青光眼引流钉植入术治疗难治性开角型青光眼的疗效
阅读量:2500
DOI:oi: 10.3978/ j.issn.1000-4432.2016.09.14
发布日期:2024-12-01
作者:
左成果 ,王朋丽 ,林树芬 ,吴克玲 ,林明楷 ,葛坚
展开更多 '%20fill='white'%20fill-opacity='0.01'/%3e%3cmask%20id='mask0_3477_29692'%20style='mask-type:luminance'%20maskUnits='userSpaceOnUse'%20x='0'%20y='0'%20width='16'%20height='16'%3e%3crect%20id='&%23232;&%23146;&%23153;&%23231;&%23137;&%23136;_2'%20x='16'%20width='16'%20height='16'%20transform='rotate(90%2016%200)'%20fill='white'/%3e%3c/mask%3e%3cg%20mask='url(%23mask0_3477_29692)'%3e%3cpath%20id='&%23232;&%23183;&%23175;&%23229;&%23190;&%23132;'%20d='M14%205L8%2011L2%205'%20stroke='%23333333'%20stroke-width='1.5'%20stroke-linecap='round'%20stroke-linejoin='round'/%3e%3c/g%3e%3c/g%3e%3c/svg%3e)
关键词
青光眼引流钉植入术
难治性开角型青光眼
疗效
摘要
目的:观察青光眼引流钉植入术治疗难治性青光眼的疗效。方法:对联合应用抗青光眼药物无法控制的难治性开角型青光眼19例19只眼行青光眼引流钉植入术,术中应用丝裂霉素(2 mg /6~8 mL,2.5~4 min)及可松解缝线。术后1天、2周和1、3、6、12个月进行随访,观察眼压、视力、滤过泡形态、前房深度、眼底C/D、降眼压药物使用情况、完全及部分成功率
及有无并发症等情况。结果:19例患者中,术后完全成功率78.9%(15例),部分成功率10.5%
(2例),失败10.5%(2例)。术前用3~5种降眼压药,眼压控制于27.7±10.1 mmHg。术后随访仅三人需使用1~2种降压药物。眼压下降组间有显著性意义(P<0.001)。与术前相比,术后1天(11.8±7.7 mmHg,P<0.001),术后2周(10.1±4.2 mmHg,P<0.05),1个月(12.0±4.0 mmHg,P=0.001),6个月(12.2±3.4 mmHg,P<0.001),1年(13.1±3.3 mmHg,P=0.001)及2年随访(14.5±2.5 mmHg,P=0.001),眼压下降均具有显著性意义。术后患者视力、前房深度及C/D改变差异无显著性意
义。末次随访滤过泡弥散隆起57.9%(11例),微囊型15.8%(3例),瘢痕型21.1%(4例),包裹型5.3%(1例)。所有患者均未观察到明显的术后并发症的发生。结论:房水引流钉植入术治疗难治性开角型青光眼手术成功率高,并发症少,值得推广。
全文
难治性青光眼包括新生血管性青光眼、无晶状体眼或人工晶状体植入术后并发青光眼、葡萄膜炎性青光眼、先天性或发育性青光眼、既往行滤过手术失败的青光眼、多次眼内手术后继发的青光
眼、严重的眼外伤后青光眼等。由于既往结膜瘢痕及炎症等因素刺激,术中健康的结膜不充足或巩膜瓣向透明角膜剖切受限制,深层角巩膜组织不能顺利切除,或外伤患者晶体虹膜隔不稳定及悬韧带损伤,小梁切除术中容易玻璃体脱出,术后滤过道易于瘢痕化,最终导致抗青光眼手术失败。目前难治性青光眼的治疗多采用房水引流管植入术、睫状体光凝等,但手术损伤大,并发症多,成功率低。引流钉植入术是近年来应用于治疗开角型青光眼的新型前房植入物手术,与传统小梁切除术比较降压效果好,并发症更少[1-2],但至今针对引流钉治疗难治性开角型青光眼的临床研究相对较少[3-6],本研究旨在观察青光眼引流钉治疗难治性青光眼的疗效及其并发症。
1 资料与方法
1.1 临床资料
1)病例选择从2013年6月至2015年5月连续入组的难治性开角型青光眼共19人(19只眼)。纳入指标:难治性青光眼患者,联合应用抗青光眼药物后,眼压仍>21 mmHg,视功能进行性损害。研究共纳入男性14人14只眼,女性5人5只眼,年龄从20~59岁,平均年龄45.16±17.59岁。
2)青光眼类型:抗青光眼术后眼压不降患者3例(3只眼),其中晚期开角型青光眼2例(2只眼),
发育型青光眼1例( 1只眼);白内障术后继发性青光眼( 2只眼),外伤继发性开角型青光眼12例
