内界膜翻瓣术联合空气填充治疗黄斑裂孔的效果评价
关键词
摘要
全文
文章亮点
全层黄斑裂孔(full-thickness macular hole, FTMH)发生在黄斑中心凹处视网膜神经上皮全层缺损的视网膜疾病[1]。玻璃体切割术(pars plana vitrectomy, PPV)联合内界膜(inverted internal limiting membrane, ILM)剥除是治疗黄斑裂孔的标准方法,能达到约90%的黄斑裂孔闭合率,但对于大的黄斑裂孔或高度近视的患者治疗效果不太理想[2-4], 直到2010年Michalewska等[5]引入了一种创新技术,即“翻转ILM瓣”技术,该技术被证明对于大裂孔或近视性黄斑裂孔具有良好的效果。以往的研究表明内界膜翻瓣术有助于黄斑裂孔闭合及视力恢复[6-8]。然而,术后在光学相干断层扫描(optical coherence tomography, OCT)上观察到ILM出现多层折叠膜,在此基础上又提出了一种改良的单层皮瓣技术[9]。八氟丙烷(C3F8)、六氟化硫(SF6)等膨胀气体填塞材料被广泛应用于黄斑裂孔手术中[10-12]。尽管使用膨胀气体可以有效地辅助黄斑裂孔闭合,但严格保持面朝下体位带来的焦虑和疼痛是不可避免的。空气填充可能达到修复黄斑裂孔的作用[13-14]。行空气填充的患者只需要保持1~3 d面向下体位,这样能明显减轻患者术后不适。然而,从既往的文献来看,单层内界膜翻瓣术与空气填充是否能达到令人满意的手术效果尚不清楚。此外,在本研究中,除了最佳矫正视力(best corrected visual acuity, BCVA),我们还通过黄斑平均光敏度及固视稳定性等微视野计的参数来评估手术治疗效果。微视野计之前已被报道可以通过将视网膜视功能具体量化,来客观评价黄斑区功能以及黄斑疾病治疗的有效性[15-16]。因此,本研究旨在通过观察OCT、BCVA和微视野计参数评估内界膜翻瓣术联合空气填充治疗黄斑裂孔的手术疗效。
1 资料与方法
1.1 一般资料
本研究是一项回顾性队列研究,纳入2016年12月—2019年12月在中山眼科中心诊治的特发性或近视性黄斑裂孔的患者,按照纳入及排除标准,共纳入71例患者71眼。本研究遵循《赫尔辛基宣言》的原则,经中山眼科中心机构伦理审查委员会批准(批件号:2019KYPJ175)。所有患者在手术前被告知手术风险及手术后可能出现的后果,并获得患者书面知情同意。纳入标准:1)根据患者眼底检查与OCT检查确诊为黄斑中心凹神经上皮层全层断裂;2)行单层内界膜翻瓣术及空气填充的玻璃体切割术;3)随访6个月以上。排除标准:1)有既往相关眼部手术史患者;2)其他严重眼病者,包括糖尿病视网膜病变、葡萄膜炎等;3)既往眼部外伤及手术史患者;4)合并全身性严重疾病者;5)黄斑孔合并视网膜脱离及任何其他视网膜疾病的患者。
1.2 研究方法
