from 1990 to 2021. Additionally, we investigated the influence of SDI on DALY values.
METHOD
Data sources
Data analysis
RESULTS
Overview of BVI burdens
Table 1 Age-standardized prevalence rates for BVI and different eye diseases from 1990 to 2021
|
Age-standardized Prevalence rates |
|||||
|
|
1990 (million) |
2019 (million) |
2021 (million) |
EAPC (1990-2021) |
EAPC (2019-2021) |
|
BVI |
12453.52 (10287.58-15226.09) |
15558.7 (12578.24-19253.26) |
15784.33 (12761.44-19502.32) |
1.09 (0.97-1.2) |
0.72 (-0.5-1.96) |
|
Cataract |
1145.05 (1022.69-1278.12) |
1173.18 (1039.68-1323.84) |
1181.01 (1044.47-1334.29) |
0.21 (0.12-0.31) |
0.33 (-0.75-1.43) |
|
Glaucoma |
116.29 (100.81-136.3) |
94.15 (81.14-110.29) |
90.12 (77.78-105.49) |
-0.73 (-0.78--0.69) |
-2.16 (-3.25--1.06) |
|
AMD |
99.5 (83.16-118.04) |
94.25 (78.43-114.5) |
94 (78.32-114.42) |
-0.26 (-0.31--0.22) |
-0.13 (-2.47-2.26) |
|
Near vision loss |
9788.66 (7371.64-12888.27) |
13157.06 (9949.15-17190.03) |
13436.18 (10223.45-17585.84) |
1.47 (1.32-1.62) |
1.06 (-0.55-2.68) |
|
Refraction disorders |
2053.56 (1835.31-2275.8) |
1937.25 (1729.93-2152.53) |
1919.66 (1715.24-2135.28) |
-0.24 (-0.27--0.21) |
-0.46 (-0.97-0.06) |
|
Other vision loss |
507.89 (452.94-568.05) |
459.49 (407.44-516.66) |
454.75 (402.01-511.73) |
-0.39 (-0.42--0.36) |
-0.52 (-1.2-0.18) |
BVI, Blindness and vision loss; AMD, Age-related Macular Degeneration, EAPC, estimated annual percentage change
Regional variations in disease prevalence
Disease burden across gender and age group
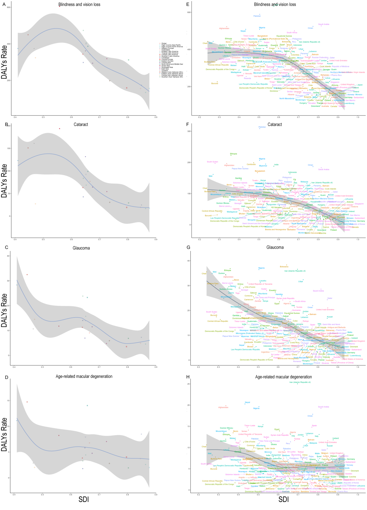
SDI and BVI burdens correlation
Figure 1 Maps about age-standardized DALYs rates and age-standardized prevalence rates for BVI in 1990 and 2021
Figure 2 Sub-group analysis of the global burden of blindness and vision loss, 1990 vs 2021
Figure 3 Temporal trends and socio-demographic disparities in blindness and vision loss globally, 1990-2021
Figure 4 Inverse relationship between Socio-demographic Index (SDI) and the burden of blindness and vision loss by Global Burden of Disease (GBD) super-regions, 1990 – 2021
DISCUSSION
CONCLUSION
Abbreviations and Acronyms
Correction Notice
Acknowledgments
Author Contributions
Funding
Conflict of Interests
Patient Consent for Publication
Ethics Statement
Provenance and Peer Review
This article was a standard submission to our journal. The article has undergone peer review with our anonymous review system.Data Sharing Statement
Open Access Statement
Suppplementary Data
Supplementary Figure 1 Maps of DALY Rates and Prevalence Rates for BVI Across All Ages in 1990 and 2021

Supplementary Figure 2 Prevalence and DALYs proportions for specific eye diseases across 21 regions between 1990 and 2021, showing variations in disease patterns

Supplementary Figure 3 Age-standardized DALYs rates for BVI and major eye diseases by gender in 21 regions in 2021
Supplementary Figure 4 Age-standardized DALYs rates for BVI and major eye diseases in 21 regions and 204 countries in 2021 correlated with SDI values

Supplementary Table 1 Changes in DALYs number, crude DALY rates and age-standardized DALY rates for BVI and different eye diseases from 1990 to 2021
|
DALY |
Crude DALY rates |
Age-standardized DALY rates |
||||||||||
|
|
1990 |
2021 (million) |
Difference |
Change |
1990 |
2021 |
Difference |
Change |
1990 |
2021 |
Difference |
Change (%) |
|
(million) |
(%) |
(/100 000) |
(/100 000) |
(%) |
(/100 000) |
(/100 000) |
||||||
|
BVI |
14.3 |
29.2 |
14.9 |
104.20% |
268.4 |
369.6 |
101.2 |
37.70% |
342 |
342.8 |
0.8 |
0.20% |
|
(9.8-20.3) |
(19.0-42.9) |
(184.0-381.4) |
(241.2-543.9) |
(237.9-482.2) |
(224.2-503.6) |
|||||||
|
Glaucoma |
0.5 |
0.8 |
0.3 |
60.00% |
8.8 |
9.6 |
0.8 |
9.10% |
13.4 |
9.1 |
-4.3 |
-32.10% |
|
(0.3-0.6) |
(0.5-1.0) |
(6.1-12.2) |
(6.7-13.3) |
(9.4-18.5) |
(6.3-12.5) |
|||||||
|
Cataract |
3.4 |
6.6 |
3.2 |
94.10% |
64.1 |
83.1 |
19 |
29.60% |
91.1 |
77 |
-14.1 |
-15.50% |
|
(2.5-4.5) |
(4.7-8.8) |
(46.4-85.2) |
(60.0-111.6) |
(66.3-120.4) |
(55.6-103.5) |
|||||||
|
Other vision loss |
1.8 |
3 |
1.2 |
66.70% |
33.4 |
38.1 |
4.7 |
14.10% |
42.9 |
35.3 |
-7.6 |
-17.70% |
|
(1.3-2.4) |
(2.1-4.1) |
(23.6-45.4) |
(27.2-51.6) |
(30.6-58.1) |
(25.4-47.9) |
|||||||
|
AMD |
0.3 |
0.6 |
0.3 |
100.00% |
5.7 |
7.3 |
1.6 |
28.10% |
8.4 |
6.8 |
-1.6 |
-19.00% |
|
(0.2-0.4) |
(0.4-0.8) |
(3.9-7.9) |
(5.1-10.1) |
(5.7-11.5) |
(4.7-9.3) |
|||||||
|
RD |
4 |
6.6 |
2.6 |
65.00% |
75.5 |
83.9 |
8.4 |
11.10% |
88 |
79.1 |
-8.9 |
-10.10% |
|
(2.8-5.8) |
(4.6-9.5) |
(52.9-109.0) |
(58.3-120.7) |
(62.2-125.2) |
(54.9-114.1) |
|||||||
|
Near vision loss |
4.3 |
11.6 |
7.3 |
169.80% |
80.9 |
147.6 |
66.7 |
82.40% |
98.3 |
135.5 |
37.2 |
37.80% |
|
(1.9-8.4) |
(5.2-22.4) |
(36.3-157.7) |
(66.1-284.1) |
(44.1-191.0) |
(60.8-260.4) |
|||||||
BVI, Blindness and vision loss; DALYs, disability-adjusted life years; AMD, Age-related Macular Degeneration; RD, refraction disorder.
Supplementary Table 2 Global DALYs EAPC for Blindness & Vision Impairment
|
|
EAPC |
|
|
|
1990-2021 |
2019-2021 |
|
Overall |
0.14 (0.08-0.19) |
0.02 (-1.28-1.34) |
|
Country |
||
|
Andean Latin America |
-0.77 (-0.8 - -0.75) |
-0.42 (-0.49 - -0.36) |
|
Australasia |
-0.11 (-0.13 - -0.09) |
-0.21 (-0.56 - 0.15) |
|
Caribbean |
-0.45 (-0.47 - -0.44) |
-0.44 (-0.63 - -0.26) |
|
Central Asia |
-0.36 (-0.38 - -0.34) |
-0.26 (-0.31 - -0.21) |
|
Central Europe |
-0.23 (-0.25 - -0.21) |
-0.22 (-0.29 - -0.15) |
|
Central Latin America |
-0.38 (-0.44 - -0.32) |
-1.65 (-2.99 - -0.3) |
|
Central Sub-Saharan Africa |
-0.08 (-0.11 - -0.05) |
-0.16 (-0.26 - -0.05) |
|
East Asia |
0.43 (0.27 - 0.58) |
1.27 (-4.07 - 6.9) |
|
Eastern Europe |
0.31 (0.2 - 0.42) |
-0.62 (-0.84 - -0.39) |
|
Eastern Sub-Saharan Africa |
-0.32 (-0.34 - -0.29) |
-0.63 (-0.63 - -0.63) |
|
High SDI |
0.04 (0.01 - 0.08) |
-0.65 (-0.92 - -0.38) |
|
High-income Asia Pacific |
-0.2 (-0.21 - -0.18) |
-0.01 (-0.07 - 0.05) |
|
High-income North America |
0.3 (0.2 - 0.41) |
-3.32 (-6.71 - 0.2) |
|
High-middle SDI |
0.28 (0.21 - 0.35) |
0.66 (-2.16 - 3.57) |
|
Low SDI |
-0.24 (-0.29 - -0.2) |
-0.41 (-0.79 - -0.03) |
|
Low-middle SDI |
-0.46 (-0.51 - -0.41) |
-0.49 (-0.96 - -0.03) |
|
Middle SDI |
-0.01 (-0.09 - 0.06) |
-0.01 (-1.9 - 1.93) |
|
North Africa and Middle East |
-0.69 (-0.71 - -0.66) |
-0.33 (-0.82 - 0.16) |
|
Oceania |
-0.36 (-0.43 - -0.3) |
-0.6 (-0.85 - -0.35) |
|
South Asia |
-0.34 (-0.41 - -0.27) |
-0.33 (-0.85 - 0.21) |
|
Southeast Asia |
-0.79 (-0.82 - -0.76) |
-0.49 (-0.5 - -0.48) |
|
Southern Latin America |
-0.31 (-0.33 - -0.3) |
-0.26 (-0.29 - -0.23) |
|
Southern Sub-Saharan Africa |
-0.07 (-0.16 - 0.02) |
-0.82 (-2.04 - 0.41) |
|
Tropical Latin America |
-0.17 (-0.31 - -0.04) |
-0.49 (-0.54 - -0.44) |
|
Western Europe |
-0.28 (-0.3 - -0.26) |
-0.17 (-0.24 - -0.1) |
|
Western Sub-Saharan Africa |
-0.21 (-0.26 - -0.16) |
-0.41 (-0.45 - -0.37) |
|
Sex |
||
|
Female |
0.22 (0.16-0.28) |
-0.01 (-1.3-1.3) |
|
Male |
0.02 (-0.03-0.08) |
0.02 (-1.28-1.35) |
|
Age |
||
|
<5 years |
-0.2 (-0.23--0.18) |
-0.1 (-0.15--0.06) |
|
10-14 years |
-0.23 (-0.25--0.21) |
-0.5 (-0.6--0.41) |
|
15-19 years |
-0.24 (-0.28--0.21) |
-0.56 (-0.62--0.5) |
|
20-24 years |
-0.11 (-0.15--0.07) |
-0.33 (-0.47--0.18) |
|
25-29 years |
0.08 (0.04-0.11) |
0.27 (-0.17-0.71) |
|
30-34 years |
0.61 (0.5-0.72) |
-0.08 (-0.22-0.06) |
|
35-39 years |
1.13 (0.96-1.3) |
-0.98 (-1.45--0.52) |
|
40-44 years |
1.14 (0.98-1.29) |
-0.39 (-0.41--0.36) |
|
45-49 years |
0.97 (0.83-1.12) |
0.02 (-0.64-0.68) |
|
5-9 years |
-0.21 (-0.23--0.19) |
-0.43 (-0.5--0.36) |
|
50-54 years |
0.7 (0.6-0.81) |
0.24 (-1.01-1.5) |
|
55-59 years |
0.33 (0.24-0.42) |
0.65 (-0.96-2.29) |
|
60-64 years |
0.04 (-0.03-0.11) |
0.51 (-1.3-2.36) |
|
65-69 years |
-0.09 (-0.18-0) |
0.24 (-2.05-2.6) |
|
70-74 years |
-0.2 (-0.29--0.11) |
-0.27 (-1.96-1.45) |
|
75-79 years |
-0.27 (-0.31--0.23) |
0.06 (-1.92-2.08) |
|
80-84 years |
-0.37 (-0.43--0.31) |
-0.36 (-2.31-1.64) |
|
85-89 years |
-0.56 (-0.61--0.5) |
-0.15 (-1.87-1.59) |
|
90-94 years |
-0.66 (-0.7--0.62) |
-0.09 (-1.58-1.41) |
|
95+ years |
-0.65 (-0.67--0.62) |
-0.62 (-1.55-0.31) |
|
Disease Subgroups |
||
|
Age-related macular degeneration |
-0.94 (-1.01--0.88) |
0.75 (0.08-1.43) |
|
Blindness and vision loss |
0.14 (0.08-0.19) |
0.02 (-1.28-1.34) |
|
Cataract |
-0.48 (-0.58--0.38) |
-0.42 (-2.25-1.45) |
|
Glaucoma |
-1.23 (-1.27--1.19) |
-1.58 (-1.96--1.19) |
|
Near vision loss |
1.5 (1.34-1.65) |
0.99 (-0.58-2.6) |
|
Other vision loss (internal) |
-0.69 (-0.73--0.64) |
-0.7 (-1.72-0.33) |
|
Refraction disorders |
-0.36 (-0.4--0.32) |
-0.75 (-1.36--0.13) |
Supplementary Table 3 ASR DALY Rate in 21 Region for the Years 1990 and 2021
|
BVI |
Cataract |
Glaucoma |
AMD |
|||||
|
|
Male |
Female |
Male |
Female |
Male |
Female |
Male |
Female |
|
Andean Latin America |
392.6 |
408.2 |
96.6 |
88.5 |
15.7 |
12.5 |
6.3 |
9.3 |
|
Australasia |
149.6 |
161.8 |
19.4 |
19.7 |
5.3 |
4.6 |
2.8 |
4.5 |
|
Caribbean |
267.3 |
328.2 |
41.7 |
43.4 |
16.3 |
12.2 |
1.7 |
1.8 |
|
Central Asia |
285.4 |
300.3 |
60.1 |
66.9 |
14.7 |
9.6 |
2.8 |
6.1 |
|
Central Europe |
150.0 |
166.9 |
19.0 |
19.4 |
4.4 |
3.0 |
4.0 |
4.1 |
|
Central Latin America |
333.3 |
354.1 |
66.4 |
60.5 |
13.4 |
9.6 |
3.8 |
3.9 |
|
Central Sub-Saharan Africa |
293.2 |
351.4 |
23.3 |
30.0 |
15.6 |
13.8 |
1.7 |
2.3 |
|
East Asia |
294.9 |
340.3 |
45.6 |
61.0 |
5.3 |
4.3 |
6.1 |
7.8 |
|
Eastern Europe |
286.7 |
330.2 |
25.4 |
31.1 |
8.5 |
6.1 |
1.7 |
2.1 |
|
Eastern Sub-Saharan Africa |
346.8 |
400.0 |
110.5 |
134.1 |
32.0 |
25.3 |
9.3 |
12.7 |
|
High-income Asia Pacific |
151.9 |
160.0 |
16.8 |
17.4 |
7.6 |
4.9 |
1.9 |
2.0 |
|
High-income North America |
128.1 |
139.5 |
15.4 |
17.5 |
5.5 |
3.9 |
2.1 |
2.9 |
|
North Africa and Middle East |
356.8 |
418.2 |
85.6 |
112.3 |
27.3 |
19.4 |
12.1 |
16.0 |
|
Oceania |
353.3 |
396.6 |
146.8 |
175.7 |
11.6 |
9.7 |
2.3 |
3.5 |
|
South Asia |
563.2 |
646.3 |
173.7 |
212.2 |
14.2 |
9.6 |
8.0 |
8.5 |
|
Southeast Asia |
336.8 |
381.6 |
113.6 |
145.4 |
7.7 |
6.4 |
5.3 |
6.2 |
|
Southern Latin America |
192.8 |
202.5 |
30.2 |
30.4 |
6.8 |
5.3 |
3.0 |
2.6 |
|
Southern Sub-Saharan Africa |
462.8 |
485.6 |
78.0 |
87.2 |
31.5 |
19.4 |
2.6 |
3.7 |
|
Tropical Latin America |
382.1 |
427.3 |
64.9 |
71.1 |
18.2 |
13.8 |
3.3 |
5.3 |
|
Western Europe |
162.4 |
183.4 |
22.4 |
26.2 |
8.4 |
6.4 |
6.8 |
9.7 |
|
Western Sub-Saharan Africa |
423.6 |
473.4 |
132.0 |
167.8 |
37.8 |
27.8 |
12.8 |
16.4 |
Supplementary Table 4 DALY Rate and Prevalence Rate of BVI Across All Ages in 204 Countries and Territories for the Years 1990 and 2021
|
|
DALY rate |
Prevalence rate |
||
|
|
1990 |
2021 |
1990 |
2021 |
|
Afghanistan |
419.1 |
217.4 |
11018.2 |
7340.9 |
|
Albania |
124.5 |
239.5 |
5617.5 |
11133.1 |
|
Algeria |
271.1 |
321.7 |
8629.3 |
11953.4 |
|
American Samoa |
168.1 |
266.6 |
7754.6 |
13127.7 |
|
Andorra |
165.6 |
232.4 |
7966.8 |
11613.0 |
|
Angola |
225.3 |
197.0 |
12056.5 |
11828.4 |
|
Antigua and Barbuda |
267.2 |
292.7 |
11890.9 |
15519.4 |
|
Argentina |
214.4 |
231.6 |
9111.7 |
10428.3 |
|
Armenia |
262.3 |
388.1 |
9867.0 |
15303.0 |
|
Australia |
172.1 |
214.7 |
8725.3 |
10866.7 |
|
Austria |
221.4 |
250.9 |
10104.6 |
11959.3 |
|
Azerbaijan |
236.2 |
283.2 |
8781.3 |
11626.2 |
|
Bahamas |
201.2 |
269.5 |
9981.4 |
14413.0 |
|
Bahrain |
213.2 |
250.5 |
7858.2 |
11050.5 |
|
Bangladesh |
252.9 |
365.1 |
7892.4 |
13133.8 |
|
Barbados |
207.4 |
266.7 |
12736.2 |
17590.6 |
|
Belarus |
299.8 |
358.3 |
12558.1 |
15895.0 |
|
Belgium |
224.2 |
251.1 |
10156.6 |
11806.4 |
|
Belize |
190.9 |
216.3 |
8282.7 |
11023.5 |
|
Benin |
173.1 |
200.5 |
7735.6 |
8360.0 |
|
Bermuda |
295.1 |
431.8 |
14340.6 |
21494.1 |
|
Bhutan |
175.7 |
263.2 |
7882.8 |
13140.4 |
|
Bolivia |
282.9 |
332.0 |
10720.3 |
14266.2 |
|
Bosnia and Herzegovina |
213.7 |
344.3 |
12431.9 |
20469.4 |
|
Botswana |
263.5 |
301.7 |
11991.2 |
16300.5 |
|
Brazil |
330.3 |
449.8 |
13239.4 |
19386.7 |
|
Brunei Darussalam |
110.6 |
143.7 |
5186.4 |
7778.9 |
|
Bulgaria |
206.7 |
271.8 |
10015.6 |
13308.5 |
|
Burkina Faso |
127.9 |
159.7 |
5037.5 |
5459.7 |
|
Burundi |
119.3 |
108.1 |
6452.8 |
6283.2 |
|
Cabo Verde |
258.8 |
269.5 |
9794.0 |
12859.6 |
|
Cambodia |
304.9 |
313.6 |
7308.9 |
9451.4 |
|
Cameroon |
176.7 |
161.0 |
8289.4 |
8322.2 |
|
Canada |
144.2 |
186.7 |
7361.7 |
9383.5 |
|
Central African Republic |
166.4 |
181.4 |
11997.3 |
12558.8 |
|
Chad |
233.8 |
184.2 |
10367.8 |
8987.4 |
|
Chile |
186.5 |
240.3 |
7988.1 |
11272.9 |
|
China |
217.7 |
457.2 |
9646.0 |
25079.2 |
|
Colombia |
268.3 |
404.0 |
10762.7 |
17956.2 |
|
Comoros |
238.0 |
293.2 |
11431.6 |
15359.5 |
|
Congo |
230.7 |
245.2 |
12750.5 |
15032.0 |
|
Cook Islands |
264.1 |
418.3 |
9949.2 |
17622.7 |
|
Costa Rica |
243.1 |
351.5 |
10113.1 |
15791.0 |
|
Croatia |
184.6 |
263.2 |
8552.5 |
12106.1 |
|
Cuba |
355.7 |
490.2 |
13601.1 |
20146.5 |
|
Cyprus |
169.5 |
200.9 |
7874.3 |
9965.2 |
|
Czechia |
191.1 |
243.9 |
8552.6 |
11373.0 |
|
Coted’Ivoire |
128.5 |
203.1 |
8019.8 |
9796.2 |
|
Democratic People's Republic of Korea |
183.8 |
243.8 |
12234.1 |
17138.3 |
|