(12只眼),Fuch’s综合症2例(2只眼)。
1.2 手术方法
患者取平卧位,常规消毒铺巾,爱尔凯因行表面麻醉。开睑器开睑,4-0丝线悬吊上直肌,结膜下注射利多卡因0.5 mL行局部浸润麻醉。选择相对健康的结膜区,做以穹隆部为基底的“L”形
结膜瓣,宽约3个钟点,分离结膜下组织,烧灼止血。于12点位或相应结膜切口处做以角膜缘为基底的板层巩膜瓣,大小约4 mm × 3 mm,巩膜瓣下
放置浓度为2 mg/6~8 mL的丝裂霉素浸润棉片,放置时间2.5~4 min,然后用平衡盐溶液约100 mL冲洗。以1 mL针头从巩膜瓣下,平行虹膜平面行角巩缘穿刺进入前房,注入粘弹剂,取青光眼引流钉推注器,将P-50引流钉从穿刺口处植入。10-0 尼龙线间断缝合巩膜瓣4针,其中2针可松解缝线,8-0可吸收缝线结膜两侧间断固定于角巩缘各1针,
结膜侧切口连续缝合。
1.3 随访
手术后随访2年,观察患者眼压、视力、滤过泡形态、前房深度、引流钉位置、眼底C/D、有无并发症(高眼压、低眼压、浅前房、前房积血、前房炎症渗出、脉络膜脱离,引流钉堵塞、移位、暴露、脱落,恶性青光眼)等情况。术后滤泡趋扁平充血时拆可松解缝线。所有患者均完成1年随访,17位患者完成2年随访,2位患者完成1年随访资料采集,2年随访失访。
手术成功的评价标准:以末次随访时间的眼压作为评价标准。1)完全成功:在不使用任何 降眼压药物的情况下,眼压控制在5~21 mmHg;2)相对成功:在使用降眼压眼药水的情况下,眼压控制在5~21 mmHg;3)失败:联合用降眼压眼药水,眼压仍高于21 mmHg或需要进一步的青光眼手术。
本组患者术后眼压控制良好,术后完全成功率达78.9%,部分成功率10.5%,失败10.5%,失败原因主要是滤过道纤维增殖,滤过功能降低所致。这一结果与既往Kovacevic等及Zhang等4个月 及9个月随访结果类似,他们同样观察到患者眼压的稳定同时没有出现严重并发症[4-5] 。其原因可能与引流钉的良好生物相容性,术后早期确切的房水引流以及术中对眼内组织扰动较轻微,从而减轻术后炎症反应有关。术中可拆除缝线的应用有助于控制术后滤过量,但引流钉后部翼领的顶压使可拆除缝线难以实现巩膜瓣的相对水密缝合,尽管所有患者没有出现浅前房,但术后早期眼压持续偏低、滤过泡偏大等仍提示滤过过强的存在,这种早期强滤过可能增加术后滤过泡有序维护的难度,增大手术失败的风险。
我们同时观察到,虽然术后完全及条件成功率达89.5%,然而术后功能性滤过泡的形成仅占73.7%。其原因可能与本组患者中外伤性青光眼患者所占比例较大(63.2%)有关。本组外伤性青光 眼的患者,由于其高眼压主要源于术后的炎症、出血、房角损害等等因素,而这些因素随受伤后炎症、出血等因素的吸收,可能逐渐减轻甚至消失。故其眼内压并未持续维持高位,而自发降低 的眼内压可能导致滤过泡形成不良,但远期手术成功率没有降低。
由于引流钉植入术同样需要通过滤过泡达到降眼压目的,和传统的小梁切除术一样,必须面对滤过泡维护中低眼压、浅前房、滤过道渗漏、瘢痕 化、以及引流钉堵塞、移位等问题,虽然本研究中没有明显的并发症出现,可能与病例少、病情相对简单,引流钉的引流量相对少些有关,但在现阶段缺乏有序的、可操作的滤过道建立和维护措施的情 况下,发生并发症的风险仍随时存在。
综上所述,房水引流钉植入术治疗难治性开角型青光眼操作相对简单,充分利用手术优势,规避了健康结膜不足、巩膜瓣下暴露受限、外伤后晶体虹膜隔不稳定等风险,手术成功率高,并 发症少,值得推广。
手术成功的评价标准:以末次随访时间的眼压作为评价标准。1)完全成功:在不使用任何 降眼压药物的情况下,眼压控制在5~21 mmHg;2)相对成功:在使用降眼压眼药水的情况下,眼压控制在5~21 mmHg;3)失败:联合用降眼压眼药水,眼压仍高于21 mmHg或需要进一步的青光眼手术。
1.4 统计方法
采用SPSS16.0统计学软件处理。检验水准α=0.05,P<0.05为差异有统计学意义。
术后约1周在滤过泡趋扁平充血时,拆除调节缝线,没有患者需接受滤过泡分离、长时间滤
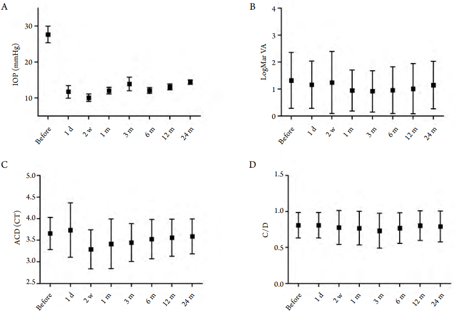
过泡按摩等滤过泡维护措施,未观察到明显的术后并发症的发生。本组患者术前及术后眼压(均值±标准差)见图2A。术前眼压在3~5种降眼压药物下,控制于27.7±10.1 mmHg。术后2例条件成功患者及1例失败患者于术后(2~12个月)开始使用降压药物,随访终点平均使用(0.37)种降压药物。与术前相比,术后1天(11.8±7.7 mmHg,P<0.001),术后2周(10.1 ± 4.2 mmHg,P<0.05),1个月(12.0±4.0 mmHg,P=0.001),3个月(13.9±8.2 mmHg,P<0.001),6个月(12.1±3.5 mmHg,P<0.001),1年(13.1±3.3 mmHg,P<0.001)及2年随访(14.4±2.5 mmHg,P<0.001),眼压下降均具有显著性意义。术后患者视力、C/D改变及前房深度差异无显著性意义。2 结果