1.2.1 眼科检查及观察指标患者在术前和术后就诊时进行了完整的眼科检查,包括BCVA、间接眼镜检查、OCT和微视野。BCVA 采用国际标准对数视力表,并转换成最小分辨角的对数 (LogMAR) 视力进行后续分析。术后BCVA定义为最后一次随访的数据。通过SD-OCT (Spectralis, Heidelberg Engineering, Heidelberg,德国) 检查黄斑裂孔情况以及测量黄斑裂孔的术前最小直径。黄斑裂孔被定义为在OCT图像显示中央凹全层神经感觉层缺损。使用手动卡尺在通过中央凹的横向扫描OCT图像上,测量最大横截面上神经上皮断裂两侧之间的最小线性直径,定义为黄斑裂孔最小直径。评估在暗室中进行的微视野计(MAIA, Centervue SpA, Padova,意大利)参数,包括黄斑平均光敏度,黄斑完整指数、固视稳定性P1及P2。术后微视野统计参数记录为最后一次随访的数据。黄斑平均光敏度以dB表示,根据黄斑损伤程度分为正常(36~25)、可疑(24~23)、异常(22~0)3个等级。采用P1和P2的值以评估固视稳定性。黄斑完整指数的价值是为了说明患者的反应是正常、可疑或异常的可能性,而非疾病过程的严重程度。并将黄斑裂孔直径按不同孔径大小进行BCVA及微视野分层分析。
1.2.2 手术过程
手术由一位经验丰富的玻璃体视网膜手术医生进行。本研究中所有手术眼都采用标准的25G PPV手术。在手术过程中,用0.125%吲哚菁绿(indocyanine green, ICG)染色后,将ILM从黄斑孔周围以约2~3个圆盘直径的圆形剥离。将其剥离至黄斑孔边缘,ILM皮瓣的上部完全从视网膜上剥离,而另一部分则附着在黄斑孔边缘,再将单层ILM从四周翻转,轻轻按摩使其贴合在黄斑裂孔上。最后,进行充分的气液交换。手术结束时,玻璃体腔内充满空气。嘱咐所有患者术后保持面朝下体位1 ~ 3 d。在玻璃体切割术后3个月发生白内障导致视力受损的患者,还需要行白内障超声乳化联合人工晶状体植入术。
1.2.3 统计学分析
所有数据分析均使用SPSS24及Graphpad Prism 8进行。计量资料符合正态分布采用均数±标准差表示,偏态分布采用中位数和四分位数间距描述,小数视力均转化为logMAR进行统计。术前及术后各项指标采用配对 t 检验。P<0.05为差异有统计学意义。
2 结果
2.1 纳入患者一般情况及临床特征
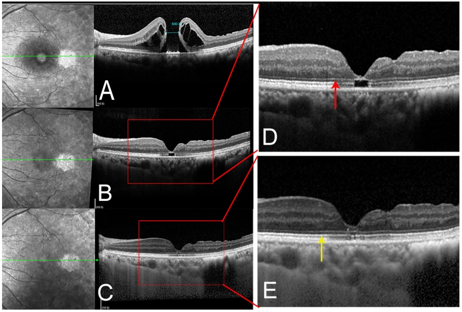
患者年龄为(57.04±12.20)岁,女性4 8例(占67.61%)。4例患者有高度近视史,7例(占9.86%)患者行PPV联合超声乳化联合人工晶状体植入术。随访时间为11(7, 15)个月。总体而言,71例患者中,有65例患者(占91.5%)黄斑裂孔完全闭合。在黄斑裂孔直径<400 µm的患者中,黄斑裂孔闭合率为100%;在黄斑裂孔直径400~<800 µm的患者中,黄斑裂孔闭合率为90.24%(37/41);在黄斑裂孔≥800 µm的患者中,黄斑裂孔闭合率为84.62%(11/13)。典型的OCT图像可见图1。其中52例患者在术后1个月黄斑裂孔闭合,8例患者在术后3个月闭合,5例患者在术后6个月及以上实现裂孔闭合,另外有4例实现平开愈合,2例术后进展为视网膜脱离。
图1 典型的黄斑裂孔术前及术后OCT图像
Figure 1 Representative case on OCT

2.2 视力情况