Democratic Republic of the Congo |
157.1 |
167.3 |
11594.3 |
12253.8 |
|
Denmark |
227.0 |
251.0 |
10262.2 |
11805.1 |
|
Djibouti |
166.2 |
194.8 |
6611.9 |
8605.1 |
|
Dominica |
253.8 |
304.7 |
11206.8 |
15300.1 |
|
Dominican Republic |
236.9 |
302.4 |
9593.8 |
13263.6 |
|
Ecuador |
233.9 |
306.8 |
10578.3 |
14913.2 |
|
Egypt |
249.4 |
278.3 |
8878.0 |
11095.7 |
|
El Salvador |
318.7 |
384.2 |
10598.2 |
14629.0 |
|
Equatorial Guinea |
350.3 |
214.5 |
13085.2 |
12176.7 |
|
Eritrea |
198.2 |
201.4 |
6711.3 |
7741.7 |
|
Estonia |
214.8 |
284.4 |
9507.9 |
12783.4 |
|
Eswatini |
228.4 |
248.8 |
10959.2 |
13573.0 |
|
Ethiopia |
207.6 |
219.7 |
7241.0 |
7819.8 |
|
Fiji |
206.7 |
276.2 |
8254.2 |
12034.5 |
|
Finland |
210.9 |
260.6 |
9741.3 |
12487.3 |
|
France |
200.6 |
243.6 |
9157.9 |
11479.8 |
|
Gabon |
273.7 |
253.9 |
14133.5 |
15329.3 |
|
Gambia |
194.6 |
194.9 |
7998.7 |
8717.9 |
|
Georgia |
354.9 |
453.4 |
14278.9 |
17544.0 |
|
Germany |
223.1 |
262.8 |
10505.8 |
12622.9 |
|
Ghana |
153.0 |
195.5 |
7248.8 |
8734.5 |
|
Greece |
221.6 |
290.9 |
9939.2 |
13070.9 |
|
Greenland |
109.6 |
150.4 |
5791.7 |
8144.4 |
|
Grenada |
270.9 |
281.7 |
10949.1 |
14481.2 |
|
Guam |
192.7 |
364.9 |
9003.9 |
16327.1 |
|
Guatemala |
252.1 |
316.3 |
8865.9 |
12153.5 |
|
Guinea |
248.3 |
208.8 |
9559.0 |
8641.5 |
|
Guinea-Bissau |
192.5 |
182.1 |
8057.1 |
8251.4 |
|
Guyana |
192.0 |
236.4 |
8738.8 |
12179.1 |
|
Haiti |
213.9 |
208.7 |
8904.8 |
9967.2 |
|
Honduras |
215.1 |
242.0 |
8633.8 |
11083.4 |
|
Hungary |
225.5 |
268.6 |
8610.6 |
11118.3 |
|
Iceland |
183.1 |
219.3 |
7913.9 |
10176.5 |
|
India |
414.9 |
555.1 |
12633.5 |
24915.1 |
|
Indonesia |
270.2 |
343.5 |
9865.7 |
15041.9 |
|
Iran |
281.9 |
410.1 |
7652.8 |
12488.7 |
|
Iraq |
253.9 |
246.9 |
7983.4 |
9799.0 |
|
Ireland |
178.7 |
208.8 |
8053.2 |
10185.8 |
|
Israel |
162.6 |
182.9 |
7258.4 |
8551.6 |
|
Italy |
356.5 |
427.0 |
12442.3 |
15930.8 |
|
Jamaica |
238.0 |
289.0 |
10529.1 |
14322.4 |
|
Japan |
198.5 |
300.5 |
10685.3 |
14782.5 |
|
Jordan |
177.8 |
217.6 |
6994.0 |
9802.4 |
|
Kazakhstan |
247.0 |
260.2 |
9169.2 |
10591.4 |
|
Kenya |
217.4 |
217.6 |
7882.9 |
9568.6 |
|
Kiribati |
196.0 |
204.2 |
8092.3 |
9415.7 |
|
Kuwait |
195.2 |
253.4 |
7768.8 |
11481.4 |
|
Kyrgyzstan |
211.6 |
200.7 |
8102.3 |
8539.0 |
|
Lao People's Democratic Republic |
141.5 |
148.1 |
5223.8 |
6206.8 |
|
Latvia |
326.3 |
435.2 |
14370.3 |
19319.1 |
|
Lebanon |
351.5 |
398.1 |
10053.0 |
13399.3 |
|
Lesotho |
317.8 |
291.1 |
13645.8 |
14749.0 |
|
Liberia |
231.8 |
179.5 |
8833.2 |
8833.2 |
|
Libya |
270.3 |
316.2 |
8268.0 |
12176.0 |
|
Lithuania |
293.1 |
417.5 |
12462.5 |
18041.1 |
|
Luxembourg |
211.3 |
214.4 |
9808.0 |
10573.8 |
|
Madagascar |
162.4 |
140.8 |
7029.3 |
7101.9 |
|
Malawi |
179.2 |
143.9 |
4758.9 |
4672.0 |
|
Malaysia |
232.7 |
248.0 |
5419.1 |
7090.8 |
|
Maldives |
160.2 |
190.4 |
5542.6 |
8066.1 |
|
Mali |
221.7 |
186.2 |
6686.0 |
6083.5 |
|
Malta |
184.9 |
263.3 |
8460.9 |
12353.1 |
|
Marshall Islands |
153.3 |
197.6 |
6372.0 |
9797.9 |
|
Mauritania |
280.9 |
254.1 |
13061.5 |
13465.0 |
|
Mauritius |
241.9 |
378.1 |
7761.8 |
13415.8 |
|
Mexico |
225.6 |
324.7 |
8010.3 |
14021.4 |
|
Micronesia |
188.6 |
228.9 |
7531.3 |
10782.1 |
|
Monaco |
288.8 |
294.6 |
12996.0 |
13841.6 |
|
Mongolia |
211.1 |
235.5 |
6962.2 |
9080.3 |
|
Montenegro |
160.5 |
216.9 |
7759.0 |
10754.0 |
|
Morocco |
274.2 |
344.0 |
11239.6 |
15938.6 |
|
Mozambique |
206.3 |
167.3 |
7360.5 |
6685.5 |
|
Myanmar |
308.1 |
324.0 |
6669.5 |
8500.0 |
|
Namibia |
247.5 |
255.9 |
11200.0 |
13472.0 |
|
Nauru |
173.5 |
176.4 |
7569.5 |
8452.3 |
|
Nepal |
291.8 |
406.1 |
12470.3 |
21663.8 |
|
Netherlands |
183.4 |
226.1 |
8986.0 |
11636.1 |
|
New Zealand |
191.5 |
223.5 |
9486.4 |
11577.3 |
|
Nicaragua |
225.3 |
291.5 |
8415.0 |
12333.4 |
|
Niger |
215.1 |
233.1 |
10596.2 |
11907.5 |
|
Nigeria |
306.1 |
244.9 |
10591.3 |
9791.4 |
|
Niue |
326.7 |
352.9 |
12526.2 |
16212.0 |
|
North Macedonia |
161.5 |
212.2 |
7489.4 |
10586.9 |
|
Northern Mariana Islands |
151.4 |
298.7 |
7668.6 |
14840.3 |
|
Norway |
216.4 |
231.5 |
10819.5 |
12013.9 |
|
Oman |
282.7 |
306.9 |
8612.3 |
10651.5 |
|
Pakistan |
335.9 |
325.3 |
8335.6 |
9016.2 |
|
Palau |
220.3 |
340.1 |
9637.3 |
16779.1 |
|
Palestine |
242.1 |
214.5 |
7807.6 |
8855.2 |
|
Panama |
312.3 |
381.8 |
11075.1 |
14868.7 |
|
Papua New Guinea |
220.3 |
219.6 |
8189.5 |
8925.3 |
|
Paraguay |
309.0 |
341.0 |
11925.4 |
15255.6 |
|
Peru |
345.1 |
415.3 |
11922.7 |
16484.5 |
|
Philippines |
272.6 |
349.0 |
13237.3 |
17762.3 |
|
Poland |
191.5 |
270.9 |
9462.9 |
13496.1 |
|
Portugal |
215.2 |
285.2 |
9534.0 |
13130.0 |
|
Puerto Rico |
281.0 |
434.6 |
13323.7 |
21086.6 |
|
Qatar |
191.0 |
189.8 |
7401.1 |
8842.5 |
|
Republic of Korea |
152.3 |
237.7 |
6992.1 |
12257.1 |
|
Republic of Moldova |
301.6 |
446.1 |
11207.1 |
16790.4 |
|
Romania |
193.8 |
274.8 |
8853.7 |
12752.1 |
|
Russian Federation |
384.2 |
509.0 |
17840.2 |
26804.5 |
|
Rwanda |
142.1 |
144.2 |
6541.5 |
7671.8 |
|
Saint Kitts and Nevis |
270.5 |
293.9 |
11444.6 |
15707.9 |
|
Saint Lucia |
213.7 |
327.3 |
9704.6 |
16667.7 |
|
Saint Vincent and the Grenadines |
222.7 |
313.3 |
9738.5 |
15360.8 |
|
Samoa |
189.0 |
211.8 |
7955.8 |
9825.1 |
|
San Marino |
209.0 |
275.6 |
9710.1 |
12848.9 |
|
Sao Tome and Principe |
267.2 |
224.1 |
9412.3 |
10257.4 |
|
Saudi Arabia |
392.0 |
319.2 |
8865.5 |
10914.8 |
|
Senegal |
238.4 |
223.8 |
7717.7 |
8610.0 |
|
Serbia |
187.2 |
251.5 |
8817.6 |
12020.3 |
|
Seychelles |
298.4 |
310.5 |
8945.3 |
11643.5 |
|
Sierra Leone |
218.4 |
184.6 |
9007.6 |
8718.9 |
|
Singapore |
171.6 |
240.4 |
7775.1 |
11556.4 |
|
Slovakia |
166.8 |
218.1 |
7186.3 |
9522.3 |
|
Slovenia |
203.4 |
296.6 |
10475.3 |
15401.4 |
|
Solomon Islands |
173.3 |
187.3 |
7005.8 |
8399.6 |
|
Somalia |
132.1 |
121.0 |
5903.2 |
5723.2 |
|
South Africa |
368.2 |
453.3 |
21501.6 |
28926.1 |
|
South Sudan |
234.8 |
181.0 |
7492.8 |
7355.4 |
|
Spain |
356.0 |
447.2 |
11278.9 |
14593.4 |
|
Sri Lanka |
252.6 |
365.8 |
8832.3 |
13815.1 |
|
Sudan |
302.4 |
224.0 |
8271.8 |
8218.5 |
|
Suriname |
262.8 |
331.3 |
10610.0 |
14697.6 |
|
Sweden |
173.9 |
192.0 |
10414.6 |
11446.2 |
|
Switzerland |
209.9 |
243.8 |
9903.1 |
11809.2 |
|
Syrian Arab Republic |
240.8 |
347.6 |
6394.7 |
11718.3 |
|
Taiwan |
153.3 |
280.5 |
11397.4 |
21272.5 |
|
Tajikistan |
193.7 |
196.3 |
6998.7 |
7849.7 |
|
Thailand |
255.1 |
446.0 |
8484.0 |
16369.2 |
|
Timor-Leste |
250.9 |
294.9 |
6248.2 |
8067.8 |
|
Togo |
162.9 |
212.3 |
7526.6 |
9642.3 |
|
Tokelau |
300.4 |
317.4 |
11347.5 |
13872.7 |
|
Tonga |
170.2 |
191.8 |
8140.7 |
10022.6 |
|
Trinidad and Tobago |
221.2 |
314.3 |
10560.3 |
16516.1 |
|
Tunisia |
290.5 |
360.0 |
9099.4 |
13808.5 |
|
Turkey |
229.2 |
329.5 |
9145.0 |
16046.5 |
|
Turkmenistan |
211.7 |
257.0 |
7659.1 |
10134.0 |
|
Tuvalu |
266.1 |
262.6 |
10410.4 |
11697.3 |
|
Uganda |
123.1 |
119.2 |
6112.2 |
6213.2 |
|
Ukraine |
320.5 |
387.7 |
13278.4 |
16365.7 |
|
United Arab Emirates |
175.9 |
222.1 |
6736.0 |
10422.2 |
|
United Kingdom |
243.1 |
257.8 |
11226.6 |
12495.6 |
|
United Republic of Tanzania |
224.7 |
202.0 |
7310.5 |
7659.4 |
|
United States of America |
151.2 |
187.4 |
7462.5 |
9898.0 |
|
United States Virgin Islands |
246.4 |
436.0 |
12241.5 |
21206.9 |
|
Uruguay |
212.8 |
244.0 |
10116.8 |
11738.5 |
|
Uzbekistan |
204.0 |
233.9 |
7422.8 |
9556.1 |
|
Vanuatu |
142.0 |
167.2 |
6867.2 |
8639.9 |
|
Venezuela |
237.3 |
370.1 |
9657.5 |
15730.4 |
|
Viet Nam |
245.0 |
273.7 |
6029.3 |
8393.3 |
|
Yemen |
180.0 |
208.5 |
6623.6 |
7803.2 |
|
Zambia |
149.3 |
132.2 |
6032.2 |
6230.4 |
|
Zimbabwe |
207.1 |
208.8 |
8911.5 |
10070.7 |
Supplementary Table 5 BVI DALY EAPC Across All Ages in 204 Countries for the Years 1990, 2019 and 2021
|
ASR_1990 |
ASR_2019 |
ASR_2021 |
EAPC_CI_1990-2021 |
|
|
American Samoa |
319.29 (217.09 to 463.75) |
279.36 (181.2 to 421.27) |
277.78 (179.49 to 409.33) |
-0.43 (-0.45 - -0.42) |
|
Antigua and Barbuda |
291.98 (193.6 to 429.32) |
255.32 (161.21 to 382.87) |
253.4 (160.77 to 381.59) |
-0.46 (-0.47 - -0.45) |
|
Arab Republic of Egypt |
440.89 (310.19 to 615.14) |
424.62 (295.37 to 600.03) |
418.25 (290.46 to 593.95) |
-0.24 (-0.3 - -0.18) |
|
Argentine Republic |
222.68 (147.55 to 323.82) |
202.79 (131.72 to 300.1) |
201.71 (129.59 to 299.11) |
-0.29 (-0.31 - -0.27) |
|
Australia |
159.66 (100.95 to 239.55) |
154.46 (97.43 to 234.69) |
153.79 (95.78 to 234.64) |
-0.09 (-0.1 - -0.07) |
|
Barbados |
192.94 (114.17 to 312.28) |
181.25 (105.19 to 301.15) |
180.66 (103.65 to 298.87) |
-0.19 (-0.2 - -0.18) |
|
Belize |
319.81 (218.49 to 459.76) |
275.23 (179.39 to 406.41) |
273.28 (178.36 to 403.47) |
-0.5 (-0.52 - -0.49) |
|
Bermuda |
281.57 (182.65 to 414.53) |
248.94 (155.9 to 380.41) |
247.74 (154.57 to 373.72) |
-0.41 (-0.43 - -0.39) |
|
Bolivarian Republic of Venezuela |
387.6 (266.8 to 554.05) |
338.69 (227.7 to 493.24) |
338.75 (227.91 to 495.08) |
-0.4 (-0.44 - -0.35) |
|
Bosnia and Herzegovina |
230.54 (143.02 to 358.42) |
211.49 (125.68 to 337.15) |
210.72 (125.93 to 339.21) |
-0.32 (-0.38 - -0.26) |
|
Brunei Darussalam |
174.12 (114.25 to 257.73) |
159.67 (101.37 to 239.46) |
159 (101.38 to 240.1) |
-0.26 (-0.3 - -0.23) |
|
Burkina Faso |
259.89 (183.4 to 361.83) |
348.39 (247.83 to 480.98) |
341.71 (245.32 to 472.56) |
0.34 (0.07 - 0.61) |
|
Canada |
130.68 (81.65 to 198.65) |
127 (79.65 to 195.07) |
126.3 (78.54 to 194.39) |
-0.11 (-0.11 - -0.1) |
|
Central African Republic |
313.98 (192.4 to 508.36) |
325.96 (199.39 to 517.74) |
326.65 (204.2 to 519.22) |
0.15 (0.13 - 0.18) |
|
Commonwealth of Dominica |
303.2 (202.07 to 443.25) |
260.51 (168.29 to 387.53) |
259.19 (166.26 to 389.11) |
-0.5 (-0.53 - -0.47) |
|
Commonwealth of the Bahamas |
285.68 (187.26 to 419.92) |
256.2 (162.26 to 382.73) |
255.19 (161.34 to 386.74) |
-0.39 (-0.41 - -0.37) |
|
Cook Islands |
383.9 (268.95 to 548.93) |
305.48 (205.11 to 448.66) |
302.52 (201.74 to 440.92) |
-0.68 (-0.72 - -0.65) |
|
Czech Republic |
154.14 (101.98 to 225.82) |
141.58 (91.55 to 211.21) |
141.39 (91.34 to 210.83) |
-0.23 (-0.27 - -0.2) |
|
Democratic People's Republic of Korea |
220.65 (128.06 to 362.64) |
199.48 (110.53 to 338.48) |
198.44 (109.8 to 339.96) |
-0.35 (-0.36 - -0.34) |
|
Democratic Republic of Sao -me and Principe |
469.2 (332.23 to 660.34) |
381.77 (262.63 to 545.45) |
376.81 (258.55 to 535.5) |
-0.75 (-0.79 - -0.72) |
|
Democratic Republic of Timor-Leste |
623.24 (450.78 to 837.72) |
497.74 (364.95 to 684.06) |
458.08 (330.31 to 628.73) |
-0.88 (-1 - -0.77) |
|
Democratic Republic of the Congo |
286.93 (166.27 to 472.5) |
293.09 (170.65 to 485.39) |
292.65 (170.34 to 480.72) |
0.09 (0.04 - 0.13) |
|
Democratic Socialist Republic of Sri Lanka |
383.14 (271.27 to 543.09) |
317.48 (217.81 to 460.65) |
315.4 (216.29 to 457.24) |
-0.55 (-0.61 - -0.48) |
|
Dominican Republic |
383.69 (264.08 to 552.59) |
324.83 (217.19 to 469.27) |
321.45 (214.39 to 467.73) |
-0.47 (-0.55 - -0.39) |
|
Eastern Republic of Uruguay |
188.6 (120.1 to 281.7) |
179.07 (112.88 to 270.11) |
178.13 (110.76 to 270.68) |
-0.1 (-0.15 - -0.05) |
|
Federal Democratic Republic of Ethiopia |
470.37 (336.77 to 637.18) |
451.83 (322.01 to 620.53) |
449.95 (320.99 to 617.8) |
0.01 (-0.05 - 0.07) |
|
Federal Democratic Republic of Nepal |
552.03 (384.72 to 780.48) |
508.19 (333.52 to 770.12) |
508.6 (328.23 to 774.66) |
0.21 (0.05 - 0.36) |
|
Federal Republic of Germany |
162.16 (106.46 to 239.24) |
149.59 (95.08 to 221.87) |
149.27 (94.84 to 224.8) |
-0.26 (-0.27 - -0.25) |
|
Federal Republic of Nigeria |
561.34 (404.48 to 780.75) |
512.28 (360.9 to 719.76) |
509.1 (359.62 to 717.61) |
-0.31 (-0.35 - -0.28) |
|
Federal Republic of Somalia |
334.93 (231.7 to 468.53) |
320.85 (220.78 to 451.18) |
317.46 (220.23 to 447.1) |
-0.19 (-0.22 - -0.16) |
|
Federated States of Micronesia |
365.89 (256.21 to 525.91) |
311.84 (210.12 to 456.2) |
309.05 (206.78 to 451.75) |
-0.54 (-0.55 - -0.53) |
|
Federative Republic of Brazil |
474.4 (328.15 to 674) |
409.81 (276.37 to 597.37) |
405.83 (271.87 to 592.83) |
-0.16 (-0.3 - -0.03) |
|
French Republic |
156.52 (104.03 to 230.38) |
144.92 (93.36 to 215.66) |
144.66 (93.27 to 218.01) |
-0.25 (-0.28 - -0.23) |
|
Gabonese Republic |
429.33 (277.71 to 633.89) |
372.3 (228.7 to 574.88) |
370.67 (227.85 to 579.39) |
-0.47 (-0.48 - -0.47) |
|
Georgia |
324.24 (224.94 to 470.23) |
295.98 (200.32 to 431.97) |
294.29 (200.13 to 429.63) |
-0.19 (-0.23 - -0.14) |
|
Grand Duchy of Luxembourg |
166.5 (109.61 to 245.3) |
151.89 (97.19 to 226.84) |
151.67 (97.26 to 226.7) |
-0.31 (-0.31 - -0.3) |
|
Greenland |
139.78 (89.8 to 207.33) |
133.74 (85.59 to 201.09) |
133.22 (84.71 to 201.28) |
-0.19 (-0.21 - -0.18) |
|
Grenada |
317.63 (215.37 to 458.71) |
264.19 (171.08 to 396.63) |
262.08 (169.55 to 391.87) |
-0.58 (-0.62 - -0.55) |
|
Guam |
312.52 (208.17 to 458.19) |
285.05 (184.33 to 421.89) |
284 (183.17 to 420.06) |
-0.33 (-0.35 - -0.3) |
|
Hashemite Kingdom of Jordan |
390.63 (275.13 to 546.13) |
315.57 (214.46 to 456.37) |
313.19 (212.65 to 453.22) |
-0.76 (-0.79 - -0.72) |
|
Hellenic Republic |