本组患者术中MMC使用平均浓度为2 mg/(7.11±0.99) mL,平均应用时间为3.34±0.71 min。
术后完全成功率78.9%(15例),部分成功率10.5%
(2例),共89.5%(17例)。另有2例(10.5%)患者术后眼压>21 mmHg,需再行青光眼手术治疗。末次随访时,获得功能性滤过泡73.7%(14例),其中弥散隆起57.9%(11例)(图1),微囊型15.8%(3例);瘢痕型21.1%(4例),包裹型5.3%(1例)。
图1引流钉位于前房(颞上方),相应部位结膜弥散隆
起,呈贫血状,为功能性滤过泡
Figure 1 The Ex-PRESS glaucoma shunt is located in the
anterior chamber (superior temporal). The corresponding
conjunctiva demonstrated functional anemia and diff use belb
手术前后患者LogMar视力有一定波动(图2B),术后1~3月视力有升高趋势,术前视 力1.32±1.03,升高到至术后3月的0.92±0.77达视力峰值,2年随访视力1.15±0.88。但经统计分析, 视力改变组间差异未见统计学意义(P=0.841)。术后患者前房深度(CT)稳定(图2C),术前前房深度为(3.7±0.37)CT,术后两年(3.6±0.40)CT,经统
计分析发现手术前后患者ACD变化无统计学意义(P=0.126)。术后患者C/D术前0.81±0.18,术后2年随访0.8±0.21,手术前后C/D值比较未见明显差异(图2D,P=0.976)。
青光眼“Ex-PRESS”微型引流钉1998年始应用于临床,是由不锈钢(316VML)材料制成,在体内仅引起轻微的细胞免疫反应。其体型微小,钉长仅2.96 mm,内径50,或200 μm外径400 μm(27G),钉的前段有易于穿刺的锥形穿刺端,及防止脱出的短突,后部有预防穿刺过深的翼领,加强了手术的安全性。其降压机制与小梁手术相同,均为将房水外引流至结膜下。因其微创、操作简便及降压效果确切而获得广泛关注。由于术中无需巩膜内口切除和虹膜周切,避免开窗口时眼压急剧
下降和眼内的不稳定,悬韧带异常时玻璃体通过周切口疝出;术中巩膜瓣下仅需剖切到角巩缘后界前0.5 mm,特别适合鼻上或颞上角巩缘较窄的区域,故该手术较小梁更为便捷,术后并发症更少,特别适合仍有足够结膜的二次手术或外伤性开角型青光眼患者,而引流管植入术因对结膜要求不高,但手术创伤大,预测性差,应作为前部滤过性手术失败后的选择。该手术学习曲线相对简单,经半年随访观察,住院医师行小梁与植钉术效果无明显差异,易于推广[7] 。
图2 患者术前及术后眼内压、LogMar视力、C/D值及前房深度变化情况(均值±标准差)
Figure 2 The preoperative and postoperative intraocular pressures (IOPs), LogMar visual acuity, cup-disc ratio and anterior
chamber depth (mean ± SD)
(A)从图中可见术后各时间点随访眼压较术前明显下降;(B)术后患者LogMar视力有一定波动,术后第3个月的视力达峰
值;(C)术后各时间点患者前房深度(CT)保持稳定;(D)术后C/D值无明显改变(A) Compared with preoperation, the mean IOP significantly reduced in each time point after operation; (B) the best corrected visual acuity
(BCVA) demonstrated fluctuation after operation, and reached peak at 3 months follow up; (C) the anterior chamber depth (CT) remained
stable during follow up; (D) the changes of cup-disc ratio (C/D) were not significant
3 讨论
难治性青光眼是眼科最为常见的致盲性疾病,局部病情较为复杂,患者由于长期高眼压,导致视神经萎缩,视力下降,进而引起失明,部分患者还可能存在眼胀痛、头痛等情况,严重的患者可能需摘除眼球,严重影响患者的生存质量[3] 。
