Back

Assessment on the efficacy of video-assisted Wetlab eyelid surgery teaching

Views:10258
DOI:10.3978/j.issn.1000-4432.2022.06.14
Publication Date:2023-02-02
Author(s):
ZHAO Jing ,MAO Zhen ,HUANG Weifeng ,LIN Zhi ,NIE Haohui ,LIANG Xuanwei
View More

Keywords

porcine orbit model
eyelid surgery teaching
Wetlab
video-assisted teaching
efficacy

Abstract

Objective: To assess the efficacy of video-assisted Wetlab eyelid surgery teaching. Methods: From April 2021 to September 2021, the porcine orbit model was used to conduct a Wetlab teaching course on eyelid surgeries among trainees of standardized training for residents in Zhongshan Ophthalmic Center, Sun Yat-sen University. The control group (12 trainees) used conventional teaching methods. Video-assisted teaching was offered to the test group (15 trainees) based on conventional teaching methods. The videos records of the 3rd, 6th, and 9th practices were scored to analyze the teaching efficiency. Results: Trainees from the 2 groups showed a simila baseline and learning curve. Rapid improvement was found between the 3rd and 6th practice (P3–6=0.001 in control group, P3–6<0.001 in test group). The increment was slower between the 6th and 9th practice (P6–9=0.007 from control group, P6–9=0.012 from test group). Longer time was required by trainees from the control group at the 3rd practice [(80.3±16.1) min]. As they practiced more, the time required gradually decreased and remained stable (P3–6=0.040, P6–9=0.886, P3–9=0.020 from control group). Trainees from the test group spent less time at the 3rd practice [(71.7±15.0) min]. The time remained stable during all practices (P3–6=0.568, P3–9=0.519 from test group). Conclusion: Video-assisted teaching can help trainees get familiar with surgical operations and improve the efficiency of practices.

Article

    Wetlab眼科手术教学是一种全新的实践教学模式,近年来在各个住院医师规范化培训基地逐渐开展。以动物眼或模拟器作为手术模型,进行临床前的手术实践训练,在当前大环境下,可满足规培学员的操作需求,进而向临床手术转化。目前,Wetlab眼科手术教学已成为年轻医生手术训练的重要环节。应用最为广泛的操作模型是猪眼球模型,其次是手术模拟器,主要用于白内障摘除、小梁切除术等眼内手术教学[1-3],该模型无法开展眼睑及眼眶手术。有研究[4-5]使用带眼睑的猪眼球进行眼睑手术培训,但由于眼睑组织缺少有效的眶壁支撑,容易移位,眼睑张力与实际相差较大,影响练习效果,且无法用于斜视与眼眶手术的练习。
    为更好地开展眼睑及眼眶手术教学,中山眼科中心率先推出了基于全眼模型的Wetlab外眼手术培训课程[6]。传统的Wetlab教学方法是线上或线下的集中授课与线下练习相结合的形式,并且有带教老师在线下练习时进行指导。在Wetlab外眼手术培训过程中,我们发现练习过程中学员对手术步骤的熟悉和理解程度不够。为此,我们改进了教学方法,在传统教学方法的基础上,通过制作Wetlab外眼手术操作标准视频以及选取部分学员的优秀操作录像进行展播,给学生随时反复观看,以期改善教学效果。在此,我们通过学员的练习表现,对传统教学方法及基于传统教学方法的手术视频辅助教学进行比较,以评价手术视频辅助教学的效果,并对基于全眼模型的Wetlab外眼手术教学初步实践进行经验总结,希望能够为推广使用全眼模型、开展更多手术方式的教学提供借鉴意义。

1 对象与方法

1.1 对象

    回顾2021年4月 至2021年9月中山大学中山眼科中心在住院医师规范化培训的学员中共开展2期Wetlab外眼手术培训课程,第1期 有1 5名 学员参加,第2期有4 4名学员参加。每期课程持续4周,为每位学员提供10次练习机会,要求学员在第3、6、9次练习时进行手术录像。纳入标准:第3、6、9次练习均有保存手术录像,每次录像包含4种手术的完整操作,且录像清晰的学员。排除标准:练习录像缺次,或某次录像未包含4种手术完整操作、手术录像不清晰影响评分。根据入组标准,符合要求的第1期学员共有12人,纳入对照组,符合入组要求的第2期学员共有15人,纳入实验组。