173.78 (114.77 to 253.72) |
157.92 (101.29 to 234.34) |
157.86 (101.21 to 232.78) |
-0.32 (-0.34 - -0.29) |
|
Hungary |
173.61 (121.65 to 248.19) |
153.09 (102.93 to 221.58) |
151.81 (102.13 to 222.14) |
-0.35 (-0.43 - -0.27) |
|
Independent State of Papua New Guinea |
453.46 (318.74 to 636.52) |
406.16 (281.1 to 581.71) |
402.62 (277.48 to 574.82) |
-0.41 (-0.49 - -0.32) |
|
Independent State of Samoa |
343.41 (234.25 to 498.66) |
300.67 (198.38 to 444.62) |
298.07 (196.44 to 439.95) |
-0.44 (-0.45 - -0.43) |
|
Ireland |
168.65 (111.08 to 247.24) |
153.23 (98.5 to 229.33) |
153.26 (98.52 to 227.88) |
-0.33 (-0.34 - -0.31) |
|
Islamic Republic of Afghanistan |
605.15 (434.37 to 831.42) |
558.21 (405.86 to 752.55) |
522.64 (379.08 to 721.99) |
-0.35 (-0.49 - -0.21) |
|
Islamic Republic of Iran |
528.86 (381.78 to 728.71) |
432.22 (308.87 to 596.57) |
448.43 (321.14 to 618.32) |
-0.65 (-0.71 - -0.58) |
|
Islamic Republic of Mauritania |
513.37 (348.17 to 751.72) |
447.66 (293.72 to 666.59) |
441.67 (290.49 to 659.86) |
-0.39 (-0.42 - -0.35) |
|
Islamic Republic of Pakistan |
629.92 (457.11 to 854.58) |
593.05 (427.41 to 805.73) |
589.4 (427.15 to 802.31) |
-0.36 (-0.42 - -0.29) |
|
Jamaica |
297.22 (195.9 to 436.6) |
261.69 (166.3 to 390.08) |
260.27 (165.63 to 391.1) |
-0.43 (-0.45 - -0.41) |
|
Japan |
161.67 (101.7 to 245.21) |
154.01 (95.83 to 238.24) |
154.13 (95.52 to 237.95) |
-0.14 (-0.15 - -0.12) |
|
Kingdom of Bahrain |
454.16 (322.52 to 626.61) |
352.51 (245.24 to 499.68) |
349.74 (243.37 to 495.33) |
-0.89 (-0.93 - -0.86) |
|
Kingdom of Belgium |
168.86 (112.12 to 249.57) |
154.85 (100.22 to 230.09) |
154.69 (101.14 to 231.26) |
-0.28 (-0.29 - -0.27) |
|
Kingdom of Bhutan |
399.63 (274.13 to 574.99) |
311.13 (202.7 to 464.57) |
311.02 (201.97 to 467.11) |
-0.88 (-0.93 - -0.83) |
|
Kingdom of Cambodia |
633.7 (464.47 to 855.73) |
439.14 (313.55 to 615.32) |
431.74 (311.64 to 605.47) |
-1.4 (-1.48 - -1.33) |
|
Kingdom of Denmark |
168.33 (109.94 to 247.89) |
158.29 (101.24 to 236.83) |
158 (101.52 to 237.3) |
-0.19 (-0.2 - -0.19) |
|
Kingdom of Eswatini |
498.78 (345.54 to 711.16) |
418.93 (280.69 to 618.71) |
414.1 (275.81 to 610.6) |
-0.45 (-0.51 - -0.4) |
|
Kingdom of Lesotho |
523.03 (359.47 to 738.75) |
447.93 (302.78 to 651.01) |
443.42 (300.49 to 652.38) |
-0.52 (-0.55 - -0.49) |
|
Kingdom of Morocco |
431.56 (299.36 to 613.62) |
373.15 (250.01 to 546.5) |
368.03 (246.97 to 542.14) |
-0.46 (-0.49 - -0.44) |
|
Kingdom of Norway |
160.84 (101.57 to 244.45) |
154.41 (96 to 234.8) |
154.96 (96.33 to 235.15) |
-0.12 (-0.13 - -0.11) |
|
Kingdom of Saudi Arabia |
858.14 (622.34 to 1140.97) |
535.37 (385.49 to 736.87) |
526.97 (378.58 to 721.31) |
-1.66 (-1.71 - -1.61) |
|
Kingdom of Spain |
287.4 (202.6 to 406.47) |
261.15 (182.66 to 371.08) |
260.22 (181.01 to 370.64) |
-0.19 (-0.26 - -0.13) |
|
Kingdom of Sweden |
120.14 (72.75 to 189.35) |
118.5 (71.59 to 187.98) |
118.21 (71.49 to 187.69) |
-0.05 (-0.06 - -0.04) |
|
Kingdom of Thailand |
387.81 (275.51 to 542.99) |
298.57 (205.73 to 432.84) |
295.41 (202.48 to 429.89) |
-0.95 (-1 - -0.9) |
|
Kingdom of -nga |
281.31 (185.92 to 418.2) |
244.4 (153.54 to 373.13) |
243.25 (152.61 to 373.43) |
-0.46 (-0.47 - -0.45) |
|
Kingdom of the Netherlands |
151.62 (97.35 to 227.01) |
141.48 (88.95 to 213.13) |
141.39 (88.55 to 213.28) |
-0.23 (-0.23 - -0.22) |
|
Kyrgyz Republic |
305.29 (213.18 to 435.39) |
277.26 (191 to 406.12) |
275.45 (190.22 to 401.43) |
-0.33 (-0.36 - -0.29) |
|
Lao People's Democratic Republic |
264.39 (187.87 to 371.68) |
225.94 (156.28 to 327.1) |
222.79 (152.72 to 322.37) |
-0.51 (-0.53 - -0.49) |
|
Lebanese Republic |
468.21 (334 to 650.83) |
372.09 (260.68 to 525.01) |
368.43 (260.39 to 524.65) |
-0.77 (-0.82 - -0.71) |
|
Malaysia |
408.01 (295.82 to 546.18) |
286.8 (205.1 to 396.78) |
283.46 (202.76 to 391.87) |
-1.19 (-1.24 - -1.14) |
|
Mongolia |
390.64 (275.75 to 549.68) |
329.52 (231.04 to 473.61) |
328.28 (229.19 to 473.31) |
-0.59 (-0.61 - -0.56) |
|
Montenegro |
161.99 (104.43 to 243.46) |
155.4 (98.89 to 230.23) |
154.32 (98.02 to 230.88) |
-0.21 (-0.24 - -0.19) |
|
New Zealand |
179.08 (112.97 to 264.94) |
167.78 (104 to 254.82) |
167.15 (103.69 to 253.08) |
-0.21 (-0.22 - -0.2) |
|
North Macedonia |
172.08 (113.7 to 254) |
157.65 (101.41 to 236.01) |
156.52 (100.65 to 237.35) |
-0.34 (-0.36 - -0.32) |
|
Northern Mariana Islands |
306.97 (205.13 to 446.1) |
282.16 (183.77 to 423.37) |
280.38 (183.91 to 420.14) |
-0.24 (-0.26 - -0.22) |
|
Palestine |
486.34 (348.85 to 671.59) |
368.87 (255.85 to 525.04) |
363.27 (252.79 to 515.84) |
-0.95 (-0.99 - -0.91) |
|
People's Democratic Republic of Algeria |
486.06 (345.42 to 675.22) |
389.62 (271.66 to 548.8) |
385.7 (271.26 to 540.36) |
-0.76 (-0.78 - -0.75) |
|
People's Republic of Bangladesh |
542.56 (391.75 to 746.03) |
440.65 (308.62 to 620.33) |
426.41 (296.39 to 602.94) |
-0.49 (-0.58 - -0.39) |
|
People's Republic of China |
297.23 (204.65 to 431.01) |
315.66 (202.29 to 485.22) |
323.86 (203.78 to 504.04) |
0.44 (0.28 - 0.6) |
|
Plurinational State of Bolivia |
493.88 (341.67 to 701.32) |
408.81 (276.33 to 595.22) |
405.15 (273.83 to 588.85) |
-0.64 (-0.66 - -0.62) |
|
Portuguese Republic |
177.7 (119.5 to 262.35) |
158.04 (101.92 to 237.91) |
157.62 (102.17 to 236.29) |
-0.39 (-0.41 - -0.36) |
|
Principality of Andorra |
159.84 (104.49 to 234.99) |
151.64 (97.23 to 228.03) |
151.43 (97 to 224.95) |
-0.17 (-0.17 - -0.16) |
|
Principality of Monaco |
161.5 (105.29 to 240.85) |
152.95 (98.22 to 230.53) |
152.66 (97.82 to 228.81) |
-0.19 (-0.19 - -0.18) |
|
Puer- Rico |
282.08 (182.47 to 418.08) |
247.78 (155.18 to 379.7) |
246.5 (153.39 to 374.34) |
-0.44 (-0.46 - -0.42) |
|
Republic of Albania |
180 (120.56 to 260.79) |
165 (107.81 to 243.73) |
164.22 (106.31 to 242.45) |
-0.35 (-0.37 - -0.32) |
|
Republic of Angola |
472.18 (316.88 to 686.31) |
404.1 (257.01 to 606.99) |
399.89 (252.49 to 613.42) |
-0.55 (-0.59 - -0.52) |
|
Republic of Armenia |
324.19 (224.01 to 467.55) |
286.67 (194.67 to 421.41) |
285.15 (193.43 to 419.16) |
-0.45 (-0.47 - -0.44) |
|
Republic of Austria |
167.08 (111.27 to 246.26) |
153.61 (98.37 to 230.15) |
153.67 (99.14 to 229.65) |
-0.28 (-0.3 - -0.26) |
|
Republic of Azerbaijan |
331.36 (228.75 to 480.61) |
296.22 (202.12 to 436.38) |
294.65 (201.97 to 428.68) |
-0.42 (-0.47 - -0.38) |
|
Republic of Belarus |
254.71 (172.31 to 368.82) |
232.86 (153.78 to 344.7) |
231.72 (151.4 to 341.78) |
-0.33 (-0.35 - -0.32) |
|
Republic of Benin |
358.08 (245.95 to 508.74) |
440.95 (311.26 to 613.23) |
433.73 (305.82 to 612.13) |
0.54 (0.41 - 0.68) |
|
Republic of Botswana |
529.38 (364.44 to 753.15) |
420.28 (283.74 to 615.73) |
416.59 (277.54 to 612.64) |
-0.82 (-0.85 - -0.8) |
|
Republic of Bulgaria |
161.9 (105.52 to 243.1) |
153.24 (97.3 to 230.14) |
152.37 (96.83 to 232.09) |
-0.19 (-0.2 - -0.18) |
|
Republic of Burundi |
239.6 (158.16 to 355.92) |
221.31 (143.69 to 332.77) |
226.41 (148.62 to 338.19) |
-0.26 (-0.29 - -0.23) |
|
Republic of Cabo Verde |
381.17 (263.9 to 539.84) |
320.06 (213.49 to 468.92) |
317.01 (212.29 to 469.04) |
-0.62 (-0.64 - -0.61) |
|
Republic of Cameroon |
363.66 (252.07 to 526.03) |
328.73 (221.93 to 482.12) |
325.28 (220.12 to 475.78) |
-0.41 (-0.45 - -0.37) |
|
Republic of Chad |
441.19 (302.39 to 624.76) |
446.04 (305.89 to 636.68) |
442.73 (301.62 to 630.24) |
0.23 (0.15 - 0.3) |
|
Republic of Chile |
224.11 (149.33 to 324.57) |
195.75 (126.34 to 284.54) |
194.74 (124.44 to 285.79) |
-0.45 (-0.46 - -0.44) |
|
Republic of Colombia |
418.52 (294.83 to 584.68) |
366.76 (242.43 to 541.65) |
363.49 (236.85 to 541.57) |
-0.42 (-0.48 - -0.37) |
|
Republic of Costa Rica |
363.18 (248.18 to 522.68) |
313.88 (205.84 to 461.88) |
310.48 (203.25 to 453.33) |
-0.5 (-0.51 - -0.49) |
|
Republic of Croatia |
157.06 (102.74 to 230.8) |
146.8 (95.04 to 217.72) |
146.29 (95.21 to 217.67) |
-0.17 (-0.22 - -0.12) |
|
Republic of Cuba |
369.93 (254.94 to 531.02) |
324.41 (218.13 to 473.25) |
321.32 (215.48 to 471.92) |
-0.43 (-0.45 - -0.42) |
|
Republic of Cyprus |
170.42 (112.56 to 249.32) |
153.66 (99.07 to 229.63) |
153.26 (98.62 to 230.63) |
-0.33 (-0.36 - -0.3) |
|
République de Côte d'Ivoire |
283.46 (184.1 to 433.74) |
414.4 (285.3 to 597.68) |
408.76 (282.28 to 584.18) |
0.62 (0.34 - 0.89) |
|
Republic of Djibouti |
408.73 (290.81 to 572.25) |
340.31 (238.85 to 486.54) |
333.53 (233.13 to 476.03) |
-0.66 (-0.71 - -0.61) |
|
Republic of Ecuador |
376.27 (251.76 to 550.19) |
330.25 (214.36 to 494.89) |
328.93 (213.13 to 492.37) |
-0.34 (-0.4 - -0.27) |
|
Republic of El Salvador |
498.22 (346.64 to 694.55) |
393.37 (267.92 to 569.29) |
389.13 (266 to 565.21) |
-0.79 (-0.85 - -0.74) |
|
Republic of Equa-rial Guinea |
705.01 (496.43 to 973.73) |
443.64 (295.29 to 643.28) |
438.9 (292.51 to 642.12) |
-1.75 (-1.84 - -1.65) |
|
Republic of Es-nia |
174.94 (117.69 to 255.82) |
159.4 (104.14 to 239.46) |
158.91 (104.23 to 236.38) |
-0.26 (-0.32 - -0.2) |
|
Republic of Fiji |
394.26 (276.26 to 558.4) |
351.3 (242.29 to 507.25) |
333.31 (228.73 to 484.02) |
-0.42 (-0.47 - -0.36) |
|
Republic of Finland |
167.58 (110.28 to 244.69) |
150.71 (97.35 to 224.33) |
150.65 (95.46 to 223.99) |
-0.35 (-0.38 - -0.33) |
|
Republic of Ghana |
317.4 (215.3 to 453.45) |
348.05 (236.66 to 500.34) |
342.18 (233.12 to 488.63) |
0.2 (0.05 - 0.36) |
|
Republic of Guatemala |
508.61 (357.26 to 711.07) |
417.06 (288.37 to 598.22) |
411.25 (285.71 to 586.03) |
-0.6 (-0.67 - -0.54) |
|
Republic of Guinea |
421.89 (297.2 to 590.61) |
430.34 (304.26 to 601.3) |
423.91 (297.88 to 591.91) |
-0.04 (-0.14 - 0.05) |
|
Republic of Guinea-Bissau |
425.62 (294.49 to 598.74) |
433.72 (306.72 to 614.39) |
417.5 (290.31 to 590.69) |
-0.12 (-0.25 - 0.02) |
|
Republic of Guyana |
325.93 (222.05 to 469.07) |
275.81 (182.36 to 408.9) |
271.19 (177.58 to 402.02) |
-0.55 (-0.57 - -0.53) |
|
Republic of Haiti |
377.27 (262.74 to 537.05) |
318.32 (218.58 to 459.64) |
315.76 (214.64 to 454.61) |
-0.56 (-0.58 - -0.55) |
|
Republic of Honduras |
406.31 (281.51 to 580.94) |
341.14 (227.71 to 495.74) |
336.82 (224.47 to 492.07) |
-0.61 (-0.63 - -0.59) |
|
Republic of Iceland |
169.35 (112.97 to 248.05) |
155.19 (100.57 to 231.51) |
155.29 (101.83 to 231.2) |
-0.28 (-0.3 - -0.27) |
|
Republic of India |
734.69 (527.49 to 1004.85) |
634.75 (421.32 to 915.18) |
632.16 (421.05 to 912.77) |
-0.31 (-0.39 - -0.23) |
|
Republic of Indonesia |
477.01 (335.76 to 663.32) |
403.69 (280.68 to 576.86) |
399.91 (277.83 to 573.7) |
-0.62 (-0.67 - -0.58) |
|
Republic of Iraq |
495.87 (353.18 to 682.31) |
385.14 (270.63 to 542.97) |
378.81 (265.19 to 534) |
-0.93 (-0.96 - -0.9) |
|
Republic of Italy |
262.56 (182.12 to 372.83) |
225.25 (153.33 to 323.14) |
224.76 (152.92 to 323.56) |
-0.5 (-0.57 - -0.43) |
|
Republic of Kazakhstan |
314.73 (220.29 to 451.9) |
282.13 (192.88 to 408.95) |
280.69 (192.74 to 406.92) |
-0.36 (-0.38 - -0.33) |
|
Republic of Kenya |
507.63 (362.31 to 701.01) |
411.73 (288.55 to 576.85) |
404.1 (283.72 to 566.45) |
-0.67 (-0.73 - -0.61) |
|
Republic of Kiribati |
367.88 (256.51 to 523.11) |
325.94 (220.45 to 476.99) |
323.66 (220.37 to 473.35) |
-0.41 (-0.42 - -0.4) |
|
Republic of Korea |
188.77 (125.24 to 273.49) |
159.43 (100.48 to 239.54) |
159.3 (101.03 to 242.84) |
-0.52 (-0.57 - -0.48) |
|
Republic of Latvia |
258.04 (169.79 to 378.4) |
239.26 (153.15 to 355.84) |
238.28 (153.7 to 353.24) |
-0.19 (-0.23 - -0.15) |
|
Republic of Liberia |
447.32 (323.6 to 622.57) |
370.55 (256 to 523.21) |
365.78 (251.41 to 518.91) |
-0.71 (-0.75 - -0.68) |
|
Republic of Lithuania |
248.71 (167.93 to 361.87) |
228.17 (149.86 to 335.67) |
226.96 (149.75 to 337.91) |
-0.31 (-0.31 - -0.3) |
|
Republic of Madagascar |
332.51 (229.38 to 473.8) |
293.17 (199.1 to 423.14) |
289.37 (196.37 to 416.98) |
-0.45 (-0.47 - -0.42) |
|
Republic of Malawi |
416.87 (303.72 to 561.51) |
327.33 (234.5 to 447.86) |
323.89 (231.37 to 446.84) |
-0.68 (-0.72 - -0.64) |
|
Republic of Maldives |
356.05 (253.05 to 491.77) |
265.45 (182.95 to 385.98) |
263.43 (182.77 to 383.91) |
-0.97 (-1.02 - -0.91) |
|
Republic of Mali |
451.82 (326.03 to 610.11) |
451.9 (326.49 to 620.83) |
443.58 (321.14 to 611.28) |
-0.14 (-0.27 - -0.02) |
|
Republic of Malta |
170.81 (112.81 to 251.64) |
155.63 (101.15 to 234.19) |
155.16 (99.67 to 232.63) |
-0.31 (-0.32 - -0.3) |
|
Republic of Mauritius |
357.16 (255.47 to 502.67) |
284.36 (198.54 to 406.56) |
281.53 (195.89 to 401.6) |
-0.72 (-0.77 - -0.67) |
|
Republic of Moldova |
316.57 (220.69 to 455.73) |
297.15 (200.73 to 429.61) |
294.89 (200.18 to 427.8) |
-0.18 (-0.24 - -0.12) |
|
Republic of Mozambique |
416.7 (296.29 to 572.58) |
398.05 (284.17 to 551.13) |
393.2 (283.56 to 542.9) |
-0.14 (-0.22 - -0.06) |
|
Republic of Namibia |
466.78 (323.47 to 671.57) |
389.4 (260.12 to 571.87) |
385.71 (255.88 to 568.52) |
-0.49 (-0.55 - -0.44) |
|
Republic of Nauru |
344.63 (236.25 to 498.52) |
307.83 (207.65 to 451.23) |
304.77 (203.36 to 448.8) |
-0.38 (-0.44 - -0.32) |
|
Republic of Nicaragua |
451.2 (316.05 to 634.45) |
366.15 (250.11 to 527.72) |
