返回

四种仪器在暗室环境下测量白内障患者Kappa角的对比研究

阅读量:8352
DOI:10.3978/j.issn.1000-4432.2021.07.10
发布日期:2023-06-01
作者:
刘帅帅 ,张霜 ,丁蕾 ,丁晓晨 ,程梦雅
展开更多

关键词

白内障
Kappa角
瞳孔

摘要

目的:比较四种不同原理的仪器在暗室中对年龄相关性白内障患者Kappa角测量的一致性。方法:对年龄相关性白内障术前60例(60只眼),暗室中适应10 min后,分别应用iTrace视觉分析仪、Pentacam HR、Lenstar900、IOLMaster700测量瞳孔直径和Kappa角。四种仪器间所测量的数据比较采用单因素方差分析检验和Kruskal-Wallis非参数检验,一致性比较采用Bland-Altman分析。结果:iTrace、Pentacam HR、Lenstar900、IOLMaster700测量瞳孔直径分别为(4.64±0.71) mm,(2.96±0.47) mm,(4.86±0.76) mm,(4.66±0.92) mm;Kappa角大小分别为(0.227±0.121) mm,(0.161±0.09) mm,(0.2±0.124) mm,(0.203±0.104) mm;大于0.5 mm的Kappa角比例分比为3.33%、3.33%、1.67%、1.67%;Pentacam和iTrace的Kappa角测量结果有统计学意义(P=0.001),Pentacam和Lenstar900、IOLMaster700的Kappa角测量结果差异无统计学意义(P=0.044,0.036),其他三种仪器之间Kappa角测量结果差异均无统计学意义(P=0.181,0.245,0.860); 60例被检测者对iTrace、PentacamHR、Lenstar900、IOLMaster700四种仪器测量过程中光强度主观评分结果显示60例(100%)被检测者认为Pentacam HR在测量过程中有明显的不适感,40例(66.67%)被检测者认为IOLMaster700检测过程中舒适感最好,结果差异有统计学意义(χ2=191.236,P<0.001)。结论:Pentacam HR与iTrace、Lenstar900和IOLMaster700三种仪器在暗室中Kappa角的测量结果一致性稍差,临床上需谨慎替换使用。

全文

白内障摘除联合多焦点人工晶状体植入手术后,降低术后视觉质量的原因之一就是视觉干扰,如眩光和光晕等现象。Karhanová等[1]通过分析植入多焦点人工晶状体术后眼眩光、光晕现象与Kappa角及其他眼部生物学参数之间的关系。Moshirfar等[2]利用Kappa角调整多焦点人工晶状体的位置减少眩光和光晕现象,均得出Kappa角在白内障摘除联合多焦点人工晶状体植入手术中具有重要意义。而Kappa角是指视轴与瞳孔中心的夹角。中国多焦点人工晶状体临床应用专家共识建议:暗室瞳孔在3.0~5.5 mm之间及Kappa角<0.5 mm或小于多焦点人工晶状体中央折射光学区直径的一半作为植入多焦点人工晶状体适应证[3],因为大Kappa角意味着视轴会通过人工晶状体环的旁中心区域,而不是瞳孔区中心和晶状体中心[4],造成术后的视觉干扰现象。而既往研究[5]显示暗室瞳孔会发生偏移导致Kappa角增大,因此对于暗室下Kappa角及瞳孔的测量对于多焦点人工晶状体术前评估具有重要作用。本研究拟对iTrace、Pentacam HR、Lenstar900、IOLMaster700四种仪器所测得的暗室下Kappa角和瞳孔大小进行对比研究,比较四种仪器一致性,为临床应用提供参考。

1 资料与方法

1.1 一般资料

收集安徽医科大学附属合肥爱尔眼科医院蜀山院区2020年12月拟行白内障超声乳化吸除联合人工晶状体植入手术的年龄相关性白内障患者。
入选标准:年龄相关性白内障,根据Lens Opacities III评分系统(LOCS III),晶状体混浊分级C3及以下,核NO3 NC3及以下。
排除标准:患者存在角膜疾病、青光眼、虹膜疾病、先天性眼球发育异常,外伤史、手术史等。白内障为明显的后囊下浑浊,C4及以上、NO4 NC4及以上,以前戴过角膜接触镜或无法配合检查者。所有患者均选择右眼纳入研究,减少双眼纳入的偏倚[6]。本研究获得安徽医科大学附属爱尔眼科医院蜀山院区医学伦理委员会的批准[202101],符合《赫尔辛基宣言》。所有患者自愿参加此项研究,并签署知情同意书。