1.2 方法

    Wetlab外眼手术培训课程的教学内容包括4种眼睑手术,分别为睑板腺囊肿切除术、睑内翻倒睫矫正术、累及睑缘的眼睑小肿物切除联合眼睑成形重建术以及泪小管断裂吻合联合泪道义管植入术。第1期(对照组)的教学形式为在线网络授课、线下练习结合每周1次的现场指导课,第2期(实验组)的教学形式在第1期的基础上新增了手术示范视频辅助教学及优秀学员手术录像展播。通过分析学员第3、6、9次练习录像的评分及练习时长数据,作为评价教学效果的指标。
    本研究调取了所有入组学员第3、6、9次 练习录像,打乱顺序后,依据手术评分要点,分别对每次录像中的4种眼睑手术操作的规范程度进行评分。其中睑板腺囊肿切除术总分为1 0,评分要点包括皮下与结膜下局部浸润麻醉、睑板夹的使用、切开方向等;睑内翻倒睫矫正术总分为2 0,评价内容主要包括标记画线、切开皮肤、去除眼轮匝肌条带、缝合肌层等;基本缝合技术评价占1 5分,是在睑内翻矫正术操作过程中,根据缝合皮肤操作的规范性和熟练程度进行的评价,主要内容包括缝线跨度、间距、进针深度、创缘对合情况以及缝合皮肤切口第1针所需要的时间等;睑缘肿物切除联合眼睑成形重建术总分为2 6,主要评价内容为测量肿物大小、标记画线、切除肿物、对位缝合睑缘、缝合睑板与肌层、缝合皮肤与固定睑缘缝线;泪小管断裂吻合联合泪道义管植入术总分为2 9分,主要评价内容有探查伤口、清洁创缘、测量断端长度、放置泪道义管、对位缝合泪小管断端、缝合结膜与皮肤、固定泪道义管等。4种手术、5个方面综合得分合计为100。记录每个手术操作开始到结束的时长,并计算总时长。

1.3 统计学处理

    采用SPSS 23.0统计学软件,评分与时长均以均数±标准差(x±s)表示。2组间均数比较采用独立样本t检验;2组不同练习次数数据的分析采用一般线性模型的多因素方差分析。P<0.05为差异有统计学意义。

2 结果

2.1 2 组学员第 3、6、9 次练习总分与时长

    第1期Wetlab外眼手术课程有15名学员参加,有3名学员练习录像不全,未纳入研究。第2期课程 有4 4名学员参加,其中有1 5名学员未保存练习录像,1 4名学员的练习录像数量不全,均未纳入。最终,第1期学员有12名入选对照组,第2期学员15名入选实验组。
    通过一般线性模型的多因素方差分析结果显示 ,2组学员的得分情况主要受到练习次数影响(P<0.001),分组与练习次数之间不存在交互效应(P=0.600)。而在练习用时方面,练习时长不仅受到练习次数影响(P=0.043),因练习次数与分组之间存在交互效应(P=0.033),提示新增的手术录像教学方法对实验组学员的练习时长有较为显著的影响。
    如表1所示,以第3次练习时2组学员的评分作为基线,2组得分较为一致(P =0.923),且均表现为第3次与第6次练习之间提高更为明显(对照组P3~6=0.001,实验组P3~6<0.001;图1A),第6次与第9次练习之间成绩也有显著提高,但提高幅度较前缩小(对照组P6~9=0.007,实验组P6~9=0.012;图 1A) 。 2组学员第9次练习的得分非常接近,分别为87.0±4.6与88.7±5.2,差异无统计学意义(P=0.374)。
    在练习时长方面,2组学员在第3次练习的基线练习时长存在较大差异,其中对照组学员第3次练习所花的时间为(80.3±16.1) min,而实验组学员第3次练习所花的时间为(71.7±15.0) min,较对照组学员明显减少,但差异无统计学意义(P=0.160)。随着练习次数增多,实验组学员练习时长变化不明显(实验组第3~6次P=0.568,实验组第3~9次P=0.519;图1B),而对照组学员在练习初期所需时间较长,在第3次与第6次练习之间,随着练习次数增多,练习时长显著缩短,差异有统计学意义(对照组第3~6次P=0.040;图1B),而在第6次到第9次练习过程中,时长没有显著变化(对照组第6~9次P=0.886;对照组第3~9次P=0.020)。2组学员第9次练习的平均时长非常接近(P=0.978,表2)。