362.23 (246.06 to 521.9) |
-0.7 (-0.72 - -0.67) |
|
Republic of Niue |
336.43 (230.45 to 489.06) |
285.34 (184.66 to 426.21) |
283.75 (184.89 to 417.61) |
-0.56 (-0.57 - -0.55) |
|
Republic of Palau |
323.87 (221.26 to 467.87) |
282.09 (183.95 to 422.69) |
280.83 (184.13 to 419.28) |
-0.44 (-0.46 - -0.43) |
|
Republic of Panama |
448.2 (309.86 to 635.14) |
374.55 (255.47 to 541.75) |
369.5 (253.93 to 534.5) |
-0.59 (-0.61 - -0.57) |
|
Republic of Paraguay |
473.56 (327.29 to 674.98) |
390.48 (256.17 to 572.14) |
386.77 (252.45 to 565.6) |
-0.6 (-0.66 - -0.54) |
|
Republic of Peru |
547.22 (381.27 to 770.7) |
437.58 (296.29 to 637.97) |
433.66 (292.31 to 626.48) |
-0.92 (-0.98 - -0.86) |
|
Republic of Poland |
174.97 (112.4 to 264.65) |
167.47 (105.73 to 254.91) |
166.73 (106.57 to 253.92) |
-0.17 (-0.18 - -0.16) |
|
Republic of Rwanda |
310.66 (214 to 441.93) |
258.24 (172.29 to 381.24) |
253.89 (167.21 to 375.8) |
-0.72 (-0.75 - -0.69) |
|
Republic of San Marino |
161.05 (105.76 to 239.93) |
152.76 (96.91 to 227.15) |
152.73 (97.51 to 227.04) |
-0.17 (-0.19 - -0.16) |
|
Republic of Senegal |
502.3 (362.97 to 685.4) |
427.48 (307.14 to 596.61) |
408.12 (294.2 to 575.89) |
-0.5 (-0.55 - -0.45) |
|
Republic of Serbia |
170.26 (111.08 to 253.46) |
157.16 (100.46 to 235.42) |
156.22 (101.14 to 236.35) |
-0.33 (-0.35 - -0.31) |
|
Republic of Seychelles |
369.48 (265.24 to 522.27) |
297.12 (207.04 to 426.42) |
294.36 (204.04 to 419.74) |
-0.71 (-0.73 - -0.69) |
|
Republic of Sierra Leone |
404.2 (285.88 to 569.66) |
364.02 (251.77 to 521.57) |
357.45 (247.36 to 511.61) |
-0.4 (-0.48 - -0.31) |
|
Republic of Singapore |
200.14 (132.64 to 295.43) |
182.4 (117.07 to 269.57) |
182.52 (119.33 to 270.56) |
-0.3 (-0.32 - -0.27) |
|
Republic of Slovenia |
171.43 (108.48 to 260.78) |
163.6 (101.25 to 251.87) |
163.25 (102.51 to 250.27) |
-0.12 (-0.18 - -0.07) |
|
Republic of South Africa |
546.16 (349.13 to 823.34) |
510.13 (313.38 to 793.27) |
500.1 (308.7 to 778.18) |
0.01 (-0.09 - 0.12) |
|
Republic of South Sudan |
493.55 (352.71 to 676.45) |
400.77 (285.58 to 553.91) |
395.92 (282.13 to 554.64) |
-0.72 (-0.76 - -0.68) |
|
Republic of Sudan |
581.74 (421.48 to 794.43) |
433.88 (312.12 to 600.07) |
412.76 (293.36 to 575.62) |
-1.04 (-1.11 - -0.98) |
|
Republic of Suriname |
363.34 (250.92 to 520.85) |
312.92 (209.91 to 451.47) |
309.92 (210.25 to 448.16) |
-0.56 (-0.58 - -0.53) |
|
Republic of Tajikistan |
344.31 (240.43 to 490.72) |
316.32 (219.44 to 458.61) |
314.52 (218.66 to 454.18) |
-0.3 (-0.35 - -0.25) |
|
Republic of Trinidad and -bago |
290.32 (190.41 to 429.71) |
247.76 (154.67 to 376.1) |
246.31 (155.01 to 376.04) |
-0.58 (-0.62 - -0.55) |
|
Republic of Tunisia |
460.09 (332.38 to 634.24) |
336.52 (233.88 to 478.97) |
331.61 (231.65 to 474.24) |
-1 (-1.1 - -0.9) |
|
Republic of Turkey |
344.48 (241.97 to 481.33) |
304.02 (197.79 to 458.82) |
300.8 (195.82 to 452.1) |
-0.48 (-0.54 - -0.42) |
|
Republic of Uganda |
272.82 (187.42 to 387.49) |
271.52 (184.05 to 397.16) |
269.07 (181.59 to 389.68) |
0.01 (-0.05 - 0.07) |
|
Republic of Uzbekistan |
336.76 (234.17 to 481.74) |
300.51 (204.73 to 438.65) |
298.62 (205.26 to 435.98) |
-0.43 (-0.45 - -0.4) |
|
Republic of Vanuatu |
299.86 (201.29 to 440.03) |
274.77 (177.01 to 415.36) |
273.39 (175.59 to 408.87) |
-0.29 (-0.31 - -0.27) |
|
Republic of Yemen |
405.8 (289.25 to 563) |
416.57 (298.55 to 577.74) |
408.93 (291.5 to 566.12) |
-0.16 (-0.3 - -0.01) |
|
Republic of Zambia |
357.98 (253.65 to 502.19) |
302.55 (210.87 to 427.83) |
298.53 (206.24 to 428.77) |
-0.5 (-0.53 - -0.47) |
|
Republic of Zimbabwe |
433.13 (306.12 to 606.69) |
382.42 (264.67 to 553.18) |
381.42 (262.86 to 547.51) |
-0.32 (-0.4 - -0.25) |
|
Republic of the Congo |
431.29 (275.92 to 646.03) |
383.25 (236.08 to 603.66) |
382.09 (233.82 to 592) |
-0.3 (-0.35 - -0.24) |
|
Republic of the Gambia |
441.01 (311.33 to 612.37) |
404.12 (280.95 to 576.12) |
397.59 (274.01 to 563.98) |
-0.23 (-0.29 - -0.16) |
|
Republic of the Marshall Islands |
364.17 (253.25 to 523.15) |
303.09 (201.82 to 447.54) |
300.21 (201.77 to 445.72) |
-0.61 (-0.62 - -0.6) |
|
Republic of the Niger |
495.41 (341.43 to 705.92) |
524.94 (366.52 to 744.06) |
553.78 (384.55 to 797.49) |
0.26 (0.19 - 0.33) |
|
Republic of the Philippines |
491.39 (328.89 to 717.85) |
454.4 (298.91 to 676.09) |
450.51 (295.89 to 673.48) |
-0.24 (-0.26 - -0.21) |
|
Republic of the Union of Myanmar |
530.49 (381.64 to 708.72) |
392.17 (281.44 to 542.13) |
384.91 (275.43 to 530.83) |
-1.21 (-1.3 - -1.11) |
|
Romania |
173.38 (114.03 to 257.06) |
160.7 (103.12 to 238.94) |
160.17 (102.95 to 241.75) |
-0.29 (-0.3 - -0.27) |
|
Russian Federation |
340.2 (220.37 to 508.16) |
350.61 (214.55 to 552.01) |
345.3 (210.9 to 542.12) |
0.45 (0.31 - 0.59) |
|
Saint Kitts and Nevis |
305.8 (206.5 to 441.83) |
258.36 (163.28 to 385.25) |
256.56 (164.33 to 380.98) |
-0.55 (-0.58 - -0.51) |
|
Saint Lucia |
304.92 (204.28 to 447.14) |
258.26 (165.58 to 389.6) |
256.7 (163.03 to 387.33) |
-0.54 (-0.57 - -0.5) |
|
Saint Vincent and the Grenadines |
313.94 (213.29 to 459.09) |
268.08 (173.65 to 396.09) |
265.72 (171.88 to 391.13) |
-0.52 (-0.54 - -0.5) |
|
Slovak Republic |
153.77 (104.8 to 222.27) |
141.21 (93.18 to 206.18) |
141.08 (93.39 to 207.34) |
-0.2 (-0.25 - -0.14) |
|
Socialist Republic of Viet Nam |
396.59 (285.37 to 540.47) |
293.35 (209.46 to 406.09) |
292.73 (210.46 to 407.63) |
-1.06 (-1.09 - -1.04) |
|
Solomon Islands |
383 (267.28 to 546.07) |
336.35 (228.31 to 489.87) |
333.04 (227.81 to 486.37) |
-0.43 (-0.45 - -0.41) |
|
State of Eritrea |
523.4 (372.03 to 718.94) |
426.12 (304.08 to 592.92) |
416.84 (296.64 to 576.41) |
-0.69 (-0.73 - -0.64) |
|
State of Israel |
169.61 (112.67 to 248.94) |
157.55 (101.53 to 233.65) |
157.26 (101.3 to 235.35) |
-0.24 (-0.26 - -0.23) |
|
State of Kuwait |
403.27 (283.3 to 567.51) |
336.89 (231.52 to 482.8) |
335.15 (230.14 to 482.05) |
-0.64 (-0.66 - -0.61) |
|
State of Libya |
513.12 (366.77 to 708.54) |
395.14 (279.21 to 548.57) |
393.8 (278.17 to 551.28) |
-0.88 (-0.94 - -0.81) |
|
State of Qatar |
464.38 (332.1 to 644.93) |
351.98 (245.91 to 496.33) |
348.37 (241.73 to 494.07) |
-0.96 (-0.98 - -0.93) |
|
Sultanate of Oman |
577.44 (410.72 to 796.79) |
528.73 (375.43 to 740.01) |
524.27 (367.85 to 737.39) |
-0.42 (-0.48 - -0.36) |
|
Swiss Confederation |
158.31 (103.48 to 234.65) |
150.19 (96.04 to 225.09) |
149.93 (95.48 to 226.21) |
-0.18 (-0.19 - -0.17) |
|
Syrian Arab Republic |
495.18 (359.2 to 673.03) |
379.26 (267.07 to 525.14) |
374.35 (265.16 to 522.64) |
-0.91 (-0.99 - -0.82) |
|
Taiwan (Province of China) |
182.59 (97.19 to 315) |
174.78 (91.41 to 309.05) |
174.59 (91.8 to 307.37) |
-0.14 (-0.15 - -0.14) |
|
-golese Republic |
384.58 (267.57 to 545.71) |
399.88 (276.99 to 567.98) |
395.74 (274.6 to 560.37) |
0.01 (-0.08 - 0.1) |
|
-kelau |
359.12 (247.23 to 512.95) |
298.48 (196.97 to 443.8) |
295.66 (194.13 to 432.82) |
-0.62 (-0.63 - -0.61) |
|
Turkmenistan |
371.94 (257.26 to 535.78) |
322.2 (218.58 to 473.47) |
320.23 (220.6 to 462.99) |
-0.54 (-0.61 - -0.46) |
|
Tuvalu |
380.04 (263.89 to 543.06) |
312.81 (210.78 to 457.29) |
309.59 (208.77 to 452.53) |
-0.61 (-0.64 - -0.59) |
|
Ukraine |
255.87 (174.61 to 371.03) |
241.73 (162.09 to 353.03) |
240.82 (161.16 to 355.01) |
-0.16 (-0.19 - -0.14) |
|
Union of the Comoros |
482.42 (330.78 to 687.8) |
410.58 (272.25 to 602.69) |
405.14 (267.99 to 601.24) |
-0.5 (-0.54 - -0.47) |
|
United Arab Emirates |
439.91 (312.81 to 613.17) |
338.46 (236.52 to 480.8) |
335.47 (234.26 to 481.78) |
-0.81 (-0.87 - -0.75) |
|
United Kingdom of Great Britain and Northern Ireland |
182.3 (118.51 to 269.18) |
169.6 (107.84 to 254.67) |
169.11 (107.85 to 253.66) |
-0.28 (-0.29 - -0.26) |
|
United Mexican States |
378.24 (269.38 to 525.27) |
348.51 (230.2 to 514.13) |
328.7 (222.15 to 479.52) |
-0.26 (-0.36 - -0.17) |
|
United Republic of Tanzania |
482.6 (348.99 to 661.41) |
411.21 (293.43 to 570.02) |
402.18 (289.01 to 559.81) |
-0.57 (-0.65 - -0.49) |
|
United States Virgin Islands |
288.8 (190.25 to 425.95) |
255.34 (162.06 to 384.69) |
253.76 (159.19 to 380.41) |
-0.4 (-0.41 - -0.39) |
|
United States of America |
133.41 (84.62 to 202.48) |
145.39 (88.98 to 228.77) |
135.02 (84.34 to 208.14) |
0.35 (0.24 - 0.47) |
Supplementary Table 6 BVI Prevalence EAPC Across All Ages in 204 Countries and Territories for the Years 1990, 2019 and 2021
|
ASR_1990 |
ASR_2019 |
ASR_2021 |
EAPC_CI_1990-2021 |
|
|
American Samoa |
13165.55 (10765.04 to 16190.59) |
12948.3 (10522.81 to 16039.1) |
12942.51 (10561.86 to 16097.43) |
-0.05 (-0.06 - -0.05) |
|
Antigua and Barbuda |
13346 (10686.07 to 16692.45) |
13063.83 (10402.34 to 16414.13) |
13041.55 (10384.71 to 16402.2) |
-0.07 (-0.08 - -0.07) |
|
Arab Republic of Egypt |
13563.27 (12105.64 to 15277.75) |
14847.31 (12331.43 to 18191.66) |
14810.31 (12310.28 to 18006.17) |
0.3 (0.22 - 0.39) |
|
Argentine Republic |
9348.3 (7648.03 to 11700.04) |
9189.2 (7469.95 to 11349.4) |
9189.99 (7476.28 to 11541.22) |
-0.05 (-0.06 - -0.04) |
|
Australia |
8050.68 (6388.59 to 10411.91) |
8031.42 (6383.87 to 10333.74) |
8008.07 (6369.84 to 10216.91) |
0 (-0.01 - 0.01) |
|
Barbados |
12278.59 (9551.88 to 15699.61) |
12106.02 (9373.95 to 15519.06) |
12094.4 (9431.88 to 15551.61) |
-0.04 (-0.04 - -0.03) |
|
Belize |
13274.97 (10742.6 to 16516.29) |
13110.47 (10536.46 to 16319.88) |
13090.96 (10460.53 to 16245.72) |
-0.04 (-0.04 - -0.03) |
|
Bermuda |
13314.13 (10624.12 to 16648.03) |
13034.4 (10394.64 to 16499.54) |
13006.47 (10387.55 to 16341.78) |
-0.06 (-0.07 - -0.06) |
|
Bolivarian Republic of Venezuela |
14317.38 (11753.03 to 17674.61) |
14117.63 (11412.56 to 17469.28) |
14143.57 (11520.29 to 17540.55) |
-0.04 (-0.04 - -0.03) |
|
Bosnia and Herzegovina |
12832.39 (10105.06 to 16328.79) |
12672.19 (10023.15 to 16025.3) |
12688.68 (10048.19 to 16048.95) |
0.02 (-0.03 - 0.07) |
|
Brunei Darussalam |
8043.1 (6381.14 to 10375.58) |
7963.04 (6302.17 to 10162.32) |
7941.05 (6307.06 to 10313.14) |
-0.03 (-0.03 - -0.02) |
|
Burkina Faso |
8785.13 (6999.86 to 10933.08) |
9943.69 (8236.97 to 12049.87) |
9875.77 (8229.24 to 11932.79) |
0.47 (0.38 - 0.56) |
|
Canada |
6696.54 (5191.71 to 8669.68) |
6682.37 (5164.85 to 8743.11) |
6643.33 (5127.05 to 8677.37) |
-0.02 (-0.02 - -0.01) |
|
Central African Republic |
19434.43 (15006.98 to 24944.48) |
19392.79 (14900.52 to 25305.7) |
19466.98 (15080.52 to 25009.18) |
0.01 (0 - 0.02) |
|
Commonwealth of Dominica |
13473.98 (10832.32 to 16744.57) |
12909.01 (10324.38 to 16187.6) |
12892.49 (10296.91 to 16186.69) |
-0.15 (-0.16 - -0.14) |
|
Commonwealth of the Bahamas |
13277.52 (10628.26 to 16584.91) |
13063.54 (10377.2 to 16432.25) |
13072.26 (10394.29 to 16456.69) |
-0.05 (-0.05 - -0.04) |
|
Cook Islands |
13389.32 (11036.84 to 16514.43) |
13026.58 (10593.27 to 15986.32) |
13000.72 (10618.27 to 16059.07) |
-0.08 (-0.09 - -0.07) |
|
Czech Republic |
6920.34 (5698.15 to 8456.1) |
6763.04 (5592.53 to 8354.37) |
6778.88 (5598.58 to 8313.74) |
0 (-0.05 - 0.04) |
|
Democratic People's Republic of Korea |
13740.97 (10743.72 to 17755.87) |
13572.99 (10554.77 to 17576.16) |
13581.95 (10463.38 to 17574.5) |
-0.04 (-0.04 - -0.03) |
|
Democratic Republic of Sao -me and Principe |
15186.28 (12305.43 to 19026.4) |
14723 (11890.6 to 18462.2) |
14727.16 (11793.03 to 18447.68) |
-0.11 (-0.12 - -0.1) |
|
Democratic Republic of Timor-Leste |
12219.31 (10666.86 to 14170.31) |
11704.01 (10083.36 to 13735.81) |
11526.11 (10016.55 to 13413.86) |
-0.17 (-0.2 - -0.14) |
|
Democratic Republic of the Congo |
19345.98 (15103.64 to 24950.41) |
19220.65 (14925.73 to 24812.71) |
19250.22 (14992.15 to 24733.33) |
-0.01 (-0.02 - -0.01) |
|
Democratic Socialist Republic of Sri Lanka |
12093.42 (10360.81 to 14336.48) |
11797.21 (10015.77 to 14055.05) |
11800.86 (10046.82 to 14011.81) |
0.03 (0 - 0.07) |
|
Dominican Republic |
14203.21 (11644.79 to 17442.72) |
13807.43 (11240.26 to 17111.67) |
13785.25 (11182.06 to 16947.09) |
0.11 (-0.01 - 0.24) |
|
Eastern Republic of Uruguay |
9041.33 (7361.31 to 11376.16) |
8921.27 (7206.14 to 11059.77) |
8919.14 (7164.19 to 11268.92) |
0.13 (0.03 - 0.23) |
|
Federal Democratic Republic of Ethiopia |
13543.64 (11110.54 to 16593.18) |
13587.3 (11082.26 to 16648.59) |
13611.63 (11122.69 to 16608.74) |
0.27 (0.13 - 0.41) |
|
Federal Democratic Republic of Nepal |
20515.7 (16427.15 to 25498.41) |
24934.19 (21890.62 to 27442.55) |
25663.58 (21476.47 to 29336.61) |
1.71 (1.39 - 2.04) |
|
Federal Republic of Germany |
7650.97 (6112.25 to 9604.58) |
7449.2 (6020.86 to 9339.84) |
7441.07 (5961.62 to 9316.03) |
-0.09 (-0.1 - -0.09) |
|
Federal Republic of Nigeria |
16960.68 (13833.81 to 21434.78) |
16947.22 (13782.12 to 21389.27) |
16928.33 (13815.68 to 21337.01) |
0 (-0.02 - 0.01) |
|
Federal Republic of Somalia |
12075.94 (9702.26 to 15031.7) |
12085.72 (9721.96 to 15089.42) |
12071.53 (9677.74 to 15051.03) |
-0.01 (-0.02 - 0) |
|
Federated States of Micronesia |
13404.88 (11077.27 to 16554.72) |
13180.45 (10712.14 to 16318.52) |
13124.39 (10668.32 to 16201.51) |