1.2 检查方法

所有测量均在同一暗室检查环境中暗适应10 min后由同一操作者完成,所有被检查者为自然瞳孔状态,在15 min内依次应用iTrace、Pentacam H R、Lenstar900和IOLMaster700四种仪器分别对每只被检测眼进行测量,所有检查仪器设定为自动测量模式。测量后记录瞳孔直径及Kappa角, iTrace 、 Pentacam HR 、Lenstar900记录视轴偏心距X Y坐标后转换为弦长(Kappa=(X2+ Y2) 1/2 )作为Kappa角测量结果,IOLMaster700测量结果CWC(Chang-Waring Chord)值即Kappa角结果。

1.3 仪器设备

采用iTrace (美国tracey公司,版本6.2.0 2018-06-01C)、Pentacam HR(德国OCULUS公司,版本6.08r30)、Lenstar900(瑞士Haag-Streit公司,版本8.2.2.0)、IOLMaster700(德国Zeiss公司,版本1.80.10.61129)测量患者Kappa角和对应的瞳孔直径,并记录每名检查患者对检查过程中光刺激强度的主观评分。主观评分分为4级,用+,+ +,+++,++++表示:1级(+)表示较弱的光刺激,被检测眼在检查过程非常舒适;2级(++)表示比1级光刺激稍强,但被检测眼在检查过程中仍无明显不适;3级(+++)表示检测过程中光刺激较强,被检测眼在检查过程中有一过性不适,但仍能忍受;4级(++++)表示光刺激很强,被检测眼在检查过程中有明显的不适感,甚至因明显的眨眼反射而需要多次反复检查才能得出可靠结果。每种测量时间不超过5 min,被检测者同样头位保持正位,下颌置于下颌托上,额头贴紧额托,睁大双眼注视仪器内注视点,采用自动测量模式,每只眼睛进行三次连续测量,记录三次连续有效测量结果的平均值。

1.4 统计学处理

采用SPSS 22.0及Graphpad Prism8软件分析数据。所有参数经过Kolmogorov-Smirnov检验是否符合正态分布,符合正态分布的计量资料以均数±标准差( x ± s )表示,非正态分布的计量资料采用中位数(P25,P75)表示,等级资料用率(%)表示。正态分布数据总体差异采用单因素方差分析检验,进一步两两比较采用LSD检验(Least Significant Difference)。非正态分布数据或等级资料采用Kruskal-Wallis非参数检验,进一步两两比较采用Bonferroni检验,分析四种仪器测量结果的一致性。采用Bland-Altman分析及组内相关系数(intraclass correlation coefficient,ICC)对每两种仪器Kappa角测量结果之间一致性进行评估,同时计算出95%一致性界限(95%limits of agreement,95%LOA)作为一致性评价指标。单因素方差分析及非参数检验的检验水准:α=0.05,四种仪器两两间比较LSD检验的检验水准:α=0.008。P<0.05为差异有统计学意义。

2 结果

2.1 一般情况

本研究对象为年龄相关性白内障患者60人(60只眼),其中男22例(22只眼)、女3 8例(38只眼),年龄64.05±5.14岁。眼轴:23.19±0.91 mm,角膜曲率:44.29±1.66D。

2.2 4种仪器测量瞳孔直径的对比

    iTrace、Pentacam HR、Lenstar900、IOLMaster700测量的瞳孔直径分别为(4.64 ± 0.71) mm 、(2.96±0.47) mm、(4.86±0.76) mm、(4.66±0.92) mm,结果差异有统计学意义(F =132.001,P <0.001),进一步用LSD检验(Least Significant Difference)进行两两比较显示,iTrace和Pentacam HR、iTrace和Lenstar900、iTrace和IOLMaster700、Pentacam HR和Lenstar900、Pentacam HR和IOLMaster700瞳孔直径测量结果差异均有统计学意义(均P<0.001),Lenstar900和IOLMaster700瞳孔直径测量结果差异无统计学意义(P =0.134)。iTrace和Pentacam HR、iTrace和Lenstar900、iTrace和IOLMaster700 、 Pentacam HR和Lenstar900、Pentacam HR和IOLMaster700、Lenstar900和IOLMaster700测量瞳孔直径结果ICC为0.700、0.753、0.812、0.641、0.669、0.784(表1,表2)。