术前平均BCVA(logMAR)为1.18±0.44,术后平均BCVA(logMAR)为0.70±0.37,术后BCVA较术前明显改善(P<0.001)。术前黄斑裂孔直径为(585.21±267.77)µm。在黄斑裂孔直径<400 µm的患者中,术前平均BCVA(logMAR)由0.87±0.23改善至术后的0.40±0.29,差异具有统计学意义(P<0.001)。在黄斑裂孔直径≥400 µm的患者中,术前平均BCVA(logMAR)由1.31±0.35改善至术后0.82±0.31(P<0.001)。在黄斑裂孔直径超过800 µm组,术前BCVA(logMAR)从1.51±0.21改善到术后1.00±0.25(P = 0.049),而对于完成白内障手术的患者,BCVA(logMAR)从术前的0.99±0.53明显改善到术后的0.23±0.33(P = 0.028)(表1)。
表 1 术前术后视力
Table 1 Preoperative and postoperative visual acuity
|
术前BCVA (logMAR) |
术后BCVA (logMAR) |
统计值 |
P 值 |
|
|
|
(均值±标准差) |
(均值±标准差) |
(t) |
|
|
1.18 ± 0.44 |
0.70 ± 0.37 |
6.035 |
<0.001 |
|
|
黄斑裂孔直径<400 µm者 |
0.87 ± 0.23 |
0.40 ± 0.29 |
5.236 |
<0.001 |
|
黄斑裂孔直径≥400 µm者 |
1.31 ± 0.35 |
0.82 ± 0.31 |
6.011 |
<0.001 |
|
黄斑裂孔直径 ≥800 µm者 |
1.51 ± 0.21 |
1.00 ± 0.25 |
2.179 |
0.049 |
|
联合白内障手术者 |
0.99 ± 0.53 |
0.23 ± 0.33 |
2.447 |
0.028 |
BCVA:最佳矫正视力;logMAR:最小分辨角对数。
BCVA: Best Corrected Visual Acuity; logMAR: Logarithm of the Minimum Angle of Resolution.
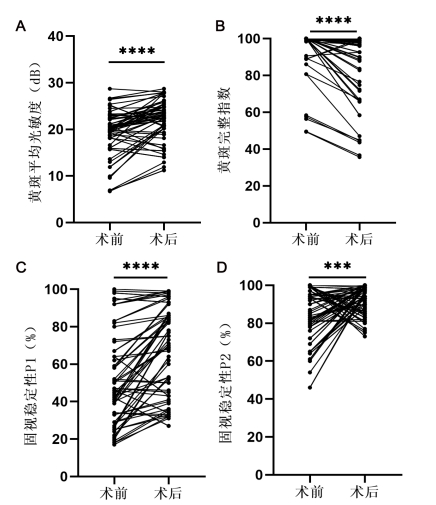
2.3 微视野
图2 术前及术后微视野参数变化趋势图
Figure 2 Parameters of microperimetry before and after surgery

图3 典型的黄斑裂孔术前及术后微视野改变
Figure 3 Representative case on microperimetry before and after surgery
(A)With an average threshold of 9.6dB, macular integrity of 100, and fixation stability of P1=22%, P2=65% preoperatively. (B) With an average threshold of 21.2, macular integrity of 100, and fixation stability of P1=53%, P2=84% 6 months postoperatively.