表1 2组学员练习得分比较
Table 1 Comparison of score between the 2 groups

20230202092933_0182.png
20230202093011_9496.png

图1 2组学员练习评分提高情况(A)与平均练习时长变化(B)
Figure 1 The improvement of scores (A) and the time cost by trainees (B) of the 2 groups

表2 2组学员练习时长比较
Table 2 Comparison of the time cost between the 2 groups

20230202093052_5918.png

   2.2 2 组学员单项操作得分与时长
    分别分析学员在睑板腺囊肿切除术、睑内翻矫正术、眼睑肿物切除联合眼睑成形重建术、泪小管断裂吻合联合泪道义管植入术以及缝合技术5个方面的得分情况如表3、图2所示,除睑板腺囊肿切除术以外,在睑内翻矫正术、缝合技术、眼睑肿物切除联合眼睑成形重建术这3项操作中,实验组学员可以在第6次练习时迅速达到比对照组学员更高的得分,而泪小管断裂吻合手术则需要在第9次练习时达到更好的评分。提示在常规授课和现场指导课的基础上,采用手术录像辅助学习,学员的练习成绩可能提高更快。

表3 2组学员练习单个手术得分情况
Table 3 Scores on each surgery of trainees of the 2 groups

20230202093210_4405.png
20230202093245_8672.png

图2 学员单项手术操作得分情况
Figure 2 Scores of single operation of trainees
(A)睑板腺囊肿切除术(10分);(B)睑内翻倒睫矫正术(20分);(C)缝合技术(15分);(D)眼睑肿物切除联合眼睑原位重建术
(26分);(E)泪小管断裂吻合联合泪道义管植入术(29分)。
(A) Chalazion resection (10 points); (B) Repair of entropion and trichiasis (20 points); (C) Suture technique (15 points); (D) Incision of
eyelid marginal tumor and reconstruction of the eyelid (26 points); (E) Canaliculi laceration repair with silicone intubation (29 points).