表1 四种测量仪器对白内障眼瞳孔直径和Kappa角测量结果(n=60,x±s)
Table 1 Measurement results of pupil diameter and angle Kappa of cataract eyes by four kinds of measuring instruments (n=60, x±s)

20230602145348_4417.png

表2 四种测量仪器对白内障眼瞳孔直径测量结果的差异性分析 (n=60)
Table 2 Difffference analysis of four kinds of measuring instruments on the results of pupil diameter in cataract eyes (n=60)

20230602145425_5199.png

2.3 4种仪器测量Kappa角的分布

iTrace 、 Pentacam HR 、 Lenstar900 、IOLMaster700测量的Kappa角大于0.5 mm的比例分别为3.33%、3.33%、1.67%、1.67%,差异无统计学意义(χ2=0.684,P=0.877,图1)。
20230602145503_4266.png

图1 白内障人群Kappa角在iTrace、Pentacam HR、Lenstar900、IOLMaster700四种仪器测量中的分布(60只眼)
Figure 1 The distribution of angle Kappa in cataract people measured by iTrace, Pentacam HR, Lenstar900 and IOLmaster700 (60 eyes)

2.4 4种仪器测量Kappa角的对比

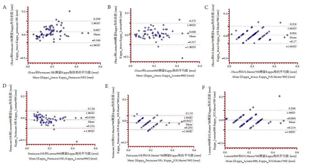
iTrace 、 Pentacam HR 、 Lenstar900 、IOLMaster700四种仪器测量的Kappa角结果分别为(0.227 ± 0.121) mm、(0.161 ± 0.09) mm、(0.200±0.124) mm、(0.203±0.104) mm。结果差异有统计学意义( F=3.694,P=0.013),进一步用LSD检验进行两两比较显示,iTrace和Pentacam H R、Pentacam HR和Lenstar900、Pentacam HR和IOLMaster700之间Kappa角测量结果差异均有统计学意义(P =0.001,0.044,0.036),iTrace和Lenstar900、iTrace和IOLMaster700、Lenstar900和IOLMaster700Kappa角测量结果差异无统计学意义(P=0.181,0.245,0.860)。iTrace和Pentacam HR、iTrace和Lenstar900、iTrace和IOLMaster700、Pentacam HR和Lenstar900、Pentacam HR和IOLMaster700、Lenstar900和IOLMaster700测量Kappa角的ICC为0.402、0.476、0.624、0.601、0.645、0.571(表1,表3)。四种仪器Bland-Altman分析显示:四种仪器的Kappa角两两差值的均值均接近于0,且95%LoA范围均<0.5 mm,一致性较好(图2)。

表3 四种测量仪器对白内障眼Kappa角测量结果的一致性分析(n=60)
Table 3 Consistency analysis of angle Kappa measurement results of cataract eyes (n=60)

20230602145709_8383.png
20230602145823_9190.png

图2 四种仪器测量60眼白内障眼两两间Bland-Altman一致性分析结果图
Figure 2 Results of Bland-Altman consistency analysis in pairs of 60 cataract eyes measured by four instruments
(A) iTrace和Pentacam HR测量Kappa角结果的一致性分析。(B) iTrace和Lenstar900测量Kappa角结果的一致性分析。(C) iTrace和IOLMaster700测量Kappa角结果的一致性分析。(D) Pentacam HR和Lenstar900测量Kappa角结果的一致性分析。(E) PentacamHR和IOLMaster700测量Kappa角结果的一致性分析。(F) Lenstar900和IOLMaster700测量Kappa角结果的一致性分析。
(A) Consistency analysis of angle Kappa measured by iTrace and Pentacam HR. (B) Consistency analysis of measurement of angle Kappa by iTrace and Lenstar900. (C) Consistency analysis of measurement of angle Kappa by iTrace and IOLMaster700. (D) Consistency analysis of angle Kappa measurements by Pentacam HR and Lenstar900. (E) Consistency analysis of angle Kappa measurements by Pentacam HR and IOLMaster700. (F) Consistency analysis for measurement of angle Kappa by Lenstar900 and IOLMaster 700.