表 2 不同直径黄斑裂孔的术前术后微视野改变
Table 2 Preoperative and postoperative microperimetric changes in macular holes of different diameters
|
项目 |
MH直径 <400 µm |
MH直径400~<800 µm |
MH直径≥800 µm |
||||||
|
|
术前 |
术后 |
P值 |
术前 |
术后 |
P值 |
术前 |
术后 |
P值 |
|
平均光敏度/dB |
23.39±3.32 |
25.08±2.68 |
0.036 |
19.33±3.29 |
22.76±3.09 |
<0.001 |
13.06±4.59 |
15.74±3.56 |
0.041 |
|
黄斑完整指数 |
82.06±19.19 |
65.91±21.21 |
<0.001 |
99.38±2.22 |
93.83±9.34 |
<0.001 |
99.75±0.57 |
99.15±1.33 |
0.107 |
|
固视稳定性P1 |
82.47±19.64 |
92.76±6.41 |
0.006 |
46.53±14.43 |
61.02±19.98 |
<0.001 |
28.54±11.41 |
45.84±15.11 |
0.002 |
|
固视稳定性P2 |
92.94±6.67 |
91.71±10.99 |
0.742 |
85.24±11.24 |
91.98±7.87 |
0.011 |
66.69±13.48 |
91.23±10.38 |
0.019 |
3 讨论
黄斑裂孔是指黄斑区中心凹神经上皮层出现的解剖结构不连续,可导致患者出现视物变形、中心视力丧失等一系列临床表现,充分释放黄斑孔缘的牵引力是确保手术成功的关键因素。黄斑裂孔修复的内在机制是,通过翻转的内界膜,提供支架和基底膜,促进胶质细胞的增殖,继而促进光感受器恢复,最终填补空洞促进裂孔的闭合[5]。自Michalewska等[5]提出以来,内界膜翻瓣术辅助PPV已被确定为治疗大的黄斑裂孔以及高度近视黄斑裂孔有效的手术方式。本研究采用单层内界膜翻瓣术联合空气填充辅助PPV治疗黄斑裂孔的手术方式,并且从术后黄斑裂孔闭合情况,术后视力改善以及微视野计参数来评估该手术在解剖及功能上能达到的恢复效果,并讨论了单层内界膜翻瓣联合空气填充在治疗黄斑裂孔上的有效性及优越性。本研究表明,手术可以获得解剖和功能上的恢复,黄斑裂孔成功闭合率能达到91.7%,与既往的结果基本一致[17]。从不同直径大小的黄斑裂孔的闭合率来看,内界膜翻瓣术联合空气填充尤其对于黄斑裂孔直径小于800 µm的患者能取得较为满意的裂孔闭合率。不同直径大小的黄斑裂孔术后视力较术前视力均得到明显改善,术后视力的改善归功于椭圆体带的完整性及视锥细胞外节段的恢复[18]。从OCT图像来看,采用单层内界膜翻转术,不扰乱内界膜形态及黄斑孔结构,有利于黄斑裂孔中断裂的外界膜及椭圆体带朝着正常黄斑的结构修复,如图1所示,术前黄斑裂孔最小直径为690 µm,术后3个月外界膜连续性恢复,术后6个月椭圆体带连续性恢复。外界膜及椭圆体带的恢复提示着视力得以明显改善。既往研究表明,内界膜填塞术尽管也能实现黄斑裂孔的闭合,但填塞动作可能扰乱正常的黄斑结构,会阻止视网膜外层的重建,影响外界膜及椭圆体带正常结构的恢复,继而影响视力[19-20]。一项荟萃分析表明尽管在裂孔闭合率上两种术式相差不大,但在视力改善方面内界膜翻瓣术较内界膜填塞有优势[21]。
此外,采用内界膜填塞术的患者视物变形的症状可能会加重,在后续的研究中,我们将采用新的视物变形评估方法[22]展开进一步验证。
在黄斑裂孔手术应用中,玻璃体填充物的选择也十分关键。各种填充物各有优劣,例如硅油是常见的填充物,但往往需要再次手术取出,且硅油毒性容易造成视网膜损伤、高眼压等并发症,而膨胀气体则需要患者保持俯卧位时间较长,且增加了手术感染的风险,不利于患者的恢复[23]。而空气吸收较快,使用空气填充对患者影响小。一项来自韩国的研究,对单层内界膜翻瓣术的改进,并报道了12例合并C3F8、SF6和空气填充的病例。其中2例采用空气填充,均取得成功[9]。本研究患者均采用空气填充,且术后只需要保持面朝下体位1~3 d,这与之前一项研究报道一致,说明术后持续的面朝下体位并非必要的[24]。与膨胀性气体填充相比,该方法消除了术后面朝下体位引起的一过性高眼压、白内障进展等术后并发症,以及减少了维持面朝下体位带来的不适[25]。因此,在单层内界膜翻瓣术治疗黄斑裂孔时,空气是可行的填充物,特别是在中国大多数城市无法获得膨胀气体的情况下。