-0.06 (-0.07 - -0.06) |
|
Federative Republic of Brazil |
17489.78 (14238.21 to 21646.26) |
17202.64 (13961.61 to 21336.82) |
17223.33 (14008.89 to 21376.69) |
0.21 (0.08 - 0.33) |
|
French Republic |
7295.35 (5783.93 to 9177.75) |
7166.34 (5708.54 to 9048.56) |
7179.59 (5679.63 to 9073.33) |
-0.06 (-0.06 - -0.05) |
|
Gabonese Republic |
20273.16 (16076.85 to 25782.48) |
19920.19 (15811.88 to 25246.97) |
20017.17 (15701.41 to 25429.54) |
-0.03 (-0.04 - -0.03) |
|
Georgia |
12775.55 (11403.14 to 14211.61) |
11864.53 (9730.18 to 14334.92) |
11854.77 (9782.02 to 14348.82) |
0.04 (-0.09 - 0.18) |
|
Grand Duchy of Luxembourg |
7658.49 (6132.69 to 9622.52) |
7450.45 (6008.54 to 9290.66) |
7467.49 (5994.4 to 9366.08) |
-0.09 (-0.1 - -0.08) |
|
Greenland |
6731 (5235.15 to 8674.36) |
6689.38 (5157.87 to 8756.71) |
6688.95 (5173.19 to 8651.07) |
-0.04 (-0.05 - -0.04) |
|
Grenada |
13510.3 (10911.58 to 16821.61) |
13002.52 (10372.16 to 16293.19) |
12974.9 (10359.37 to 16295.64) |
-0.13 (-0.13 - -0.12) |
|
Guam |
13074.04 (10711.09 to 16170.53) |
12949.97 (10572.44 to 16059.47) |
12964.58 (10501.36 to 16065.36) |
-0.04 (-0.05 - -0.03) |
|
Hashemite Kingdom of Jordan |
13052.16 (10811.88 to 15897.81) |
12667.09 (10388.16 to 15489.76) |
12627.53 (10392.92 to 15560.92) |
-0.12 (-0.12 - -0.11) |
|
Hellenic Republic |
7686.64 (6206.65 to 9549.67) |
7547.84 (6063.5 to 9491.45) |
7571.8 (6080.9 to 9449.15) |
-0.06 (-0.07 - -0.05) |
|
Hungary |
6667.26 (5518.53 to 8163.01) |
6540.63 (5426.18 to 7996.3) |
6522.92 (5396.68 to 7915.71) |
0.1 (-0.01 - 0.22) |
|
Independent State of Papua New Guinea |
14442.83 (12154.03 to 17391.93) |
14216.73 (11972.9 to 17124.05) |
14201.18 (11857.49 to 17285.04) |
-0.07 (-0.1 - -0.04) |
|
Independent State of Samoa |
13320.67 (10885.78 to 16475.38) |
13119.19 (10621.71 to 16246.72) |
13060.82 (10602.47 to 16116.03) |
-0.06 (-0.07 - -0.06) |
|
Ireland |
7633.48 (6144.08 to 9506.15) |
7449.08 (5997.16 to 9336.32) |
7483.6 (6058 to 9342.2) |
-0.08 (-0.08 - -0.07) |
|
Islamic Republic of Afghanistan |
14563.98 (12418.28 to 17371.11) |
14462.1 (12270.01 to 17263.08) |
14302.13 (12127.45 to 17043.4) |
-0.03 (-0.06 - 0) |
|
Islamic Republic of Iran |
12544.89 (10813.33 to 14845.14) |
12565.13 (10607.58 to 14961.53) |
12691.46 (10732.96 to 15108.03) |
0.05 (0 - 0.1) |
|
Islamic Republic of Mauritania |
21168.84 (16899.03 to 26665.25) |
20885.81 (16546.53 to 26393.87) |
20821.64 (16517.94 to 26162.07) |
0.18 (0.05 - 0.3) |
|
Islamic Republic of Pakistan |
14064.09 (12007.88 to 16826.14) |
13880.23 (11839.15 to 16838.24) |
13864.54 (11823.24 to 16696.95) |
0.11 (0.02 - 0.2) |
|
Jamaica |
13283 (10726.4 to 16634.78) |
13023.39 (10383.23 to 16232.66) |
13039.69 (10402.6 to 16493.16) |
-0.07 (-0.07 - -0.06) |
|
Japan |
8463.37 (6585.21 to 10924.61) |
8370.49 (6500.92 to 10879.78) |
8394.55 (6540.05 to 10943.11) |
-0.03 (-0.03 - -0.02) |
|
Kingdom of Bahrain |
13498.2 (11322.22 to 16238.48) |
12910.08 (10767.21 to 15588.43) |
12884.71 (10758.7 to 15577.62) |
-0.17 (-0.17 - -0.16) |
|
Kingdom of Belgium |
7673.98 (6174.02 to 9534.98) |
7487.1 (6026.88 to 9358.71) |
7524.67 (6062.02 to 9442.38) |
-0.07 (-0.08 - -0.07) |
|
Kingdom of Bhutan |
15369.77 (12227.72 to 19647.54) |
14814.95 (11552.57 to 19032.63) |
14774.51 (11544.86 to 19031.63) |
-0.13 (-0.16 - -0.11) |
|
Kingdom of Cambodia |
12907.11 (11298.58 to 14794.1) |
11824.37 (10277.91 to 13838.53) |
11792.04 (10241.97 to 13789.51) |
-0.36 (-0.39 - -0.32) |
|
Kingdom of Denmark |
7735.77 (6240.79 to 9685.52) |
7583.68 (6159.23 to 9478.63) |
7596.53 (6128.94 to 9462.55) |
-0.06 (-0.06 - -0.05) |
|
Kingdom of Eswatini |
19734.03 (15439.85 to 25175.78) |
19179.63 (15062.4 to 24448.72) |
19228.6 (14872.62 to 24472.64) |
0.25 (0.06 - 0.44) |
|
Kingdom of Lesotho |
20100.6 (15644.33 to 25277.37) |
19637.56 (15382.64 to 25099.68) |
19682.72 (15483.45 to 24921.98) |
-0.07 (-0.07 - -0.07) |
|
Kingdom of Morocco |
16420.48 (13341.05 to 20439.44) |
16258.51 (13159.7 to 20255.02) |
16204.56 (13229.28 to 20167.06) |
0.02 (-0.02 - 0.05) |
|
Kingdom of Norway |
8231.43 (6586.67 to 10323.5) |
8097.34 (6515.07 to 10204.87) |
8129.99 (6522.14 to 10232.39) |
-0.05 (-0.05 - -0.04) |
|
Kingdom of Saudi Arabia |
15610.74 (13564.3 to 18328.23) |
14207.22 (12143.12 to 16734.63) |
14166.79 (12081.29 to 16874.45) |
-0.34 (-0.35 - -0.32) |
|
Kingdom of Spain |
9188.97 (7704.7 to 11136.78) |
9052.76 (7630.57 to 10904.68) |
9064.96 (7643.96 to 10859.49) |
0.2 (0.07 - 0.33) |
|
Kingdom of Sweden |
7301.31 (5619.73 to 9553.27) |
7221.16 (5590.98 to 9374.76) |
7245.61 (5602.55 to 9398.8) |
-0.03 (-0.03 - -0.02) |
|
Kingdom of Thailand |
11603.06 (9996.69 to 13634.5) |
11037.62 (9420.53 to 13112.85) |
11004.01 (9359.25 to 13032.14) |
-0.19 (-0.2 - -0.18) |
|
Kingdom of -nga |
12646.62 (10147.11 to 15970.82) |
12465.43 (9920.31 to 15774.92) |
12445.55 (9982.46 to 15634.38) |
-0.05 (-0.06 - -0.05) |
|
Kingdom of the Netherlands |
7434 (5877.42 to 9371.55) |
7282.43 (5842.92 to 9121.36) |
7306.12 (5846.82 to 9195.26) |
-0.06 (-0.07 - -0.06) |
|
Kyrgyz Republic |
11154.31 (9168.17 to 13624.89) |
10942.99 (8978.52 to 13449.15) |
10962.62 (8943.87 to 13456.07) |
-0.06 (-0.07 - -0.05) |
|
Lao People's Democratic Republic |
8835.23 (7433.95 to 10611.78) |
8554.14 (7183.7 to 10306.5) |
8548.16 (7133.28 to 10256.33) |
-0.01 (-0.07 - 0.05) |
|
Lebanese Republic |
12346.32 (11158.15 to 13688.79) |
12663.22 (10665.35 to 15209.22) |
12616.1 (10623.02 to 15143.83) |
0.1 (0.02 - 0.18) |
|
Malaysia |
8561.79 (7595.43 to 9616.84) |
7736.57 (6823.35 to 8889.97) |
7705.07 (6754.8 to 8827.8) |
-0.24 (-0.32 - -0.17) |
|
Mongolia |
11847.39 (9907.98 to 14315.62) |
11548.2 (9505.08 to 14021.49) |
11594.5 (9646.34 to 14002.93) |
-0.08 (-0.08 - -0.07) |
|
Montenegro |
7707.4 (6303.02 to 9582.87) |
7628.66 (6176.48 to 9450.47) |
7618.94 (6141.89 to 9511.11) |
-0.06 (-0.06 - -0.05) |
|
New Zealand |
8894.71 (7037.53 to 11295.81) |
8799.64 (6933.78 to 11283.49) |
8779.21 (6956.88 to 11199.76) |
-0.03 (-0.04 - -0.02) |
|
North Macedonia |
7758.13 (6255.02 to 9651.87) |
7648.69 (6244.2 to 9462.82) |
7632.69 (6195.4 to 9480.13) |
-0.06 (-0.07 - -0.05) |
|
Northern Mariana Islands |
12962.63 (10527.76 to 15970.83) |
12895.65 (10491.58 to 15932.64) |
12889.85 (10543.74 to 15938.94) |
-0.01 (-0.02 - 0) |
|
Palestine |
13956.48 (11739.5 to 16763.35) |
13268.96 (11003.58 to 16091.99) |
13263.97 (11033.35 to 16176.65) |
-0.17 (-0.18 - -0.17) |
|
People's Democratic Republic of Algeria |
13840.97 (11721.05 to 16654.9) |
13358.45 (11151.47 to 16105.35) |
13348.02 (11143.08 to 16096.17) |
-0.13 (-0.13 - -0.12) |
|
People's Republic of Bangladesh |
14770.66 (12455.28 to 18071.58) |
14579.25 (12047.06 to 18097.85) |
14500.98 (11973.92 to 17846.57) |
0.37 (0.15 - 0.59) |
|
People's Republic of China |
12068.81 (9799.7 to 14928.08) |
15939.52 (12508.31 to 20194.26) |
17428.86 (13625.18 to 22177.12) |
1.46 (1.3 - 1.61) |
|
Plurinational State of Bolivia |
16783.07 (13667.48 to 20892.85) |
16359.24 (13264.98 to 20369.57) |
16372.16 (13249.4 to 20320.14) |
-0.09 (-0.09 - -0.08) |
|
Portuguese Republic |
7739.45 (6244.41 to 9622.82) |
7575.61 (6107.26 to 9410.8) |
7593.76 (6102.83 to 9433.2) |
-0.07 (-0.08 - -0.07) |
|
Principality of Andorra |
7466 (6019.76 to 9309.02) |
7400.31 (5969.29 to 9212.86) |
7422.98 (6027.66 to 9192.25) |
-0.02 (-0.03 - -0.01) |
|
Principality of Monaco |
7579.09 (6091.96 to 9415.37) |
7452.18 (6006.23 to 9342.29) |
7467.19 (6026.17 to 9245) |
-0.06 (-0.06 - -0.05) |
|
Puer- Rico |
13361.09 (10706.3 to 16612.29) |
13096.67 (10430.68 to 16501.5) |
13093.65 (10408.28 to 16501.32) |
-0.06 (-0.06 - -0.05) |
|
Republic of Albania |
7804.09 (6321.31 to 9692.06) |
7685.61 (6216.8 to 9507.71) |
7698.84 (6236.25 to 9509.95) |
-0.07 (-0.07 - -0.06) |
|
Republic of Angola |
20432.29 (16296.52 to 25920.65) |
20167.88 (15997.04 to 25451.19) |
20177.13 (15994.63 to 25605.69) |
-0.04 (-0.04 - -0.03) |
|
Republic of Armenia |
11614.93 (9703.64 to 14096.12) |
11375.45 (9406.98 to 13821.87) |
11381.13 (9444.72 to 13646.85) |
-0.07 (-0.08 - -0.07) |
|
Republic of Austria |
7704.04 (6213.86 to 9629.25) |
7480.19 (6044.54 to 9362.42) |
7521.19 (6061.18 to 9435.21) |
-0.09 (-0.1 - -0.09) |
|
Republic of Azerbaijan |
11639.58 (9730.67 to 14225.48) |
11416.11 (9448.21 to 13887.18) |
11410.73 (9476.96 to 13748.93) |
-0.07 (-0.08 - -0.07) |
|
Republic of Belarus |
10625.46 (8741.22 to 13066.98) |
10508.33 (8623.84 to 12992.4) |
10489.64 (8604.53 to 13044.39) |
-0.05 (-0.05 - -0.04) |
|
Republic of Benin |
14099.49 (11129.35 to 18041.97) |
14971.88 (12098.78 to 18798.74) |
14978.15 (12038.81 to 18692.48) |
0.17 (0.15 - 0.2) |
|
Republic of Botswana |
19942.49 (15707.39 to 25254.34) |
19336.93 (15121.87 to 24641.03) |
19386.83 (15069.58 to 24726.93) |
-0.09 (-0.1 - -0.09) |
|
Republic of Bulgaria |
7710.72 (6237.82 to 9655.19) |
7646.61 (6208.11 to 9492.96) |
7641.03 (6278.82 to 9465.43) |
-0.04 (-0.04 - -0.03) |
|
Republic of Burundi |
11678.45 (9153.73 to 14569.53) |
11432.44 (8970.24 to 14464.52) |
11494.26 (9006.33 to 14472.16) |
-0.08 (-0.09 - -0.07) |
|
Republic of Cabo Verde |
14565.18 (11551.38 to 18431.94) |
14122.62 (11273.16 to 17970.69) |
14088.67 (11197.05 to 17802.06) |
-0.11 (-0.11 - -0.1) |
|
Republic of Cameroon |
14412.36 (11477.32 to 18221.45) |
14165.24 (11193.9 to 18134.39) |
14151.9 (11157.26 to 17890.09) |
-0.08 (-0.09 - -0.06) |
|
Republic of Chad |
17647.08 (13952.36 to 22634.77) |
17775.96 (14178.47 to 22396.87) |
17801.52 (14096.3 to 22594.19) |
0.38 (0.19 - 0.58) |
|
Republic of Chile |
9352.86 (7688.33 to 11699.33) |
9127.29 (7410.69 to 11502.95) |
9122.49 (7401.82 to 11536.98) |
-0.08 (-0.09 - -0.08) |
|
Republic of Colombia |
15029.36 (13492.01 to 16938.73) |
16240.04 (13116.66 to 20436.34) |
16252.55 (13189.98 to 20170.57) |
0.3 (0.21 - 0.4) |
|
Republic of Costa Rica |
14229.99 (11678.71 to 17703.35) |
14026.43 (11344.05 to 17502.85) |
13999.86 (11323.12 to 17305.77) |
-0.05 (-0.05 - -0.04) |
|
Republic of Croatia |
7114.94 (5838.96 to 8663.04) |
6935.55 (5640.1 to 8546.24) |
6940.38 (5674.92 to 8483.08) |
0.11 (0 - 0.21) |
|
Republic of Cuba |
13962.96 (11436.41 to 17126.67) |
13767.75 (11188.69 to 17004.02) |
13747.19 (11150.75 to 17065.09) |
-0.05 (-0.05 - -0.05) |
|
Republic of Cyprus |
7646.1 (6152.35 to 9591.69) |
7481.71 (6052.67 to 9389.36) |
7479.94 (5994.89 to 9347.65) |
-0.06 (-0.07 - -0.06) |
|
Republic of C么te d'Ivoire |
14974.19 (11641.44 to 19318.71) |
16175.36 (12986.97 to 20200.86) |
16138.97 (12946.12 to 20235.54) |
0.4 (0.29 - 0.52) |
|
Republic of Djibouti |
12760.05 (10458.02 to 15471.78) |
12395.67 (10104.83 to 15334.26) |
12389.39 (10001.69 to 15123.1) |
-0.1 (-0.11 - -0.1) |
|
Republic of Ecuador |
15956.29 (12803 to 19905.91) |
15681.11 (12475.14 to 20040.61) |
15707.18 (12577.41 to 19727.11) |
0.15 (0.03 - 0.27) |
|
Republic of El Salvador |
15447.1 (12974.35 to 18685.05) |
15069.91 (12440.01 to 18371.59) |
15046.37 (12448.03 to 18383.04) |
-0.08 (-0.08 - -0.07) |
|
Republic of Equa-rial Guinea |
21211.75 (16904.48 to 26576.7) |
19938.57 (15823.1 to 25333.49) |
19971.11 (15761.78 to 25274.23) |
-0.23 (-0.24 - -0.22) |
|
Republic of Es-nia |
7735.47 (6295.89 to 9725.74) |
7566.86 (6124.58 to 9433.31) |
7597.75 (6126.2 to 9589.99) |
0.12 (0 - 0.23) |
|
Republic of Fiji |
13603.54 (11256 to 16711.55) |
13439.62 (11081.69 to 16437.25) |
13301.98 (10962.35 to 16433.5) |
-0.05 (-0.06 - -0.04) |
|
Republic of Finland |
7703.41 (6206.54 to 9635.56) |
7468.7 (6004.22 to 9280.43) |
7499.24 (6046.22 to 9312.11) |
-0.1 (-0.11 - -0.09) |
|
Republic of Ghana |
12585.97 (10197.25 to 15702.46) |
13271.15 (10885.11 to 16428.62) |
13210.39 (10856.85 to 16193.4) |
0.64 (0.48 - 0.8) |
|
Republic of Guatemala |
15344.97 (12836.31 to 18523.42) |
15002.21 (12448.33 to 18160.31) |
14948.58 (12403.13 to 18370.55) |
0.13 (0.01 - 0.24) |
|
Republic of Guinea |
14672.03 (11706.19 to 18569.45) |
15027.41 (12124.88 to 18834.5) |
14973.9 (12055.9 to 18642.16) |
0.05 (0.03 - 0.07) |
|
Republic of Guinea-Bissau |
14803.56 (11912.65 to 18485.94) |
15084.51 (12184.13 to 18891.84) |
15020.63 (12116.76 to 18669.95) |
0.01 (-0.02 - 0.04) |
|
Republic of Guyana |
13418.02 (10850.85 to 16590.45) |
13159.37 (10545.07 to 16455.55) |
13158.34 (10561.45 to 16503.34) |
-0.06 (-0.07 - -0.06) |
|
Republic of Haiti |
13741.64 (11138.37 to 17044.33) |
13460.2 (10776.66 to 16882.76) |
13448.88 (10780.1 to 16823.07) |
-0.06 (-0.07 - -0.05) |
|
Republic of Honduras |
14665.63 (12076.02 to 17866.96) |
14437.57 (11807.04 to 17760.55) |
14391.66 (11693.89 to 17734.63) |
-0.06 (-0.07 - -0.05) |
|
Republic of Iceland |
7499.29 (6027.37 to 9371.43) |
7351.96 (5921.6 to 9171.47) |
7379.04 (5971.26 to 9237.03) |
-0.06 (-0.07 - -0.06) |
|
Republic of India |
19125.79 (16070.44 to 22994.75) |
26640.49 (21123.67 to 32852.21) |
26333.59 (21116.25 to 32187.03) |
1.71 (1.48 - 1.94) |
|
Republic of Indonesia |
14787.92 (12181.28 to 17838.27) |
15641.97 (12613.28 to 19430.04) |
15664.32 (12673.69 to 19308.25) |
0.21 (0.12 - 0.29) |
|
Republic of Iraq |
13838.54 (11613.92 to 16653.31) |