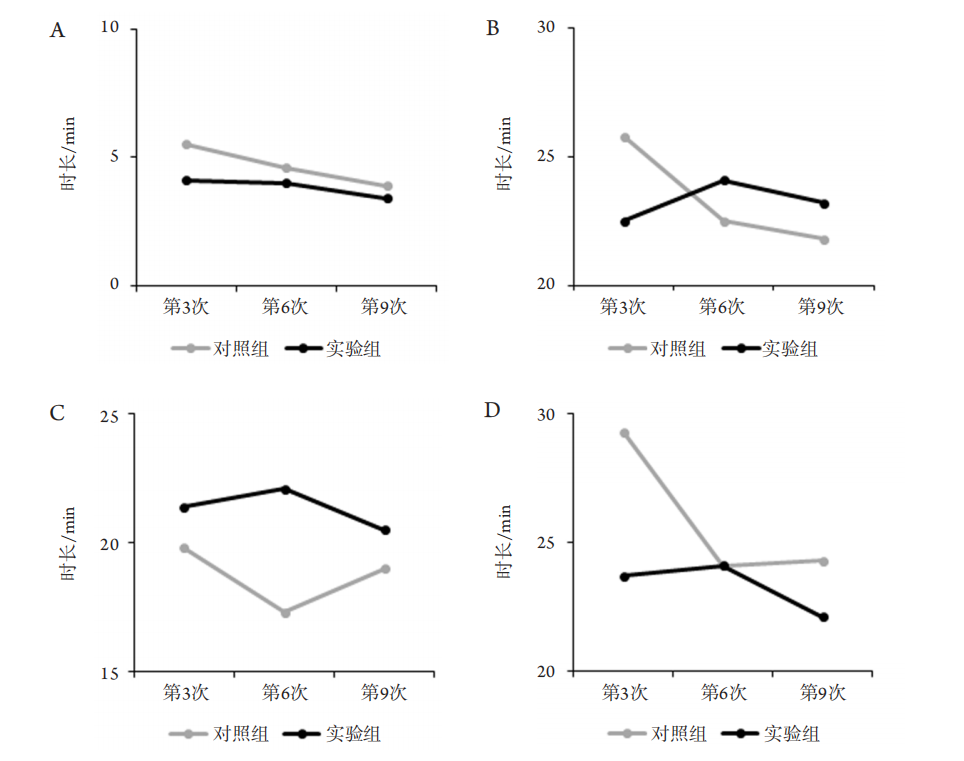
    进而对学员睑板腺囊肿切除术、睑内翻倒睫矫正术、眼睑肿物切除联合眼睑成形重建术、泪小管断裂吻合术4项手术练习时长进行分析,如 表4、 图3所示,除睑缘肿物切除手术外,对照组学员在第 3 次练习中,其他 3 项手术的基线时长均较实验组长,随着练习次数增加,操作时长显著缩短。而实验组学员的各项手术操作时长均较为稳定,随着练习次数增加无显著波动。提示对照组学员需要在练习过程中逐步掌握手术步骤,而在手术视频辅助教学的情况下,实验组学员可以更快地掌握手术操作,缩短学习周期。

表4 2组学员练习单个手术时长
Table 4 Time cost on each surgery of trainees of the 2 groups

20230202093403_4520.png

20230202093451_5155.png

图3 学员练习单个手术操作时长变化情况
Figure 3 Time cost of trainees for each surgery
(A)睑板腺囊肿切除术;(B)睑内翻倒睫矫正术;(C)眼睑肿物切除联合眼睑原位重建术;(D)泪小管断裂吻合联合泪道义管
植入术。
(A) Chalazion resection; (B) Repair of entropion and trichiasis; (C) Incision of eyelid marginal tumor and reconstruction of the eyelid; (D)
Canaliculi laceration repair with silicone intubation.