本组患者术后眼压控制良好,术后完全成功率达78.9%,部分成功率10.5%,失败10.5%,失败原因主要是滤过道纤维增殖,滤过功能降低所致。这一结果与既往Kovacevic等及Zhang等4个月 及9个月随访结果类似,他们同样观察到患者眼压的稳定同时没有出现严重并发症[4-5] 。其原因可能与引流钉的良好生物相容性,术后早期确切的房水引流以及术中对眼内组织扰动较轻微,从而减轻术后炎症反应有关。术中可拆除缝线的应用有助于控制术后滤过量,但引流钉后部翼领的顶压使可拆除缝线难以实现巩膜瓣的相对水密缝合,尽管所有患者没有出现浅前房,但术后早期眼压持续偏低、滤过泡偏大等仍提示滤过过强的存在,这种早期强滤过可能增加术后滤过泡有序维护的难度,增大手术失败的风险。
我们同时观察到,虽然术后完全及条件成功率达89.5%,然而术后功能性滤过泡的形成仅占73.7%。其原因可能与本组患者中外伤性青光眼患者所占比例较大(63.2%)有关。本组外伤性青光 眼的患者,由于其高眼压主要源于术后的炎症、出血、房角损害等等因素,而这些因素随受伤后炎症、出血等因素的吸收,可能逐渐减轻甚至消失。故其眼内压并未持续维持高位,而自发降低 的眼内压可能导致滤过泡形成不良,但远期手术成功率没有降低。
由于引流钉植入术同样需要通过滤过泡达到降眼压目的,和传统的小梁切除术一样,必须面对滤过泡维护中低眼压、浅前房、滤过道渗漏、瘢痕 化、以及引流钉堵塞、移位等问题,虽然本研究中没有明显的并发症出现,可能与病例少、病情相对简单,引流钉的引流量相对少些有关,但在现阶段缺乏有序的、可操作的滤过道建立和维护措施的情 况下,发生并发症的风险仍随时存在。
综上所述,房水引流钉植入术治疗难治性开角型青光眼操作相对简单,充分利用手术优势,规避了健康结膜不足、巩膜瓣下暴露受限、外伤后晶体虹膜隔不稳定等风险,手术成功率高,并 发症少,值得推广。
基金
暂无基金信息
参考文献
1. de Jong L, Lafuma A, Aguadé AS, et al. Five-year extension of a clinical trial comparing the EX-PRESS glaucoma ff ltration device and trabeculectomy in primary open-angle glaucoma[J]. Clin Ophthalmol, 2011, 5: 527-533
2. de Jong LA. TT e Ex-PRESS glaucoma shunt versus trabeculectomy in open-angle glaucoma: a prospective randomized study[J]. Adv Ther, 2009, 26(3): 336-345.
3. Guven Yilmaz S, Yildirim S, Degirmenci C, et al. Evaluation of Ex-PRESS mini glaucoma shunt implantation with preoperative intracameral bevacizumab injection in refractory neovascular glaucoma[J]. Eur J Ophthalmol, 2016. [Epub ahead of print].
4. Zhang M, Li B, Sun Y. EX-PRESS and ahmed glaucoma valve in treatment of refractory glaucoma[J]. Acta Ophthalmol, 2016, 94(5): e382-e383.
5. Kovačević S, Čanović S, Didović A, et al. Ex-PRESS miniature glaucoma shunt in treatment of refractory glaucoma[J]. Coll Antropol, 2015, 39(1): 51-53.
6. Ates H, Palamar M, Yagci A, et al. Evaluation of Ex-PRESS mini glaucoma shunt implantation in refractory postpenetrating keratoplasty glaucoma[J]. J Glaucoma, 2010, 19(8): 556-560.
7. Seider MI, Rofagha S, Lin SC, et al. Resident-performed Ex-PRESS shunt implantation versus trabeculectomy[J]. J Glaucoma, 2012, 21(7): 469-474.