13322.5 (11145.18 to 16141.66) |
13304.31 (11145.17 to 16008.3) |
-0.15 (-0.15 - -0.14) |
|
Republic of Italy |
9269.47 (7686.75 to 11397.79) |
8993.91 (7384.52 to 11116.92) |
9030.68 (7416.31 to 11117.13) |
-0.1 (-0.11 - -0.09) |
|
Republic of Kazakhstan |
11179.08 (9399.98 to 13552.04) |
10983.49 (9111.68 to 13280.17) |
10963.68 (9073.38 to 13298.22) |
0.1 (0.01 - 0.19) |
|
Republic of Kenya |
15481.17 (12658.07 to 19036.5) |
15104.85 (12152.47 to 18705.09) |
15105.43 (12227.26 to 18657.75) |
0.02 (-0.04 - 0.08) |
|
Republic of Kiribati |
13507.75 (11118.73 to 16557.43) |
13295.62 (10905.27 to 16448) |
13279.26 (10874.38 to 16434.48) |
-0.06 (-0.06 - -0.05) |
|
Republic of Korea |
8221.99 (6560.88 to 10521.5) |
7963.03 (6282.72 to 10204.8) |
7971.28 (6361.98 to 10250.63) |
-0.1 (-0.1 - -0.09) |
|
Republic of Latvia |
11432.72 (9374.43 to 14045.03) |
11346.75 (9195.47 to 14037.31) |
11326.38 (9245.56 to 14075.93) |
0.1 (0.02 - 0.18) |
|
Republic of Liberia |
14927.28 (12051.01 to 18675.44) |
14566.36 (11638.67 to 18373.44) |
14543.98 (11643.99 to 18218.45) |
-0.1 (-0.11 - -0.1) |
|
Republic of Lithuania |
10596.13 (8699.33 to 12951.7) |
10434.55 (8476.67 to 12891.47) |
10420.75 (8506.55 to 12970.14) |
-0.06 (-0.06 - -0.05) |
|
Republic of Madagascar |
12547.22 (10183.87 to 15419.48) |
12349.55 (9966.6 to 15257.36) |
12359.82 (9913.56 to 15318.43) |
-0.06 (-0.06 - -0.05) |
|
Republic of Malawi |
9230.12 (7895.88 to 10886.64) |
8789.04 (7464.46 to 10376.21) |
8754.43 (7421.2 to 10383.64) |
0 (-0.08 - 0.08) |
|
Republic of Maldives |
10563.92 (8938.79 to 12643.65) |
10042.04 (8410.35 to 12195.34) |
10008.71 (8378.09 to 12057.99) |
-0.17 (-0.17 - -0.16) |
|
Republic of Mali |
11474.34 (9437.03 to 14220.47) |
11842.86 (9844.5 to 14432.74) |
11808.99 (9707.19 to 14484.68) |
0.23 (0.16 - 0.31) |
|
Republic of Malta |
7656.96 (6143.61 to 9628.59) |
7495.79 (6034.74 to 9455.98) |
7516.96 (6040.07 to 9418.04) |
-0.07 (-0.08 - -0.06) |
|
Republic of Mauritius |
10422.22 (8959.13 to 12346.68) |
9982.78 (8437.81 to 11916.49) |
9964.8 (8438.8 to 11889.18) |
-0.01 (-0.09 - 0.08) |
|
Republic of Moldova |
11314.08 (9412.35 to 13626.74) |
11375.75 (9505.1 to 13799.61) |
11360.68 (9436.54 to 13800.15) |
0.04 (0.02 - 0.06) |
|
Republic of Mozambique |
12619.38 (10214.91 to 15418.67) |
12783.35 (10484.84 to 15738.01) |
12770.52 (10390.32 to 15732.88) |
0.04 (0.01 - 0.06) |
|
Republic of Namibia |
17938.43 (14212.56 to 22910.07) |
17683.84 (13756.85 to 22429.89) |
17709.64 (13837.63 to 22859.32) |
0.31 (0.1 - 0.52) |
|
Republic of Nauru |
13200.59 (10857.44 to 16272.03) |
13167.28 (10694.52 to 16415) |
13138.19 (10682.26 to 16337.47) |
-0.01 (-0.03 - 0.01) |
|
Republic of Nicaragua |
14894.89 (12377.94 to 18096.43) |
14541.79 (11986.83 to 17897.59) |
14487.23 (11838.42 to 17880.84) |
-0.08 (-0.08 - -0.07) |
|
Republic of Niue |
13309.38 (10958.84 to 16367.67) |
12979.43 (10536.85 to 16087.13) |
12987.95 (10611.5 to 16174.74) |
-0.08 (-0.09 - -0.08) |
|
Republic of Palau |
13141.67 (10723.95 to 16125.69) |
12905.72 (10532.04 to 16045.18) |
12894.47 (10547.62 to 15991.87) |
-0.06 (-0.07 - -0.06) |
|
Republic of Panama |
14789.27 (12255.35 to 17920.56) |
14480.35 (11916.23 to 17820.62) |
14450.57 (11863.86 to 17731.4) |
-0.07 (-0.07 - -0.07) |
|
Republic of Paraguay |
17148.55 (14076.63 to 20906.13) |
16783.77 (13690.32 to 20600.35) |
16764.7 (13645.48 to 20556.05) |
0.14 (0.02 - 0.26) |
|
Republic of Peru |
17365.2 (14343.57 to 21352.53) |
16897.52 (13783.71 to 21202.3) |
16888.54 (13796.73 to 20751.88) |
-0.14 (-0.16 - -0.11) |
|
Republic of Poland |
8567 (6898.68 to 10599.79) |
8442.47 (6759.59 to 10518.72) |
8449.14 (6757.41 to 10597.09) |
-0.06 (-0.06 - -0.05) |
|
Republic of Rwanda |
12290.82 (9850.75 to 15325.98) |
12048.43 (9562.49 to 15240.78) |
12015.41 (9548.24 to 14985.85) |
-0.09 (-0.09 - -0.08) |
|
Republic of San Marino |
7558.49 (6066.67 to 9455.4) |
7453.57 (6006.8 to 9415.96) |
7470.55 (6025.56 to 9356.19) |
-0.04 (-0.05 - -0.04) |
|
Republic of Senegal |
13895.19 (11253.82 to 17050.46) |
13523.14 (10955.46 to 16748.54) |
13487.19 (10893.26 to 16760.49) |
0.14 (0.01 - 0.28) |
|
Republic of Serbia |
7753.99 (6272.79 to 9707.12) |
7647.28 (6170.32 to 9455.03) |
7640.02 (6163.97 to 9447.96) |
-0.07 (-0.08 - -0.06) |
|
Republic of Seychelles |
10920.97 (9287.16 to 12912.6) |
10524.24 (8890.09 to 12567.06) |
10508.68 (8869.79 to 12628.97) |
-0.13 (-0.13 - -0.13) |
|
Republic of Sierra Leone |
14566.01 (11622.88 to 18321.94) |
14358.86 (11498.29 to 18185.9) |
14315.42 (11463.39 to 18041.02) |
-0.06 (-0.07 - -0.04) |
|
Republic of Singapore |
8615.25 (6942.69 to 10876.7) |
8427.06 (6775.77 to 10761.81) |
8449.31 (6834.84 to 10735.62) |
-0.07 (-0.08 - -0.06) |
|
Republic of Slovenia |
8792.02 (6983.74 to 10988.57) |
8777.41 (6920.52 to 11043.1) |
8777.38 (6955.82 to 10998.87) |
0.11 (0.03 - 0.19) |
|
Republic of South Africa |
28907.89 (22879.94 to 35976.15) |
31431.96 (25268.45 to 38210.84) |
29635.03 (23783.29 to 36779.82) |
0.76 (0.54 - 0.97) |
|
Republic of South Sudan |
13143.7 (10876.41 to 15842.96) |
12857.55 (10539.73 to 15623.39) |
12836.55 (10552.1 to 15630.62) |
-0.08 (-0.09 - -0.07) |
|
Republic of Sudan |
13911.14 (11745.99 to 16724.16) |
13182.17 (10948.95 to 15944.7) |
13163.18 (10952.26 to 16077.56) |
-0.18 (-0.19 - -0.18) |
|
Republic of Suriname |
13666.54 (11172.68 to 16805.34) |
13471.05 (10787.67 to 16674.93) |
13446.1 (10820.27 to 16570.27) |
-0.06 (-0.07 - -0.06) |
|
Republic of Tajikistan |
11638.92 (9680.63 to 14170.47) |
11418.31 (9433.73 to 13871.03) |
11440.74 (9541.1 to 13929.03) |
-0.06 (-0.07 - -0.06) |
|
Republic of Trinidad and -bago |
13250.55 (10653.15 to 16473.02) |
12986.63 (10349.57 to 16344.43) |
12968.98 (10339.86 to 16359.86) |
-0.07 (-0.07 - -0.06) |
|
Republic of Tunisia |
12910.2 (10758.22 to 15714.65) |
12417.1 (10183.86 to 15120.88) |
12379.55 (10136.63 to 15132.78) |
0.12 (-0.03 - 0.27) |
|
Republic of Turkey |
12509.09 (10562.13 to 15025.9) |
14380.27 (11642.64 to 17919.03) |
14326.6 (11608.75 to 17834.17) |
0.38 (0.3 - 0.45) |
|
Republic of Uganda |
11798.25 (9286.73 to 14694.31) |
12084.01 (9678.5 to 15232.43) |
12060.97 (9594.51 to 15010.71) |
0.09 (0.08 - 0.11) |
|
Republic of Uzbekistan |
11644.44 (9694.12 to 14091.88) |
11385.76 (9475.06 to 13901.5) |
11390.95 (9428.51 to 13851.04) |
-0.08 (-0.09 - -0.08) |
|
Republic of Vanuatu |
12938.59 (10482.74 to 15982.56) |
12882.82 (10397.64 to 16039.9) |
12869.17 (10379.93 to 16089.76) |
-0.02 (-0.02 - -0.01) |
|
Republic of Yemen |
12878.8 (10630.24 to 15788.78) |
13250.86 (11063.46 to 16156.08) |
13207.46 (10846.11 to 16076.23) |
0.04 (0 - 0.07) |
|
Republic of Zambia |
11929.97 (9725.34 to 14539.54) |
11605.95 (9455.11 to 14283.27) |
11627.21 (9395.87 to 14270.46) |
0.15 (0.02 - 0.28) |
|
Republic of Zimbabwe |
15669.78 (12386.62 to 20065.73) |
15455.55 (12244.63 to 19854.87) |
15456.42 (12197.72 to 19839) |
0.31 (0.1 - 0.51) |
|
Republic of the Congo |
20626.69 (16344.33 to 25937.14) |
20195.07 (16102.69 to 25627.87) |
20281.52 (16074.13 to 25613.02) |
0.16 (0.04 - 0.29) |
|
Republic of the Gambia |
15014.71 (12097.68 to 18729.5) |
14949.63 (12072.07 to 18611.69) |
14946.09 (12092.64 to 18629.76) |
0.01 (-0.01 - 0.03) |
|
Republic of the Marshall Islands |
13423.37 (11061.22 to 16517.52) |
13110.35 (10670.25 to 16220.83) |
13089.07 (10660.58 to 16160.62) |
-0.07 (-0.08 - -0.07) |
|
Republic of the Niger |
19999.91 (15790.54 to 25489.98) |
21066.41 (18105.51 to 23888.49) |
23557.38 (19626.43 to 27185.74) |
0.4 (0.27 - 0.54) |
|
Republic of the Philippines |
21129.86 (16982.02 to 26328.67) |
20968.79 (16828.56 to 26241.49) |
20961.03 (16773.89 to 26115.14) |
0 (-0.02 - 0.02) |
|
Republic of the Union of Myanmar |
10148.92 (9054.85 to 11353.86) |
9472.63 (8349.65 to 10843.9) |
9455.36 (8331.13 to 10852.14) |
-0.19 (-0.23 - -0.16) |
|
Romania |
7779.6 (6341.91 to 9725.73) |
7681.15 (6216.57 to 9514.24) |
7671.61 (6294.9 to 9490.74) |
-0.06 (-0.06 - -0.05) |
|
Russian Federation |
15480.32 (12550.03 to 19062.32) |
18802.01 (14921.26 to 23715.09) |
18546.03 (14692.66 to 23360.4) |
1.45 (1.15 - 1.75) |
|
Saint Kitts and Nevis |
13372.59 (10745.84 to 16629.8) |
12977.44 (10384.94 to 16235.37) |
12941.2 (10358.86 to 16317.42) |
-0.1 (-0.1 - -0.09) |
|
Saint Lucia |
13399.47 (10882.18 to 16579.41) |
13017.29 (10360.85 to 16356.75) |
12997.56 (10310.19 to 16375.01) |
-0.1 (-0.11 - -0.09) |
|
Saint Vincent and the Grenadines |
13429.88 (10764.67 to 16632.06) |
12979.18 (10280.96 to 16199.86) |
12947.06 (10341.17 to 16180.78) |
-0.12 (-0.12 - -0.11) |
|
Slovak Republic |
6605.31 (5596.23 to 7650.42) |
6223.48 (5207.98 to 7556.13) |
6231.34 (5124.35 to 7594.61) |
-0.01 (-0.1 - 0.08) |
|
Socialist Republic of Viet Nam |
9012.84 (7877.42 to 10377.93) |
8420.86 (7229.51 to 9873.17) |
8424.76 (7244.68 to 9947.63) |
-0.16 (-0.21 - -0.1) |
|
Solomon Islands |
13433.33 (11069.67 to 16529.45) |
13288.3 (10951.65 to 16405.89) |
13268.08 (10911.89 to 16310.95) |
-0.03 (-0.04 - -0.03) |
|
State of Eritrea |
13460.59 (11100.79 to 16213.24) |
13024.05 (10702.83 to 15869.49) |
12985.05 (10722.15 to 15887.17) |
-0.11 (-0.12 - -0.11) |
|
State of Israel |
7629.56 (6108.48 to 9512.35) |
7519.88 (6033.61 to 9471.03) |
7521.51 (6049.54 to 9379.5) |
-0.05 (-0.06 - -0.05) |
|
State of Kuwait |
13091.7 (10977.18 to 15760.08) |
12873.85 (10653.85 to 15588.36) |
12881.36 (10652.53 to 15585.29) |
-0.05 (-0.06 - -0.04) |
|
State of Libya |
13769.12 (11603.97 to 16472.89) |
13358.84 (11149.37 to 16065.36) |
13353.17 (11131.13 to 16275) |
-0.11 (-0.12 - -0.1) |
|
State of Qatar |
13194.12 (11214.81 to 15697.71) |
12653.55 (10573.9 to 15318.93) |
12652.87 (10522.63 to 15191.85) |
-0.16 (-0.17 - -0.15) |
|
Sultanate of Oman |
14743.04 (12623.78 to 17590) |
15152.87 (13140.94 to 17578.85) |
15143.19 (13145.03 to 17709.92) |
0.04 (0.01 - 0.08) |
|
Swiss Confederation |
7570.5 (6097.56 to 9369.75) |
7436.56 (5981.57 to 9346.71) |
7461.5 (6032.18 to 9374.18) |
-0.06 (-0.07 - -0.06) |
|
Syrian Arab Republic |
11476.47 (10444.11 to 12806.84) |
11750.27 (9900.06 to 14043.34) |
11705.18 (9924.98 to 13985.35) |
0.09 (0.01 - 0.18) |
|
Taiwan (Province of China) |
13238.3 (10229.82 to 17247.16) |
13179.67 (10199.54 to 17053.28) |
13200.54 (10173.35 to 17089.73) |
-0.01 (-0.01 - -0.01) |
|
-golese Republic |
14649.87 (11646.32 to 18492.66) |
14923.19 (12049.64 to 18745.58) |
14914.16 (12026.29 to 18616.3) |
0.03 (0.01 - 0.05) |
|
-kelau |
13408.92 (11016.75 to 16535.55) |
13049.73 (10653.97 to 16111.26) |
13063.29 (10660.57 to 16137.66) |
-0.09 (-0.09 - -0.08) |
|
Turkmenistan |
12506.66 (10611.55 to 14873.56) |
11958.87 (10118.71 to 14330.11) |
11965.61 (10013.84 to 14224.63) |
-0.17 (-0.2 - -0.14) |
|
Tuvalu |
13613.09 (11238.07 to 16777.33) |
13188.93 (10756.61 to 16277.21) |
13155.01 (10773.46 to 16213.79) |
-0.1 (-0.11 - -0.1) |
|
Ukraine |
255.87 (174.61 to 371.03) |
241.73 (162.09 to 353.03) |
240.82 (161.16 to 355.01) |
0.08 (0.01 - 0.15) |
|
Union of the Comoros |
482.42 (330.78 to 687.8) |
410.58 (272.25 to 602.69) |
405.14 (267.99 to 601.24) |
0.07 (0 - 0.14) |
|
United Arab Emirates |
439.91 (312.81 to 613.17) |
338.46 (236.52 to 480.8) |
335.47 (234.26 to 481.78) |
-0.08 (-0.17 - 0) |
|
United Kingdom of Great Britain and Northern Ireland |
182.3 (118.51 to 269.18) |
169.6 (107.84 to 254.67) |
169.11 (107.85 to 253.66) |
-0.08 (-0.08 - -0.07) |
|
United Mexican States |
378.24 (269.38 to 525.27) |
348.51 (230.2 to 514.13) |
328.7 (222.15 to 479.52) |
0.9 (0.73 - 1.07) |
|
United Republic of Tanzania |
482.6 (348.99 to 661.41) |
411.21 (293.43 to 570.02) |
402.18 (289.01 to 559.81) |
-0.1 (-0.11 - -0.09) |
|
United States Virgin Islands |
288.8 (190.25 to 425.95) |
255.34 (162.06 to 384.69) |
253.76 (159.19 to 380.41) |
-0.07 (-0.07 - -0.06) |
|
United States of America |
133.41 (84.62 to 202.48) |
145.39 (88.98 to 228.77) |
135.02 (84.34 to 208.14) |
0.85 (0.64 - 1.06) |
Supplementary Table 7 Proportion of DALY Numbers by Different Diseases in 21 Regions for the Years 1990 and 2021
|
DALY number |
||||||||||||
|
|
1990 |
2021 |
||||||||||
|
|
AMD |
Cataract |
Glaucoma |
Near vision loss |
Other vision loss |
URD |
AMD |
Cataract |
Glaucoma |
Near vision loss |
Other vision loss |
URD |
|
Andean Latin America |
1.50 |
23.25 |
3.53 |
28.74 |
13.74 |
29.23 |
1.85 |
21.59 |
3.21 |
34.12 |
11.96 |
27.27 |
|
Australasia |
3.11 |
13.71 |
4.02 |
39.71 |
10.14 |
29.32 |
3.29 |
16.43 |
4.43 |
40.39 |
9.65 |
25.81 |
|
Caribbean |
0.57 |
15.22 |
5.36 |
33.17 |
21.81 |
23.87 |
0.62 |
14.74 |
4.88 |
37.16 |
21.46 |
21.15 |
|
Central Asia |
1.39 |
20.38 |
4.06 |
27.82 |
21.64 |
24.72 |
1.44 |
19.22 |
3.25 |
30.91 |
20.50 |
24.68 |
|
Central Europe |
2.85 |
12.65 |
2.92 |
36.21 |
19.58 |
25.78 |
3.11 |
14.43 |
2.78 |
37.37 |
18.57 |
23.73 |
|
Central Latin America |
0.92 |
17.30 |
3.14 |
27.71 |
17.70 |
33.22 |
1.07 |
17.46 |
3.08 |
34.87 |
15.84 |
27.69 |
|
Central Sub-Saharan Africa |
0.34 |
6.33 |
2.51 |
62.34 |
8.83 |
19.65 |
0.33 |
4.97 |
2.07 |
64.47 |
7.90 |
20.26 |
|
East Asia |
2.07 |
17.44 |
2.64 |