2.5 患者对四种仪器检查光强度主观评分的对比

60例患者对iTrace 、 Pentacam HR 、Lenstar900、IOLMaster700四种仪器测量过程中光强度主观评分结果(表4 )显示:100%的患者认为Pentacam HR在测量过程中有明显的不适感,66.67%的患者认为IOLMaster 700测量过程中的舒适感最好,结果差异有统计学意义(χ2=191.236,P<0.001)。进一步用Bonferroni检验进行两两比较显示,四种仪器评分结果差异均有统计学意义(均P<0.001)。

表4 60例患者对四种仪器测量过程中光强度主观评分结果(n=60)
Table 4 The subjective score of light intensity of 60 patients in the process of four kinds of instrument measurement (n=60)

20230602150059_2193.png

3 讨论

随着多焦点人工晶状体在临床上应用的普及,随之出现的光学干扰等现象困扰着临床医生对多焦点人工晶状体的应用,特别是夜间或暗室中光学干扰显现也是导致患者术后满意度下降的最常见原因[7]。大量临床研究证实,白内障术后会出现IOL偏心现象[8],如Kappa角过大可进一步导致多焦点人工晶状体的功能性偏心,有研究[9-10]指出,在接受多焦点人工晶状体植入的患者中,术前Kappa角过大与术后眩光和光晕的发生相关。因此Kappa角对眼科临床应用多焦点人工晶状体具有重要意义。
本研究中iTrace、Pentacam HR、Lenstar900、IOLMaster700四种生物测量仪测得的Kappa角分布无明显统计学差异,且Kappa角>0.5 mm的比例均不足5%,提示大部分人均适合行多焦点人工晶状体植入,与梁健恒等[11]研究结果一致。Bland-Altman分析显示四种仪器的Kappa角两两差值的均值均接近于0,且95%LoA范围均<0.5 mm,一致性较好,但四种仪器间Kappa角测量结果存在统计学差异,可能存在以下原因。
首先,四种仪器的测量原理存在差异。既往国内外对于Kappa角的研究测量多采用同视机或者Orbscan,近年来随着眼科临床测量技术的不断突破,各种多用途眼科测量仪器逐渐在临床普及,只需一次检查即可获取多组眼部数据,优化了患者的检查流程,且操作更方便、更快捷。四种仪器虽然均可测量患者Kappa角,为临床应用提供参考。但因四种仪器测量原理不同,iTrace采用Placido环和光线追踪相结合计算Kappa角,Pentacam HR采用475 nm波长蓝色裂隙光扫描眼前节结构,并计算瞳孔中心和角膜顶点之间的距离得到Kappa角,Lenstar900采用低相干光原理测量光轴与瞳孔中心之间距离得出Kappa角,而IOLMaster700则采用扫频OCT技术,测量瞳孔中心和光轴之间的距离得到Kappa角,因此,仪器间测量原理的差异可能影响Kappa角测量的结果,且既往研究[11]认为IOLMaster700因可视化固视测量技术,可以提高Kappa角测量结果的可重复性,原理上存在一定的优势。