微视野检查是一种广泛用于评估视网膜疾病黄斑功能的检查手段, 可以在选定的视网膜区域进行准确、可重复、无创的特异性检查,获取黄斑平均光敏度、黄斑完整指数,固视稳定性P1、P2 可作为评价黄斑区视功能的良好指标。本研究观察到微视野相关参数的明显改善。如图3所示,黄斑裂孔的患者术前黄斑平均光敏度明显下降,术后可观察到明显改善,然而,最终结果仍然处于“异常”区域或“可疑”和“异常”的边界,这表明尽管黄斑裂孔手术后 OCT 证实黄斑裂孔闭合,但黄斑区域的形态和功能仍提示存在一定的损害。黄斑完整指数并不代表疾病的严重程度,数值越低,表明该参数的效果越好,本研究结果也显示黄斑完整指数的明显下降,提示黄斑功能的改善。既往研究表明固定稳定性的变化被认为是黄斑裂成功闭合后视力恢复的一个强有力的预测指标[26]。此外,尽管术后 P1 和 P2 保持在“不稳定”或“相对稳定”区域,但是术前及术后固视稳定性参数 P1 和 P2 有显著差异,这表明微视野计可以敏锐地检测到黄斑功能改善的轻微变化。
在本研究中,6例患者手术失败,其中4例实现平开愈合,其主要原因是在气液交换或维持面朝下体位时翻转皮瓣的移位。本研究在第二次PPV手术时,发现了玻璃体腔内漂浮染色的内界膜。内界膜翻瓣术联合空气填充手术操作的难点是避免内界膜瓣的移位,而避免内界膜瓣的移位关键在于防止内界膜下积液。因此,建议在气液交换时,可用笛针多次吸干液体,直到内界膜瓣贴合黄斑裂孔,但要注意避免对黄斑裂孔直接吸引导致内界膜瓣被吸走。另外2例失败的病例发生视网膜脱离,均为高度近视眼。本研究中仅有的4例患者中就有2例出现了视网膜脱离并发症,提示单纯内界膜翻瓣术及空气填充可能不适合这类病例。对于高度近视患者的黄斑裂孔可能需要联合黄斑兜带术才能更有效地防止复发性黄斑裂孔及视网膜脱离的发生。
综上所述,内界膜翻瓣术与空气填充辅助PPV在黄斑裂孔修复中取得了良好的解剖和功能恢复,空气填充是治疗黄斑裂孔的一种有效的填充物,且可以减轻患者因面向下体位带来的痛苦。此外,MAIA 微视野计可以精确评估黄斑区视功能变化,黄斑平均光敏度、黄斑完整指数、固视稳定性P1及P2 可作为评价手术后黄斑区视功能恢复的良好指标。本研究仍然存在很多不足:1)样本数量有限;2)缺乏与不同手术方式的横向对照,如与长效气体填充,或内界膜剥除术或内界膜填塞术的对比,以及保持面向下体位时间的不同对手术疗效的影响;3)本研究是回顾性研究,存在信息偏倚及回访信息不全等问题,后续需要更大样本量,以及开展病例对照研究或前瞻性随机对照临床试验进一步明确该手术治疗的有效性及优越性。
声明
在论文撰写中无使用生成式人工智能。论文撰写中的所有内容均由作者独立完成,并对出版物的真实性和准确性承担全部责任。利益冲突
所有作者均声明不存在利益冲突。开放获取声明
本文适用于知识共享许可协议 (Creative Commons),允许第三方用户按照署名(BY)-非商业性使用(NC)-禁止演绎(ND)(CC BY-NC-ND)的方式共享,即允许第三方对本刊发表的文章进行复制、发行、展览、表演、放映、广播或通过信息网络向公众传播,但在这些过程中必须保留作者署名、仅限于非商业性目的、不得进行演绎创作。基金
参考文献
He F, Zheng L, Dong FT. Comparison of the effects of sterilized air and perfluoropropane gas filling in the surgery for idiopathic full-thickness macular hole[ J]. Zhonghua Yan Ke Za Zhi , 2017, 53(5): 327-331. DOI: 10.3760/cma. j.issn.0412-4081.2017.05.003.