38.66 |
12.26 |
26.93 |
2.33 |
16.90 |
1.52 |
50.97 |
9.23 |
19.06 |
|
Eastern Europe |
0.78 |
11.14 |
3.10 |
36.62 |
23.09 |
25.27 |
0.72 |
10.56 |
2.56 |
43.01 |
21.17 |
21.99 |
|
Eastern Sub-Saharan Africa |
2.56 |
28.85 |
5.90 |
30.26 |
14.29 |
18.14 |
2.10 |
25.72 |
4.80 |
34.53 |
13.98 |
18.86 |
|
High-income Asia Pacific |
1.46 |
11.48 |
4.65 |
43.77 |
12.76 |
25.87 |
2.15 |
16.90 |
6.63 |
41.10 |
11.45 |
21.79 |
|
High-income North America |
2.63 |
15.14 |
4.45 |
38.95 |
10.76 |
28.07 |
2.68 |
16.13 |
4.79 |
42.48 |
9.98 |
23.94 |
|
North Africa and Middle East |
2.79 |
22.93 |
5.63 |
22.95 |
15.25 |
30.45 |
3.04 |
21.40 |
4.57 |
29.71 |
12.58 |
28.69 |
|
Oceania |
0.67 |
35.57 |
2.16 |
28.90 |
6.09 |
26.61 |
0.59 |
33.86 |
1.92 |
31.80 |
5.11 |
26.73 |
|
South Asia |
1.57 |
33.33 |
2.01 |
22.23 |
8.07 |
32.78 |
1.21 |
28.25 |
1.63 |
37.77 |
6.68 |
24.45 |
|
Southeast Asia |
1.51 |
34.68 |
1.84 |
25.01 |
13.66 |
23.30 |
1.49 |
33.14 |
1.65 |
31.99 |
12.47 |
19.25 |
|
Southern Latin America |
1.59 |
16.15 |
3.59 |
30.62 |
12.87 |
35.18 |
1.60 |
17.12 |
3.40 |
33.50 |
12.66 |
31.71 |
|
Southern Sub-Saharan Africa |
0.45 |
17.80 |
4.03 |
52.71 |
10.08 |
14.94 |
0.53 |
14.03 |
3.63 |
58.71 |
8.81 |
14.28 |
|
Tropical Latin America |
0.78 |
15.78 |
3.32 |
31.13 |
17.06 |
31.93 |
1.10 |
16.79 |
3.81 |
35.32 |
16.15 |
26.82 |
|
Western Europe |
7.35 |
16.28 |
6.54 |
31.96 |
10.11 |
27.76 |
7.24 |
19.27 |
6.33 |
33.59 |
8.46 |
25.11 |
|
Western Sub-Saharan Africa |
2.63 |
29.09 |
6.08 |
32.02 |
13.98 |
16.20 |
2.39 |
25.45 |
4.55 |
35.59 |
13.18 |
18.85 |
Supplementary Table 8 Proportion of Prevalence Numbers by Different Diseases in 21 Regions for the Years 1990 and 2021
|
ASR DALY Rate |
ASR Prevalence Rate |
|||
|
|
1990 |
2021 |
1990 |
2021 |
|
Afghanistan |
605.2 |
522.6 |
14564.0 |
14302.1 |
|
Albania |
180.0 |
164.2 |
7804.1 |
7698.8 |
|
Algeria |
486.1 |
385.7 |
13841.0 |
13348.0 |
|
American Samoa |
319.3 |
277.8 |
13165.6 |
12942.5 |
|
Andorra |
159.8 |
151.4 |
7466.0 |
7423.0 |
|
Angola |
472.2 |
399.9 |
20432.3 |
20177.1 |
|
Antigua and Barbuda |
292.0 |
253.4 |
13346.0 |
13041.5 |
|
Argentina |
222.7 |
201.7 |
9348.3 |
9190.0 |
|
Armenia |
324.2 |
285.2 |
11614.9 |
11381.1 |
|
Australia |
159.7 |
153.8 |
8050.7 |
8008.1 |
|
Austria |
167.1 |
153.7 |
7704.0 |
7521.2 |
|
Azerbaijan |
331.4 |
294.6 |
11639.6 |
11410.7 |
|
Bahamas |
285.7 |
255.2 |
13277.5 |
13072.3 |
|
Bahrain |
454.2 |
349.7 |
13498.2 |
12884.7 |
|
Bangladesh |
542.6 |
426.4 |
14770.7 |
14501.0 |
|
Barbados |
192.9 |
180.7 |
12278.6 |
12094.4 |
|
Belarus |
254.7 |
231.7 |
10625.5 |
10489.6 |
|
Belgium |
168.9 |
154.7 |
7674.0 |
7524.7 |
|
Belize |
319.8 |
273.3 |
13275.0 |
13091.0 |
|
Benin |
358.1 |
433.7 |
14099.5 |
14978.1 |
|
Bermuda |
281.6 |
247.7 |
13314.1 |
13006.5 |
|
Bhutan |
399.6 |
311.0 |
15369.8 |
14774.5 |
|
Bolivia |
493.9 |
405.1 |
16783.1 |
16372.2 |
|
Bosnia and Herzegovina |
230.5 |
210.7 |
12832.4 |
12688.7 |
|
Botswana |
529.4 |
416.6 |
19942.5 |
19386.8 |
|
Brazil |
474.4 |
405.8 |
17489.8 |
17223.3 |
|
Brunei Darussalam |
174.1 |
159.0 |
8043.1 |
7941.0 |
|
Bulgaria |
161.9 |
152.4 |
7710.7 |
7641.0 |
|
Burkina Faso |
259.9 |
341.7 |
8785.1 |
9875.8 |
|
Burundi |
239.6 |
226.4 |
11678.4 |
11494.3 |
|
Cabo Verde |
381.2 |
317.0 |
14565.2 |
14088.7 |
|
Cambodia |
633.7 |
431.7 |
12907.1 |
11792.0 |
|
Cameroon |
363.7 |
325.3 |
14412.4 |
14151.9 |
|
Canada |
130.7 |
126.3 |
6696.5 |
6643.3 |
|
Central African Republic |
314.0 |
326.6 |
19434.4 |
19467.0 |
|
Chad |
441.2 |
442.7 |
17647.1 |
17801.5 |
|
Chile |
224.1 |
194.7 |
9352.9 |
9122.5 |
|
China |
297.2 |
323.9 |
12068.8 |
17428.9 |
|
Colombia |
418.5 |
363.5 |
15029.4 |
16252.6 |
|
Comoros |
482.4 |
405.1 |
19626.3 |
19247.0 |
|
Congo |
431.3 |
382.1 |
20626.7 |
20281.5 |
|
Cook Islands |
383.9 |
302.5 |
13389.3 |
13000.7 |
|
Costa Rica |
363.2 |
310.5 |
14230.0 |
13999.9 |
|
Croatia |
157.1 |
146.3 |
7114.9 |
6940.4 |
|
Cuba |
369.9 |
321.3 |
13963.0 |
13747.2 |
|
Cyprus |
170.4 |
153.3 |
7646.1 |
7479.9 |
|
Czechia |
154.1 |
141.4 |
6920.3 |
6778.9 |
|
Coted’Ivoire |
283.5 |
408.8 |
14974.2 |
16139.0 |
|
Democratic People's Republic of Korea |
220.7 |
198.4 |
13741.0 |
13582.0 |
|
Democratic Republic of the Congo |
286.9 |
292.7 |
19346.0 |
19250.2 |
|
Denmark |
168.3 |
158.0 |
7735.8 |
7596.5 |
|
Djibouti |
408.7 |
333.5 |
12760.1 |
12389.4 |
|
Dominica |
303.2 |
259.2 |
13474.0 |
12892.5 |
|
Dominican Republic |
383.7 |
321.4 |
14203.2 |
13785.2 |
|
Ecuador |
376.3 |
328.9 |
15956.3 |
15707.2 |
|
Egypt |
440.9 |
418.2 |
13563.3 |
14810.3 |
|
El Salvador |
498.2 |
389.1 |
15447.1 |
15046.4 |
|
Equatorial Guinea |
705.0 |
438.9 |
21211.7 |
19971.1 |
|
Eritrea |
523.4 |
416.8 |
13460.6 |
12985.1 |
|
Estonia |
174.9 |
158.9 |
7735.5 |
7597.8 |
|
Eswatini |
498.8 |
414.1 |
19734.0 |
19228.6 |
|
Ethiopia |
470.4 |
449.9 |
13543.6 |
13611.6 |
|
Fiji |
394.3 |
333.3 |
13603.5 |
13302.0 |
|
Finland |
167.6 |
150.6 |
7703.4 |
7499.2 |
|
France |
156.5 |
144.7 |
7295.4 |
7179.6 |
|
Gabon |
429.3 |
370.7 |
20273.2 |
20017.2 |
|
Gambia |
441.0 |
397.6 |
15014.7 |
14946.1 |
|
Georgia |
324.2 |
294.3 |
12775.5 |
11854.8 |
|
Germany |
162.2 |
149.3 |
7651.0 |
7441.1 |
|
Ghana |
317.4 |
342.2 |
12586.0 |
13210.4 |
|
Greece |
173.8 |
157.9 |
7686.6 |
7571.8 |
|
Greenland |
139.8 |
133.2 |
6731.0 |
6688.9 |
|
Grenada |
317.6 |
262.1 |
13510.3 |
12974.9 |
|
Guam |
312.5 |
284.0 |
13074.0 |
12964.6 |
|
Guatemala |
508.6 |
411.3 |
15345.0 |
14948.6 |
|
Guinea |
421.9 |
423.9 |
14672.0 |
14973.9 |
|
Guinea-Bissau |
425.6 |
417.5 |
14803.6 |
15020.6 |
|
Guyana |
325.9 |
271.2 |
13418.0 |
13158.3 |
|
Haiti |
377.3 |
315.8 |
13741.6 |
13448.9 |
|
Honduras |
406.3 |
336.8 |
14665.6 |
14391.7 |
|
Hungary |
173.6 |
151.8 |
6667.3 |
6522.9 |
|
Iceland |
169.3 |
155.3 |
7499.3 |
7379.0 |
|
India |
734.7 |
632.2 |
19125.8 |
26333.6 |
|
Indonesia |
477.0 |
399.9 |
14787.9 |
15664.3 |
|
Iran |
528.9 |
448.4 |
12544.9 |
12691.5 |
|
Iraq |
495.9 |
378.8 |
13838.5 |
13304.3 |
|
Ireland |
168.6 |
153.3 |
7633.5 |
7483.6 |
|
Israel |
169.6 |
157.3 |
7629.6 |
7521.5 |
|
Italy |
262.6 |
224.8 |
9269.5 |
9030.7 |
|
Jamaica |
297.2 |
260.3 |
13283.0 |
13039.7 |
|
Japan |
161.7 |
154.1 |
8463.4 |
8394.6 |
|
Jordan |
390.6 |
313.2 |
13052.2 |
12627.5 |
|
Kazakhstan |
314.7 |
280.7 |
11179.1 |
10963.7 |
|
Kenya |
507.6 |
404.1 |
15481.2 |
15105.4 |
|
Kiribati |
367.9 |
323.7 |
13507.7 |
13279.3 |
|
Kuwait |
403.3 |
335.2 |
13091.7 |
12881.4 |
|
Kyrgyzstan |
305.3 |
275.4 |
11154.3 |
10962.6 |
|
Lao People's Democratic Republic |
264.4 |
222.8 |
8835.2 |
8548.2 |
|
Latvia |
258.0 |
238.3 |
11432.7 |
11326.4 |
|
Lebanon |
468.2 |
368.4 |
12346.3 |
12616.1 |
|
Lesotho |
523.0 |
443.4 |
20100.6 |
19682.7 |
|
Liberia |
447.3 |
365.8 |
14927.3 |
14544.0 |
|
Libya |
513.1 |
393.8 |
13769.1 |
13353.2 |
|
Lithuania |
248.7 |
227.0 |
10596.1 |
10420.8 |
|
Luxembourg |
166.5 |
151.7 |
7658.5 |
7467.5 |
|
Madagascar |
332.5 |
289.4 |
12547.2 |
12359.8 |
|
Malawi |
416.9 |
323.9 |
9230.1 |
8754.4 |
|
Malaysia |
408.0 |
283.5 |
8561.8 |
7705.1 |
|
Maldives |
356.0 |
263.4 |
10563.9 |
10008.7 |
|
Mali |
451.8 |
443.6 |
11474.3 |
11809.0 |
|
Malta |
170.8 |
155.2 |
7657.0 |
7517.0 |
|
Marshall Islands |
364.2 |
300.2 |
13423.4 |
13089.1 |
|
Mauritania |
513.4 |
441.7 |
21168.8 |
20821.6 |
|
Mauritius |
357.2 |
281.5 |
10422.2 |
9964.8 |
|
Mexico |
378.2 |
328.7 |
12060.5 |
13738.6 |
|
Micronesia |
365.9 |
309.1 |
13404.9 |
13124.4 |
|
Monaco |
161.5 |
152.7 |
7579.1 |
7467.2 |
|
Mongolia |
390.6 |
328.3 |
11847.4 |
11594.5 |
|
Montenegro |
162.0 |
154.3 |
7707.4 |
7618.9 |
|
Morocco |
431.6 |
368.0 |
16420.5 |
16204.6 |
|
Mozambique |
416.7 |
393.2 |
12619.4 |
12770.5 |
|
Myanmar |
530.5 |
384.9 |
10148.9 |
9455.4 |
|
Namibia |
466.8 |
385.7 |
17938.4 |
17709.6 |
|
Nauru |
344.6 |
304.8 |
13200.6 |
13138.2 |
|
Nepal |
552.0 |
508.6 |
20515.7 |
25663.6 |
|
Netherlands |
151.6 |
141.4 |
7434.0 |
7306.1 |
|
New Zealand |
179.1 |
167.2 |
8894.7 |
8779.2 |
|
Nicaragua |
451.2 |
362.2 |
14894.9 |
14487.2 |
|
Niger |
495.4 |
553.8 |
19999.9 |
23557.4 |
|
Nigeria |
561.3 |
509.1 |
16960.7 |
16928.3 |
|
Niue |
336.4 |
283.7 |
13309.4 |
12988.0 |
|
North Macedonia |
172.1 |
156.5 |
7758.1 |
7632.7 |
|
Northern Mariana Islands |
307.0 |
280.4 |
12962.6 |
12889.9 |
|
Norway |
160.8 |
155.0 |
8231.4 |
8130.0 |
|
Oman |
577.4 |
524.3 |
14743.0 |
15143.2 |
|
Pakistan |
629.9 |
589.4 |
14064.1 |
13864.5 |
|
Palau |
323.9 |
280.8 |
13141.7 |
12894.5 |
|
Palestine |
486.3 |
363.3 |
13956.5 |
13264.0 |
|
Panama |
448.2 |
369.5 |
14789.3 |
14450.6 |
|
Papua New Guinea |
453.5 |
402.6 |
14442.8 |
14201.2 |
|
Paraguay |
473.6 |
386.8 |
17148.5 |
16764.7 |
|
Peru |
547.2 |
433.7 |
17365.2 |
16888.5 |
|
Philippines |
491.4 |
450.5 |
21129.9 |
20961.0 |
|
Poland |
175.0 |
166.7 |
8567.0 |
8449.1 |
|
Portugal |
177.7 |
157.6 |
7739.4 |
7593.8 |
|
Puerto Rico |
282.1 |
246.5 |
13361.1 |
13093.7 |
|
Qatar |
464.4 |
348.4 |
13194.1 |
12652.9 |
|
Republic of Korea |
188.8 |
159.3 |
8222.0 |
7971.3 |
|
Republic of Moldova |
316.6 |
294.9 |
11314.1 |
11360.7 |
|
Romania |
173.4 |
160.2 |
7779.6 |
7671.6 |
|
Russian Federation |
340.2 |
345.3 |
15480.3 |
18546.0 |
|
Rwanda |
310.7 |
253.9 |
12290.8 |
12015.4 |
|
Saint Kitts and Nevis |
305.8 |
256.6 |
13372.6 |
12941.2 |
|
Saint Lucia |
304.9 |
256.7 |
13399.5 |
12997.6 |
|
Saint Vincent and the Grenadines |
313.9 |
265.7 |
13429.9 |
12947.1 |
|
Samoa |
343.4 |
298.1 |
13320.7 |
13060.8 |
|
San Marino |
161.0 |
152.7 |
7558.5 |
7470.5 |
|
Sao Tome and Principe |
469.2 |
376.8 |
15186.3 |
14727.2 |
|
Saudi Arabia |
858.1 |
527.0 |
15610.7 |
14166.8 |
|
Senegal |
502.3 |
408.1 |
13895.2 |
13487.2 |
|
Serbia |
170.3 |
156.2 |
7754.0 |
7640.0 |
|
Seychelles |
369.5 |
294.4 |
10921.0 |
10508.7 |
|
Sierra Leone |
404.2 |
357.4 |
14566.0 |
14315.4 |
|
Singapore |
200.1 |
182.5 |
8615.3 |
8449.3 |
|
Slovakia |
153.8 |
141.1 |
6605.3 |
6231.3 |
|
Slovenia |
171.4 |
163.2 |
8792.0 |
8777.4 |
|
Solomon Islands |
383.0 |
333.0 |
13433.3 |
13268.1 |
|
Somalia |
334.9 |
317.5 |
12075.9 |
12071.5 |
|
South Africa |
546.2 |
500.1 |
28907.9 |
29635.0 |
|
South Sudan |
493.6 |
395.9 |
13143.7 |
12836.6 |
|
Spain |
287.4 |
260.2 |
9189.0 |
9065.0 |
|
Sri Lanka |
383.1 |
315.4 |
12093.4 |
11800.9 |
|
Sudan |
581.7 |
412.8 |
13911.1 |
13163.2 |
|
Suriname |
363.3 |
309.9 |
13666.5 |
13446.1 |
|
Sweden |
120.1 |
118.2 |
7301.3 |
7245.6 |
|
Switzerland |
158.3 |
149.9 |
7570.5 |
7461.5 |
|
Syrian Arab Republic |
495.2 |
374.4 |
11476.5 |
11705.2 |
|
Taiwan |
182.6 |
174.6 |
13238.3 |
13200.5 |
|
Tajikistan |
344.3 |
314.5 |
11638.9 |
11440.7 |
|
Thailand |
387.8 |
295.4 |
11603.1 |
11004.0 |
|
Timor-Leste |
623.2 |
458.1 |
12219.3 |
11526.1 |
|
Togo |
384.6 |
395.7 |
14649.9 |
14914.2 |
|
Tokelau |
359.1 |
295.7 |
13408.9 |
13063.3 |
|
Tonga |
281.3 |
243.3 |
12646.6 |
12445.5 |
|
Trinidad and Tobago |
290.3 |
246.3 |
13250.6 |
12969.0 |
|
Tunisia |
460.1 |
331.6 |
12910.2 |
12379.5 |
|
Turkey |
344.5 |
300.8 |
12509.1 |
14326.6 |
|
Turkmenistan |
371.9 |
320.2 |
12506.7 |
11965.6 |
|
Tuvalu |
380.0 |
309.6 |
13613.1 |
13155.0 |
|
Uganda |
272.8 |
269.1 |
11798.2 |
12061.0 |
|
Ukraine |
255.9 |
240.8 |
10537.0 |
10407.8 |
|
United Arab Emirates |
439.9 |
335.5 |
12784.2 |
11869.6 |
|
United Kingdom |
182.3 |
169.1 |
8522.9 |
8363.5 |
|
United Republic of Tanzania |
482.6 |
402.2 |
13278.2 |
12895.5 |
|
United States of America |
133.4 |
135.0 |
6757.8 |
7327.3 |
|
United States Virgin Islands |
288.8 |
253.8 |
13385.7 |
13045.8 |
|
Uruguay |
188.6 |
178.1 |
9041.3 |
8919.1 |
|
Uzbekistan |
336.8 |
298.6 |
11644.4 |
11391.0 |
|
Vanuatu |
299.9 |
273.4 |
12938.6 |
12869.2 |
|
Venezuela |
387.6 |
338.7 |
14317.4 |
14143.6 |
|
Viet Nam |
396.6 |
292.7 |
9012.8 |
8424.8 |
|
Yemen |
405.8 |
408.9 |
12878.8 |
13207.5 |
|
Zambia |
358.0 |
298.5 |
11930.0 |
11627.2 |
|
Zimbabwe |
433.1 |
381.4 |
15669.8 |
15456.4 |
Supplementary Table 9 ASR DALY Rate for BVI and Specific Diseases in 21 Regions Among Males and Females in 2021
|
BVI |
Cataract |
Glaucoma |
AMD |
|||||
|
|
Male |
Female |
Male |
Female |
Male |
Female |
Male |
Female |
|
Andean Latin America |
392.6 |
408.2 |
96.6 |
88.5 |
15.7 |
12.5 |
6.3 |
9.3 |
|
Australasia |
149.6 |
161.8 |
19.4 |
19.7 |
5.3 |
4.6 |
2.8 |
4.5 |
|
Caribbean |
267.3 |
328.2 |
41.7 |
43.4 |
16.3 |
12.2 |
1.7 |
1.8 |
|
Central Asia |
285.4 |
300.3 |
60.1 |
66.9 |
14.7 |
9.6 |
2.8 |
6.1 |
|
Central Europe |
150.0 |
166.9 |
19.0 |
19.4 |
4.4 |
3.0 |
4.0 |
4.1 |
|
Central Latin America |
333.3 |
354.1 |
66.4 |
60.5 |
13.4 |
9.6 |
3.8 |
3.9 |
|
Central Sub-Saharan Africa |
293.2 |
351.4 |
23.3 |
30.0 |
15.6 |
13.8 |
1.7 |
2.3 |
|
East Asia |
294.9 |
340.3 |
45.6 |
61.0 |
5.3 |
4.3 |
6.1 |
7.8 |
|
Eastern Europe |
286.7 |
330.2 |
25.4 |
31.1 |
8.5 |
6.1 |
1.7 |
2.1 |
|
Eastern Sub-Saharan Africa |
346.8 |
400.0 |
110.5 |
134.1 |
32.0 |
25.3 |
9.3 |
12.7 |
|
High-income Asia Pacific |
151.9 |
160.0 |
16.8 |
17.4 |
7.6 |
4.9 |
1.9 |
2.0 |
|
High-income North America |
128.1 |
139.5 |
15.4 |
17.5 |
5.5 |
3.9 |
2.1 |
2.9 |
|