3 讨论

    为解除以往的Wetlab操作模型对外眼手术教学的限制,弥补眼科Wetlab手术教学只重视眼球手术、忽视外眼手术教学的不足,我们率先使用全眼模型作为外眼手术教学的模型[6],在眼睑手术教学方面取得了初步成效,并引入了标准手术操作视频作为一种辅助教学的手段。
    全眼模型使用新鲜动物头部进行制作。在制作过程中,首先去除下颚,将动物头部从正中央劈开,依次在距离眶骨上缘、外侧、下缘约2 cm处切除头部及吻部的多余组织,形成接近方形的组织块,去除表面碎骨与血渍,于4 ℃保存,当天使用。全眼模型最大程度上保留了眼部组织的原有结构,能够很好地还原手术场景,为眼睑手术、眼外肌手术、眼眶手术,甚至外路眼底手术教学提供了优良的条件,使学员有更多动手的机会,加深对手术的理解,提高学习积极性。手术录像作为手术过程的重要影像资料,在普外科、小儿外科、泌尿科、妇产科及眼耳鼻喉等多个手术学科的学术交流、教学与评价中发挥重要作用[7-16]。一项针对医学生、住院医师及教职工的调查[17]显示:90%的受访者使用手术视频进行手术准备,其中高达86%的视频来源于YouTube网站。在另一项对普外科住院医师对视频教育资源的需求评估调查[18]中,视频教育是住院医师用于准备手术最常学习的资源。其中,对于每个步骤的详细指导是手术教学视频最重要的内容。标准化的视频教学可以极大提高住院医师的手术学习效率[7,19-20]
    本研究中,对照组的教学形式是传统的线上授课结合现场指导课,实验组在传统的教学形式基础上增加了手术示教视频以及优秀学员操作录像展播辅助教学。比较2组学员的练习表现发现2组学员的基线评分一致,在练习过程中,学习曲线相似,在第3次和第6次练习之间得分提高较快,第6次到第9次得分提高的速度放缓。而在练习用时方面,对照组学员在早期需要花更多的时间练习,在积累了熟练度后,练习时间逐渐缩短并保持稳定,而实验组学员在练习初期所花的时间更短,在整个练习期间用时保持稳定,提示手术视频辅助教学有助于加快学员熟悉手术操作,缩短学习周期。
    回顾录像的过程时发现尽管学员均能够按照步骤完成手术,然而部分学员形成了错误的操作习惯,在练习后期,制约得分进一步提高的因素主要是重复的不规范操作,如睑板腺囊肿切除术前只进行结膜的麻醉,未进行皮肤面麻醉就放置睑板夹;切除肿物后眼睑成形重建过程中,睑缘缝线进针深度过浅,引起成角畸形或睑缘对合不佳;同样是进行眼睑成形重建过程中,缝合睑板时未翻转眼睑检查缝线是否穿过睑结膜面;进行下睑内翻矫正手术,缝合肌层及皮肤时,为了操作方便,未去除前一步骤放置的睑板夹,从而影响对手术效果的判断等。这些问题在2组学员中存在共性,反映出对手术步骤细节理解不到位,且不清楚这些步骤在临床实践中的作用。为帮助学员进一步改进,必须对一些细节操作在真实手术中的意义进行详细解释,从而加深学员对手术的理解,提高临床模拟度,从而达到更好的训练效果。后期通过剪辑练习录像,制作“错题集”,帮助更多的学员进行细节改进。
    在回顾和总结教学效果的过程中,我们发现,第2期课程由于学员人数显著增多,而能够录像的操作位有限,导致学员反映工作之余的时段,录像位预约难度较高。由于不影响最终考试成绩,部分学员没有进行练习录像或练习录像不全、质量不高,影响了本研究最终纳入实验组的人数。受到样本量的限制,尽管我们能够从现有数据中观察到一些趋势,但部分数据在统计学上没有显著差异。在接下来的教学实践过程中,我们将继续对学员的学习情况进行观察与总结,并作出针对性的改进。
    综上所述,手术视频辅助教学有助于加快学员熟悉手术操作,提高练习效率,可作为传统教学方式的有效补充。

开放获取声明

    本文适用于知识共享许可协议 ( Creative Commons),允许第三方用户按照署名(BY)-非商业性使用(NC)-禁止演绎(ND)(CC BY-NC-ND)的方式共享,即允许第三方对本刊发表的文章进行复制、发行、展览、表演、放映、广播或通过信息网络向公众传播,但在这些过程中必须保留作者署名、仅限于非商业性目的、不得进行演绎创作。详情请访问:https://creativecommons.org/licenses/by-nc-nd/4.0/