其次,瞳孔测量大小差异对Kappa角测量结果的影响。Kappa角结果差异主要为Pentacam HR和iTrace结果之间,本研究与Qin等[12]在明室环境中对Pentacam、iTrace、Lenstar900三种仪器测量的Kappa角比较后发现,Pentacam和Lenstar900对kappa角测量的差异没有统计学意义,Pentacam和iTrace之间需要谨慎比较Kappa角的结果相一致。李孟琼等[5]研究显示瞳孔直径会直接影响到Kappa角的大小,发现不同明暗度下瞳孔大小的改变会影响Kappa角的大小,即光线由明转暗时,双眼瞳孔中心多向颞下方漂移,即Kappa角呈增大趋势。而本研究通过在暗室下对四种仪器的瞳孔大小和Kappa角的测量结果显示:四种仪器瞳孔测量结果除Lenstar900和IOLMaster700瞳孔直径测量结果差异无统计学意义,其余两两仪器测量瞳孔结果均存在统计学差异,结合既往樊保良等[13]及Arriola-Villalobos等[14]研究认为iTrace、Lenstar900和IOLMaster700瞳孔直径的测量结果一致性好,而本研究中iTrace与Lenstar900、IOLMaster700之间瞳孔直径测量结果虽然存在统计学意义,但Kappa角测量结果具有良好的一致性。可能与三种仪器瞳孔测量差异较小有关,而此差异来源可能为样本量偏少,仪器测量原理不同、测量误差等因素引起。因此本研究认为iTrace、Lenstar900和IOLMaster 700Kappa角测量结果两两间差异无统计学差异,一致性好,而Pentacam HR与其余三种仪器间瞳孔测量结果差异平均值均比较大,这可能是Pentacam HR与iTrace测量的Kappa角结果差异均存在统计学意义的主要因素,虽然在本研究中Pentacam HR和Lenstar900、Pentacam HR和IOLMaster700之间Kappa角结果差异无统计学意义,但P值分别为0.044和0.036,不能排除因为样本量偏小等因素造成结果无统计学意义的可能,可能需进一步增大样本量明确。
最后,四种仪器测量时光线强度的差异,同样影响瞳孔的大小,进而影响Kappa角测量的结果。虽然四种仪器均是在暗室环境中测量,但仪器测量光源对于瞳孔存在一定的影响,通过每位患者对测量过程中光强度主观评分可以得出,Pentacam HR在测量过程中光刺激较强,有明显的不适感,而IOLMaster700舒适度最好,由于较强的光线刺激导致检查过程中患者瞳孔缩小,从而影响Kappa角的测量结果,因此Pentacam HR和其他三种仪器间Kappa角差值的ICC值低于非Pentacam HR对比组Kappa角差值的ICC值,而IOLMaster700由于测量过程中检测光源最弱,同时可视化固视确认功能提高了检查的可重复性,因此本研究认为其在暗室Kappa角测量上具有一定的优势。
本研究尚存在一些不足。首先,被检者信息不够详尽,如被检眼的屈光状态等;其次,Kappa角属于矢量,存在水平、垂直和正负之分,本研究未进一步统计分析;最后,本研究仅仅纳入年龄相关性白内障患者作为研究对象,对于其他人群如并发性白内障患者、正常人群是否存在同样的研究结果需要进一步的研究来证实。
综上所述,Pentacam HR与iTrace、Lenstar900和IOLMaster700三种仪器之间在暗室中的Kappa角因瞳孔差异而产生较小差异,临床上需谨慎选择使用,建议根据不同仪器间瞳孔测量大小选择更加可靠的Kappa角作为参考,减少多焦点植入术后患者夜间因Kappa角较大造成的视觉干扰情况,提高多焦点人工晶状体术后满意度,同时IOLMaster700作为新型扫频OCT技术的生物测量仪,在暗室Kappa角的测量中可能具有一定的优势。