North Africa and Middle East |
356.8 |
418.2 |
85.6 |
112.3 |
27.3 |
19.4 |
12.1 |
16.0 |
|
Oceania |
353.3 |
396.6 |
146.8 |
175.7 |
11.6 |
9.7 |
2.3 |
3.5 |
|
South Asia |
563.2 |
646.3 |
173.7 |
212.2 |
14.2 |
9.6 |
8.0 |
8.5 |
|
Southeast Asia |
336.8 |
381.6 |
113.6 |
145.4 |
7.7 |
6.4 |
5.3 |
6.2 |
|
Southern Latin America |
192.8 |
202.5 |
30.2 |
30.4 |
6.8 |
5.3 |
3.0 |
2.6 |
|
Southern Sub-Saharan Africa |
462.8 |
485.6 |
78.0 |
87.2 |
31.5 |
19.4 |
2.6 |
3.7 |
|
Tropical Latin America |
382.1 |
427.3 |
64.9 |
71.1 |
18.2 |
13.8 |
3.3 |
5.3 |
|
Western Europe |
162.4 |
183.4 |
22.4 |
26.2 |
8.4 |
6.4 |
6.8 |
9.7 |
|
Western Sub-Saharan Africa |
423.6 |
473.4 |
132.0 |
167.8 |
37.8 |
27.8 |
12.8 |
16.4 |
Supplementary Table 10 ASR DALY Rate for BVI and Specific Diseases globally Among Males and Females in 2021
|
ASR_1990 |
ASR_2019 |
ASR_2021 |
|
|
Both |
342.01 (237.87-482.17) |
342.67 (225.31-503.65) |
342.78 (224.21-503.61) |
|
Female |
354.94 (245.57-504.92) |
363.63 (238.76-535.63) |
363.56 (237.52-533.39) |
|
Male |
329.47 (228.62-463.42) |
320.39 (210.48-468.53) |
320.54 (209.71-471.8) |
Supplementary Table 11 SDI Values and Corresponding Age-Standardized DALY Rates in 21 Regions
|
|
ASR DALY rate |
||||
|
|
SDI |
BVI |
Cataract |
Glaucoma |
AMD |
|
Andean Latin America |
0.652 |
400.2 |
92.5 |
32.5 |
7.9 |
|
Australasia |
0.846 |
156.0 |
19.6 |
28.3 |
3.7 |
|
Caribbean |
0.642 |
298.2 |
42.7 |
23.8 |
1.8 |
|
Central Asia |
0.675 |
294.1 |
64.2 |
23.3 |
4.8 |
|
Central Europe |
0.796 |
159.2 |
19.3 |
15.7 |
4.0 |
|
Central Latin America |
0.641 |
343.8 |
63.2 |
14.5 |
3.8 |
|
Central Sub-Saharan Africa |
0.472 |
324.0 |
27.2 |
14.1 |
2.0 |
|
East Asia |
0.726 |
318.9 |
54.3 |
14.0 |
7.0 |
|
Eastern Europe |
0.803 |
312.4 |
29.2 |
11.8 |
1.9 |
|
Eastern Sub-Saharan Africa |
0.410 |
374.8 |
123.1 |
11.5 |
11.1 |
|
High-income Asia Pacific |
0.877 |
156.0 |
17.2 |
11.3 |
2.0 |
|
High-income North America |
0.863 |
134.1 |
16.6 |
10.7 |
2.6 |
|
North Africa and Middle East |
0.658 |
386.8 |
98.9 |
7.2 |
14.0 |
|
Oceania |
0.467 |
374.5 |
161.1 |
7.0 |
2.9 |
|
South Asia |
0.558 |
605.3 |
193.7 |
6.9 |
8.2 |
|
Southeast Asia |
0.650 |
361.6 |
131.7 |
6.0 |
5.8 |
|
Southern Latin America |
0.736 |
198.2 |
30.5 |
5.9 |
2.8 |
|
Southern Sub-Saharan Africa |
0.642 |
473.9 |
83.7 |
4.9 |
3.3 |
|
Tropical Latin America |
0.652 |
405.4 |
68.6 |
4.8 |
4.4 |
|
Western Europe |
0.849 |
174.1 |
24.6 |
4.6 |
8.5 |
|
Western Sub-Saharan Africa |
0.446 |
449.8 |
151.0 |
3.5 |
14.7 |
Supplementary Table 12 SDI Values and Corresponding Age-Standardized DALY Rates in 204 Countries and Territories
|
|
ASR DALY rate |
||||
|
|
SDI |
BVI |
Cataract |
Glaucoma |
AMD |
|
Afghanistan |
0.343 |
522.6 |
196.3 |
34.2 |
19.9 |
|
Albania |
0.681 |
164.2 |
20.1 |
4.3 |
4.4 |
|
Algeria |
0.652 |
385.7 |
110.5 |
23.5 |
13.2 |
|
American Samoa |
0.712 |
277.8 |
88.7 |
8.0 |
2.8 |
|
Andorra |
0.894 |
151.4 |
18.7 |
5.2 |
6.7 |
|
Angola |
0.47 |
399.9 |
49.2 |
21.1 |
2.9 |
|
Antigua and Barbuda |
0.743 |
253.4 |
32.1 |
10.3 |
1.4 |
|
Argentina |
0.708 |
201.7 |
27.8 |
6.0 |
3.0 |
|
Armenia |
0.689 |
285.2 |
59.7 |
10.2 |
4.4 |
|
Australia |
0.839 |
153.8 |
19.4 |
4.8 |
3.6 |
|
Austria |
0.849 |
153.7 |
19.1 |
5.4 |
7.0 |
|
Azerbaijan |
0.683 |
294.6 |
62.2 |
11.3 |
4.6 |
|
Bahamas |
0.796 |
255.2 |
32.2 |
10.6 |
1.5 |
|
Bahrain |
0.751 |
349.7 |
95.8 |
18.4 |
11.5 |
|
Bangladesh |
0.483 |
426.4 |
167.2 |
8.0 |
6.5 |
|
Barbados |
0.742 |
180.7 |
15.2 |
4.8 |
0.5 |
|
Belarus |
0.745 |
231.7 |
31.8 |
5.0 |
1.8 |
|
Belgium |
0.851 |
154.7 |
19.2 |
5.6 |
7.1 |
|
Belize |
0.603 |
273.3 |
38.1 |
13.5 |
1.6 |
|
Benin |
0.352 |
433.7 |
126.1 |
32.1 |
13.5 |
|
Bermuda |
0.813 |
247.7 |
29.2 |
8.3 |
1.3 |
|
Bhutan |
0.455 |
311.0 |
48.8 |
6.1 |
3.6 |
|
Bolivia |
0.566 |
405.1 |
98.6 |
15.7 |
5.5 |
|
Bosnia and Herzegovina |
0.718 |
210.7 |
18.8 |
3.8 |
4.0 |
|
Botswana |
0.634 |
416.6 |
68.9 |
38.3 |
2.2 |
|
Brazil |
0.64 |
405.8 |
68.7 |
15.8 |
4.5 |
|
Brunei Darussalam |
0.823 |
159.0 |
18.5 |
7.5 |
2.2 |
|
Bulgaria |
0.764 |
152.4 |
11.9 |
2.7 |
3.4 |
|
Burkina Faso |
0.257 |
341.7 |
104.5 |
30.2 |
7.8 |
|
Burundi |
0.284 |
226.4 |
31.7 |
17.4 |
5.4 |
|
Cabo Verde |
0.525 |
317.0 |
83.2 |
18.4 |
10.2 |
|
Cambodia |
0.469 |
431.7 |
199.3 |
7.8 |
5.4 |
|
Cameroon |
0.49 |
325.3 |
70.8 |
25.0 |
9.9 |
|
Canada |
0.873 |
126.3 |
16.3 |
4.4 |
2.4 |
|
Central African Republic |
0.274 |
326.6 |
39.2 |
16.4 |
1.8 |
|
Chad |
0.238 |
442.7 |
112.1 |
35.5 |
10.6 |
|
Chile |
0.759 |
194.7 |
40.6 |
5.8 |
2.3 |
|
China |
0.686 |
323.9 |
55.9 |
4.9 |
7.2 |
|
Colombia |
0.633 |
363.5 |
56.7 |
10.9 |
3.6 |
|
Comoros |
0.455 |
405.1 |
82.6 |
25.5 |
10.1 |
|
Congo |
0.568 |
382.1 |
40.1 |
16.5 |
2.7 |
|
Cook Islands |
0.764 |
302.5 |
102.4 |
12.0 |
4.2 |
|
Costa Rica |
0.68 |
310.5 |
63.1 |
9.5 |
2.5 |
|
Coted'Ivoire |
0.408 |
146.3 |
18.0 |
3.2 |
3.8 |
|
Croatia |
0.794 |
321.3 |
50.7 |
15.3 |
1.9 |
|
Cuba |
0.668 |
153.3 |
19.1 |
5.5 |
6.8 |
|
Cyprus |
0.841 |
141.4 |
17.4 |
3.0 |
3.6 |
|
Czechia |
0.828 |
408.8 |
103.1 |
29.1 |
11.3 |
|
Democratic People's Republic of Korea |
0.558 |
198.4 |
18.0 |
1.6 |
2.0 |
|
Democratic Republic of the Congo |
0.382 |
292.7 |
17.3 |
12.1 |
1.7 |
|
Denmark |
0.89 |
158.0 |
20.6 |
5.2 |
5.0 |
|
Djibouti |
0.459 |
333.5 |
83.6 |
26.4 |
9.9 |
|
Dominica |
0.729 |
259.2 |
34.2 |
11.6 |
1.5 |
|
Dominican Republic |
0.592 |
321.4 |
37.8 |
15.6 |
2.2 |
|
Ecuador |
0.64 |
328.9 |
64.1 |
10.0 |
2.3 |
|
Egypt |
0.658 |
418.2 |
118.4 |
23.5 |
13.9 |
|
El Salvador |
0.573 |
389.1 |
56.3 |
13.5 |
5.0 |
|
Equatorial Guinea |
0.685 |
438.9 |
108.2 |
18.3 |
2.7 |
|
Eritrea |
0.396 |
416.8 |
94.0 |
29.0 |
10.3 |
|
Estonia |
0.835 |
158.9 |
21.5 |
3.1 |
1.2 |
|
Eswatini |
0.577 |
414.1 |
85.5 |
27.4 |
2.8 |
|
Ethiopia |
0.343 |
449.9 |
222.5 |
36.8 |
12.8 |
|
Fiji |
0.664 |
333.3 |
124.3 |
12.8 |
4.3 |
|
Finland |
0.856 |
150.6 |
16.9 |
5.9 |
7.1 |
|
France |
0.834 |
144.7 |
19.9 |
4.7 |
6.3 |
|
Gabon |
0.656 |
370.7 |
37.2 |
16.5 |
2.5 |
|
Gambia |
0.399 |
397.6 |
144.1 |
17.8 |
9.4 |
|
Georgia |
0.702 |
294.3 |
60.6 |
10.4 |
4.6 |
|
Germany |
0.898 |
149.3 |
18.4 |
4.8 |
6.4 |
|
Ghana |
0.557 |
342.2 |
85.2 |
18.2 |
11.2 |
|
Greece |
0.794 |
157.9 |
20.7 |
5.6 |
6.9 |
|
Greenland |
0.761 |
133.2 |
18.2 |
6.1 |
3.2 |
|
Grenada |
0.669 |
262.1 |
35.5 |
11.6 |
1.5 |
|
Guam |
0.813 |
284.0 |
90.6 |
8.1 |
3.1 |
|
Guatemala |
0.526 |
411.3 |
68.5 |
13.1 |
4.4 |
|
Guinea |
0.325 |
423.9 |
115.0 |
34.4 |
12.0 |
|
Guinea-Bissau |
0.355 |
417.5 |
74.8 |
29.6 |
14.2 |
|
Guyana |
0.618 |
271.2 |
37.9 |
13.7 |
1.6 |
|
Haiti |
0.432 |
315.8 |
53.1 |
20.3 |
1.9 |
|
Honduras |
0.496 |
336.8 |
40.0 |
12.8 |
4.2 |
|
Hungary |
0.791 |
151.8 |
29.0 |
4.9 |
5.0 |
|
Iceland |
0.869 |
155.3 |
19.3 |
6.2 |
11.8 |
|
India |
0.566 |
632.2 |
187.8 |
12.2 |
7.9 |
|
Indonesia |
0.66 |
399.9 |
163.2 |
7.7 |
5.3 |
|
Iran |
0.67 |
448.4 |
90.8 |
36.6 |
25.0 |
|
Iraq |
0.671 |
378.8 |
110.0 |
22.7 |
13.2 |
|
Ireland |
0.867 |
153.3 |
19.1 |
5.3 |
6.9 |
|
Israel |
0.803 |
157.3 |
19.7 |
6.2 |
7.4 |
|
Italy |
0.801 |
224.8 |
39.6 |
13.9 |
13.1 |
|
Jamaica |
0.684 |
260.3 |
34.2 |
11.5 |
1.5 |
|
Japan |
0.87 |
154.1 |
16.6 |
5.9 |
1.9 |
|
Jordan |
0.731 |
313.2 |
47.8 |
19.0 |
12.6 |
|
Kazakhstan |
0.723 |
280.7 |
59.6 |
9.9 |
4.6 |
|
Kenya |
0.508 |
404.1 |
127.7 |
24.5 |
15.4 |
|
Kiribati |
0.527 |
323.7 |
118.8 |
12.7 |
3.9 |
|
Kuwait |
0.851 |
335.2 |
90.0 |
16.8 |
10.8 |
|
Kyrgyzstan |
0.596 |
275.4 |
61.5 |
13.8 |
7.7 |
|
Lao People's Democratic Republic |
0.49 |
222.8 |
40.9 |
5.4 |
4.7 |
|
Latvia |
0.82 |
238.3 |
31.1 |
4.9 |
1.8 |
|
Lebanon |
0.708 |
368.4 |
111.2 |
17.9 |
12.9 |
|
Lesotho |
0.507 |
443.4 |
98.2 |
31.3 |
3.0 |
|
Liberia |
0.37 |
365.8 |
94.3 |
27.8 |
9.9 |
|
Libya |
0.709 |
393.8 |
120.5 |
32.4 |
10.1 |
|
Lithuania |
0.843 |
227.0 |
30.6 |
4.8 |
1.8 |
|
Luxembourg |
0.895 |
151.7 |
18.8 |
5.0 |
6.6 |
|
Madagascar |
0.396 |
289.4 |
46.0 |
22.2 |
6.6 |
|
Malawi |
0.384 |
323.9 |
78.8 |
29.2 |
11.8 |
|
Malaysia |
0.737 |
283.5 |
133.1 |
5.6 |
10.8 |
|
Maldives |
0.562 |
263.4 |
38.3 |
6.9 |
6.5 |
|
Mali |
0.263 |
443.6 |
161.6 |
34.9 |
8.2 |
|
Malta |
0.801 |
155.2 |
19.4 |
5.8 |
7.0 |
|
Marshall Islands |
0.544 |
300.2 |
103.3 |
10.8 |
3.2 |
|
Mauritania |
0.496 |
441.7 |
94.9 |
26.1 |
10.9 |
|
Mauritius |
0.705 |
281.5 |
91.2 |
5.9 |
5.9 |
|
Mexico |
0.649 |
328.7 |
69.4 |
11.2 |
4.1 |
|
Micronesia |
0.58 |
309.1 |
108.9 |
11.3 |
3.6 |
|
Monaco |
0.902 |
152.7 |
19.0 |
5.3 |
6.9 |
|
Mongolia |
0.606 |
328.3 |
43.2 |
15.7 |
4.0 |
|
Montenegro |
0.791 |
154.3 |
18.3 |
3.4 |
3.9 |
|
Morocco |
0.548 |
368.0 |
101.3 |
17.5 |
8.6 |
|
Mozambique |
0.307 |
393.2 |
95.7 |
24.8 |
13.5 |
|
Myanmar |
0.521 |
384.9 |
194.7 |
10.4 |
4.8 |
|
Namibia |
0.612 |
385.7 |
79.2 |
25.8 |
2.6 |
|
Nauru |
0.618 |
304.8 |
105.4 |
10.8 |
3.6 |
|
Nepal |
0.422 |
508.6 |
95.8 |
6.9 |
20.3 |
|
Netherlands |
0.883 |
141.4 |
14.9 |
4.8 |
5.8 |
|
New Zealand |
0.84 |
167.2 |
20.9 |
5.3 |
4.2 |
|
Nicaragua |
0.517 |
362.2 |
64.5 |
12.8 |
3.8 |
|
Niger |
0.162 |
553.8 |
135.4 |
41.8 |
12.3 |
|
Nigeria |
0.515 |
509.1 |
206.6 |
36.4 |
19.6 |
|
Niue |
0.711 |
283.7 |
92.7 |
8.3 |
3.0 |
|
North Macedonia |
0.744 |
156.5 |
18.7 |
3.8 |
4.0 |
|
Northern Mariana Islands |
0.771 |
280.4 |
88.9 |
8.1 |
3.0 |
|
Norway |
0.913 |
155.0 |
17.0 |
4.7 |
6.3 |
|
Oman |
0.783 |
524.3 |
186.6 |
21.9 |
17.9 |
|
Pakistan |
0.449 |
589.4 |
308.4 |
13.4 |
11.7 |
|
Palau |
0.738 |
280.8 |
90.3 |
8.6 |
3.0 |
|
Palestine |
0.588 |
363.3 |
130.1 |
16.5 |
9.4 |
|
Panama |
0.686 |
369.5 |
93.9 |
10.8 |
3.7 |
|
Papua New Guinea |
0.394 |
402.6 |
185.7 |
10.4 |
2.5 |
|
Paraguay |
0.638 |
386.8 |
65.0 |
13.9 |
2.9 |
|
Peru |
0.648 |
433.7 |
104.3 |
15.5 |
11.4 |
|
Philippines |
0.623 |
450.5 |
122.9 |
9.1 |
7.1 |
|
Poland |
0.802 |
166.7 |
19.1 |
3.3 |
4.0 |
|
Portugal |
0.743 |
157.6 |
19.8 |
6.2 |
7.2 |
|
Puerto Rico |
0.814 |
246.5 |
28.7 |
8.3 |
1.3 |
|
Qatar |
0.83 |
348.4 |
92.1 |
24.3 |
9.7 |
|
Republic of Korea |
0.878 |
159.3 |
18.6 |
6.4 |
2.2 |
|
Republic of Moldova |
0.696 |
294.9 |
60.1 |
5.7 |
3.1 |
|
Romania |
0.76 |
160.2 |
19.4 |
3.9 |
4.3 |
|
Russian Federation |
0.805 |
345.3 |
26.4 |
7.5 |
1.9 |
|
Rwanda |
0.429 |
253.9 |
30.8 |
18.1 |
7.3 |
|
Saint Kitts and Nevis |
0.746 |
256.6 |
33.2 |
11.0 |
1.5 |
|
Saint Lucia |
0.67 |
256.7 |
33.6 |
11.3 |
1.4 |
|
Saint Vincent and the Grenadines |
0.627 |
265.7 |
36.4 |
12.7 |
1.5 |
|
Samoa |
0.641 |
298.1 |
100.8 |
10.0 |
3.3 |
|
San Marino |
0.884 |
152.7 |
18.9 |
5.4 |
6.8 |
|
Sao Tome and Principe |
0.502 |
376.8 |
96.5 |
25.9 |
11.0 |
|
Saudi Arabia |
0.805 |
527.0 |
182.8 |
28.6 |
19.2 |
|
Senegal |
0.389 |
408.1 |
74.1 |
28.9 |
10.7 |
|
Serbia |
0.767 |
156.2 |
18.6 |
3.5 |
4.0 |
|
Seychelles |
0.724 |
294.4 |
93.4 |
6.2 |
6.2 |
|
Sierra Leone |
0.347 |
357.4 |
57.8 |
30.4 |
7.3 |
|
Singapore |
0.861 |
182.5 |
22.8 |
7.8 |
2.6 |
|
Slovakia |
0.812 |
141.1 |
18.5 |
3.5 |
4.1 |
|
Slovenia |
0.84 |
163.2 |
17.5 |
2.9 |
3.6 |
|
Solomon Islands |
0.407 |
333.0 |
124.9 |
13.9 |
3.7 |
|
Somalia |
0.081 |
317.5 |
89.2 |
29.4 |
8.0 |
|
South Africa |
0.678 |
500.1 |
82.0 |
23.6 |
3.4 |
|
South Sudan |
0.363 |
395.9 |
196.8 |
18.8 |
5.6 |
|
Spain |
0.767 |
260.2 |
43.2 |
12.7 |
14.8 |
|
Sri Lanka |
0.69 |
315.4 |
99.6 |
5.1 |
5.7 |
|
Sudan |
0.515 |
412.8 |
87.1 |
28.0 |
12.1 |
|
Suriname |
0.636 |
309.9 |
60.3 |
16.0 |
3.0 |
|
Sweden |
0.872 |
118.2 |
12.6 |
2.7 |
3.7 |
|
Switzerland |
0.929 |
149.9 |
18.4 |
4.8 |
6.5 |
|
Syrian Arab Republic |
0.619 |
374.4 |
112.7 |
24.2 |
13.4 |
|
Taiwan |
0.868 |
174.6 |
9.6 |
0.6 |
1.1 |
|
Tajikistan |
0.539 |
314.5 |
69.4 |
15.1 |
4.9 |
|
Thailand |
0.687 |
295.4 |
98.5 |
4.3 |
4.2 |
|
Timor-Leste |
0.514 |
458.1 |
102.0 |
15.0 |
14.8 |
|
Togo |
0.417 |
395.7 |
105.6 |
27.6 |
11.5 |
|
Tokelau |
0.626 |
295.7 |
99.6 |
9.7 |
3.2 |
|
Tonga |
0.636 |
243.3 |
59.7 |
8.7 |
2.9 |
|
Trinidad and Tobago |
0.757 |
246.3 |
29.1 |
9.7 |
1.3 |
|
Tunisia |
0.672 |
331.6 |
91.0 |
21.2 |
11.7 |
|
Turkey |
0.748 |
300.8 |
65.4 |
13.7 |
8.0 |
|
Turkmenistan |
0.67 |
320.2 |
110.3 |
8.4 |
3.5 |
|
Tuvalu |
0.589 |
309.6 |
108.1 |
11.0 |
3.5 |
|
Uganda |
0.404 |
269.1 |
50.5 |
19.9 |
6.0 |
|
Ukraine |
0.736 |
240.8 |
35.0 |
5.9 |
2.1 |
|
United Arab Emirates |
0.88 |
335.5 |
88.2 |
21.0 |
11.6 |
|
United Kingdom |
0.847 |
169.1 |
19.6 |
5.5 |
7.6 |
|
United Republic of Tanzania |
0.423 |
402.2 |
94.2 |
31.1 |
12.7 |
|
United States of America |
0.859 |
135.0 |
16.7 |
4.6 |
2.6 |
|
United States Virgin Islands |
0.799 |
253.8 |
31.0 |
9.8 |
1.4 |
|
Uruguay |
0.697 |
178.1 |
12.5 |
5.6 |
3.0 |
|
Uzbekistan |
0.631 |
298.6 |
64.2 |
12.4 |
4.8 |
|
Vanuatu |
0.485 |
273.4 |
87.0 |
8.3 |
3.1 |
|
Venezuela |
0.607 |
338.7 |
49.7 |
11.3 |
3.3 |
|
Viet Nam |
0.617 |
292.7 |
89.3 |
6.6 |
7.3 |
|
Yemen |
0.412 |
408.9 |
120.3 |
21.8 |
14.1 |
|
Zambia |
0.505 |
298.5 |
76.0 |
24.4 |
6.1 |
|
Zimbabwe |
0.476 |
381.4 |
98.1 |
20.2 |
2.5 |
SDI, Socio-Demographic Index; AMD, Age-related macular degeneration; BVI, Blindness and vision loss; ASR, age-standardized; DALY, disability-adjusted life years.