Funding

No Fund Information

References

1. Pan M, Harcharik S, Moskalenko M, et al. Instructional video for teaching venepuncture[ J]. Clin Teach, 2014, 11(6): 436-441.
2. Mishra K, Mathai M, Della Rocca RC, et al. Improving resident performance in oculoplastic surgery: a new curriculum using surgical wet laboratory videos[ J]. J Surg Educ, 2017, 74(5): 837-842.
3. Sell NM, Cassidy DJ, McKinley SK, et al. A needs assessment of video- based education resources among general surgery residents[ J]. J Surg Res, 2021, 263: 116-123.
4. Rapp AK, Healy MG, Charlton ME, et al. YouTube is the most frequently used educational video source for surgical preparation[ J]. J Surg Educ, 2016, 73(6): 1072-1076.
5. McQueen S, McKinnon V, VanderBeek L, et al. Video-based assessment in surgical education: a scoping review[ J]. J Surg Educ, 2019, 76(6): 1645-1654.
6. Chartrand G, Soucisse M, Dubé P, et al. Self-directed learning by video as a means to improve technical skills in surgery residents: a randomized controlled trial[ J]. BMC Med Educ, 2021, 21(1): 91.
7. Geary A, Wen Q, Adrianzén R, et al. The impact of distance cataract surgical wet laboratory training on cataract surgical competency of ophthalmology residents[ J]. BMC Med Educ, 2021, 21(1): 219.
8. Hassanpour N, Chen R, Baikpour M, et al. Video observation of procedural skills for assessment of trabeculectomy performed by residents[ J]. J Curr Ophthalmol, 2016, 28(2): 61-64.
9. Ghiasian L, Hadavandkhani A, Abdolalizadeh P, et al. Comparison of video-based observation and direct observation for assessing the operative performance of residents undergoing phacoemulsification training[ J]. Indian J Ophthalmol, 2021, 69(3): 574-578.
10. Sheahan G, Reznick R, Klinger D, et al. Comparison of personal video technology for teaching and assessment of surgical skills[ J]. J Grad Med Educ, 2019, 11(3): 328-31.
11. Zandi R , Alexander A , Chen L, et al. Standardized surgical video curriculum for teaching residents principles of abdominal hysterectomy[ J]. South Med J, 2021, 114(6): 344-349.
12. Hotokezaka M, Chijiiwa K, Kondo K, et al. Video monitoring and slide and video presentations as tools for surgical education[ J]. Hepatogastroenterology, 2008, 55(86/87): 1519-1522.
13. Yanagisawa E. The use of video in ENT endoscopy: its value in teaching[ J]. Ear Nose Throat J, 1994, 73(10): 754-763.
14. Coppola V, Autorino G, Cerulo M, et al. Video-based coaching: an efficient learning and teaching modality for pediatric surgery and pediatric urology training program[ J]. J Laparoendosc Adv Surg Tech A, 2021, 31(5): 594-597.
15. 赵静, 陈荣新, 张小娟, 等. 全眼模型在Wetlab眼科手术教学中的 应用[ J]. 眼科学报, 2021, 36(10): 830-835.
ZHAO Jing, CHEN Rongxin, ZHANG Xiaojuan, et al. Application of porcine orbit model in ophthalmic surgery teaching[ J]. Yan Ke Xue Bao, 2021, 36(10): 830-835.
16. Nakashizuka H, Wakatsuki Y, Machida Y, et al. Wet laboratory training using porcine eyes with eyelids[ J]. Can J Ophthalmol, 2017, 52(4): 398-402.
17. 崔莹, 李冬梅. Wetlab培训在眼整形手术教学中的应用[ J]. 眼科, 2019, 28(5): 392-394.
CUI Ying, LI Dongmei. Application of Wetlab training course in the teaching of oculoplastic surgeries[ J]. Ophthalmology in China, 2019, 28(5): 392-394.
18. 吴航, 戴惟葭, 董莹, 等. 手术模拟器培训眼科青年医师显微手术 技能的观察研究[ J]. 国际眼科杂志, 2015, 15(7): 1240-1241.
WU Hang, DAI Weijia, DONG Ying, et al. Application effect of surgical simulator to improve the microsurgical skills in junior ophthalmologist[ J]. International Eye Science, 2015, 15(7): 1240-1241.
19. 郑克, 余晓波, 罗怡, 等. 培训眼科住院医师显微手术技能的探 索[ J]. 中国继续医学教育, 2020, 12(13): 64-67.
ZHENG Ke, YU Xiaobo, LUO Yi, et al. Exploration of microsurgery skill training for ophthalmologic resident[ J]. China Continuing Medical Education, 2020, 12(13): 64-67.
20. 王海燕, 唐炘, 张风. 眼科住院医师显微手术技能考核的标准化 研究[ J]. 医学教育管理, 2015(2): 126-128.
WANG Haiyan, TANG Xin, ZHANG Feng. Study on the evaluation system of ophthalmologic microsurgery in standardized resident training[ J]. Medical Education Management, 2015(2): 126-128.

Related Articles