基金

暂无基金信息

参考文献

1. Karhanová M, Pluhá?ek F, Ml?ák P, et al. The importance of angle kappa evaluation for implantation of diffractive multifocal intra-ocular lenses using pseudophakic eye model[ J]. Acta Ophthalmol, 2015, 93(2): e123-e128.
2. Moshirfar M, Hoggan RN, Muthappan V. Angle Kappa and its importance in refractive surgery[ J]. Oman J Ophthalmol, 2013, 6(3): 151-158.
3. 中华医学会眼科学分会白内障及人工晶状体学组. 中国多焦 点人工晶状体临床应用专家共识(2019年)[ J]. 中华眼科杂志, 2019, 55(7): 491-494.
Group of cataract and intraocular lens of Chinese Society of Ophthalmolog y. Expert consensus on clinical application of multifocal intraocular lens in China (2019)[ J]. Chinese Journal of Ophthalmology, 2019, 55(7): 491-494.
4. 高心怡. 年龄相关性白内障患者Kappa角和Alpha角的变化趋势 研究[D]. 沈阳: 中国医科大学, 2017.
GAO Xinyi. Changes of Kappa Angle and Alpha Angle in patients with age-related cataract[D]. Shenyang: China Medical University, 2017.
5. 李孟琼, 毛祖红, 张广斌. 白内障患者Kappa角特点及明暗状态下 的变化[ J]. 中华眼视光学与视觉科学杂志, 2019, 21(7): 499-506.
LI MQ, MAO ZH, ZHANG GB. Characteristics of angle Kappa and its changes in light and shade in cataract patients[ J]. Chinese Journal of Optometry and Vision Science, 2019, 21(7): 499-506.
6. Armstrong RA. Statistical guidelines for the analysis of data obtained from one or both eyes[ J]. Ophthalmic Physiol Opt, 2013, 33(1): 7-14.
7. de Vries NE, Webers CA, Touwslager WR, et al. Dissatisfaction after implantation of multifocal intraocular lenses[ J]. J Cataract Refract Surg, 2011, 37(5): 859-865.
8. Taketani F, Matuura T, Yukawa E, Hara Y. Influence of intraocular lens tilt and decentration on wavefront aberrations[ J]. J Cataract Refract Surg, 2004, 30(10): 2158-2162.
9. Qi Y, Lin J, Leng L, et al. Role of angle κ in visual quality in patients with a trifocal diffractive intraocular lens[ J]. J Cataract Refract Surg, 2018, 44(8): 949-954.
10. Prakash G, Prakash DR, Agarwal A, et al. Predictive factor and kappa angle analysis for visual satisfactions in patients with multifocal IOL implantation[ J]. Eye (Lond), 2011, 25(9), 1187-1193.
11. 梁健恒, 冯希, 许雅利, 等. 视觉功能分析仪和扫频光学生物测量 仪测量白内障患者Kappa角与Alpha角的比较[ J]. 中华眼视光学 与视觉科学杂志, 2021, 23(2): 98-103.
LIANG JH, FENG X, XU YL, et al. Comparison of angle Kappa and angle Alpha in cataract patients measured by visual function analyzer and frequency-scanning optical biometrics[ J]. Chinese Journal of Optometry and Vision Science, 2021, 23(2): 98-103.
12. Qin M, Yuan Y, Wang Y, et al. Comparison of preoperative Angle Kappa measurements in the eyes of cataract patients obtained from Pentacam Scheimpflug system, optical low-coherence reflectometry, and raytracing aberrometry[ J]. 2020. DOI: 10.21203/rs.3.rs-58748/v1.
13. 樊保良, 王静, 邵雨双, 等. Lenstar LS900 测量仪与 iTrace 视觉 功能分析仪测量白内障患者术前 Kappa 角与Alpha 角一致性 研究[ J]. 眼科新进展, 2020, 40(4): 340-343.
FAN BL, WANG J, SHAO YS, et al. Concordance between angle Kappa and angle Alpha measured by Lenstar LS900 instrument and iTrace visual function analyzer in cataract patients before surgery[ J]. New Advances in Ophthalmology, 2020, 40(4): 340-343.
14. Arriola-Villalobos P, Almendral-Gómez J, Garzón N, et al. Agreement and clinical comparison between a new swept-source optical coherence tomography-based optical biometer and an optical low-coherence reflectometry biometer[ J]. Eye (Lond), 2017, 31(3): 437-442.

施引文献

1. 刘帅帅,丁蕾,张霜等.三种仪器测量年龄相关性白内障患者术前Kappa角和Alpha角的对比[J].国际眼科杂志,2022,22(3):490-494.
2. 刘帅帅,刘勇,赵莉莉.应用CASIA2与PentacamHR测量近视者眼前节参数的比较[J].中华眼外伤职业眼病杂志,2022,44(9):695-702.
3. 张晓山,王萍,李帅飞等.Pentacam三维眼前节分析仪与iTrace视觉分析仪测量近视眼Kappa角的一致性分析[J].眼科学报,2023,38(6):449-453.

相关文章