从基因层面揭示户外活动与近视的因果关系:基于孟德尔随机化原理
阅读量:5228
DOI:10.12419/24053101
发布日期:2024-05-28
作者:
魏熙翔 ,杨晖
展开更多 '%20fill='white'%20fill-opacity='0.01'/%3e%3cmask%20id='mask0_3477_29692'%20style='mask-type:luminance'%20maskUnits='userSpaceOnUse'%20x='0'%20y='0'%20width='16'%20height='16'%3e%3crect%20id='&%23232;&%23146;&%23153;&%23231;&%23137;&%23136;_2'%20x='16'%20width='16'%20height='16'%20transform='rotate(90%2016%200)'%20fill='white'/%3e%3c/mask%3e%3cg%20mask='url(%23mask0_3477_29692)'%3e%3cpath%20id='&%23232;&%23183;&%23175;&%23229;&%23190;&%23132;'%20d='M14%205L8%2011L2%205'%20stroke='%23333333'%20stroke-width='1.5'%20stroke-linecap='round'%20stroke-linejoin='round'/%3e%3c/g%3e%3c/g%3e%3c/svg%3e)
关键词
因果关系
孟德尔随机化
户外活动
近视
摘要
目的:运用孟德尔随机化(Mendelian randomization,MR)方法,探索户外活动与近视之间的双向因果关系。方法:来自英国生物银行(UK Biobank)的大型队列研究数据,选择与欧洲血统人群中户外活动与近视相关的相互独立的遗传位点作为IV。户外活动的全基因组关联研究(genome-wide association study, GWAS)数据包含419 314名欧洲人群,而近视的GWAS数据则包含460 536名欧洲人群,其中37 362名近视者和423 174名对照者。通过运用逆方差加权法(inverse variance weighted,IVW)、加权中位数法(weighted median,WM)以及MR Egger法进行MR分析,将比值比作为效应度量指标,深入探讨两者间的双向因果联系。同时,通过MR多态性残差和异常值检测(MR PRESSO)方法剔除SNP异常值,利用MR Egger法以及IVW法的Cochran Q检验对各个单核苷酸多态性(SNP)之间的异质性进行了评估;并且使用MR Egger截距检验SNP的潜在多效性,通过“留一法”敏感性分析检验MR研究是否受单个SNP的影响。结果:IVW分析显示户外活动能显著降低近视的风险(OR = 0.934, 95% CI: 0.922~0.948, P < 0.01)。反向孟德尔随机化分析发现近视者参与户外活动的意愿较低(OR = 0.925, 95%CI: 0.777~1.103)但P = 0.39,未达到统计学意义。双向孟德尔随机化分析的Cochran Q检验、MR PRESSO检测以及MR Egger截距测试结果均显示所选IV间不存在显著异质性和水平多效性问题,而且,“留一法”敏感性分析证实,单个SNP对整体结果未见影响。结论:户外活动可能明显降低近视的风险。
全文
文章亮点
1. 关键发现
本文通过孟德尔随机化研究从基因层面表明户外活动能够显著降低近视的风险。
2. 已知与发现
已知:除了年龄、性别、健康状况、自我效能和动机外,最新研究还发现,遗传学和进化生物学也是影响个体身体活动行为的关键决定因素。
发现:一些观察性研究及随机对照试验显示户外运动有助于延缓近视的进展,但这些研究未能从基因层面阐明两者之间的关系。若能从基因层面探索户外运动与近视的关系,可以进一步补充和扩展随机对照试验的发现,从而为相关领域提供更全面和深入的理解,揭示户外运动与近视之间潜在的基因和环境交互作用。在本研究中,我们将基于孟德尔随机化方法,探讨户外活动与近视的潜在因果关系,以期从基因的角度阐释户外活动在近视防控中的作用。
3. 意义与改变
本研究的意义在于通过孟德尔随机化方法,从基因层面深入探讨了户外活动与近视之间的因果关系。进一步补充和扩展随机对照试验的发现,为近视防控领域中户外活动与近视的关系提供更全面和深入的理解。同时在国家近视防控的大背景下,呼吁家校联合,采取多种措施,让孩子爱上户外活动,主动做到近视防控。
近视在我国乃至全世界都是一个严重的公共卫生问题,其发病率逐年增长[1- 2]。Holden 等[2]对全球近视发病率进行预测,到 2050 年,全球将有 47.58 亿近视人群(占世界人口的49.8%)和 9.38 亿高度近视人群(占世界人口的 9.8%)。高度近视会带来严重的并发症,如视网膜脱落、萎缩、并发青光眼和黄斑裂孔等[3-4]。目前医学界普遍认为近视发病机制涉及遗传与环境两部分,其中遗传基因占主要,而环境因素,诸如长时间近距离用眼及环境光照等也在近视的发生与发展中起重要作用。延缓近视进展的方法在药物层面有低浓度阿托品滴眼[5-6],在视网膜离焦层面有周边离焦框架眼镜、角膜塑形镜、多焦软镜等[7]。然而,这些方法若长期实施,均是一笔相当可观的支出。从经济层面来看,增加户外活动似乎是延缓近视进展的最经济方式。
户外活动与近视之间的联系一直是众多研究关注的焦点。多项研究均显示,儿童和青少年增加日常户外活动时间,能够有效降低近视发生率并减缓其发展速度[8-11]。其理论基础是户外光照可能通过促进多巴胺的分泌来抑制眼轴的增长。然而,现有研究存在一定的局限性,如通过问卷调查进行的观察性研究可能受到反向因果关系的干扰[12],即近视的儿童可能本身较少参与户外活动,而非户外活动的缺乏导致了近视。此外,虽然一些随机对照试验显示户外运动有助于延缓近视的进展,但这些研究未能从基因层面阐明两者之间的关系[13- 14]。
若能从基因层面探索户外运动与近视的关系,可以进一步补充和扩展随机对照试验的发现,从而为相关领域提供更全面和深入的理解,揭示户外运动与近视之间潜在的基因和环境交互作用。在Lancet杂志上发表的一篇综述文章中,作者探讨了多种身体活动的影响因素,其中包括“不活动状态”“锻炼”“运动行为”“步行”和“骑自行车”等各种形式的活动。该研究揭示,除了过去20年已知的影响因素如年龄、性别、健康状况、自我效能和动机外,最新研究还发现,遗传学和进化生物学也是影响个体身体活动行为的关键决定因素[15]。因此,可通过孟德尔随机化(Mendelian randomization, MR)研究将基因预测的户外运动水平和近视的关系进行因果分析。MR是利用与暴露因素强相关的遗传变异为工具变量,推断暴露因素与研究结果之间的因果关系[16]。根据孟德尔遗传规律,亲代的等位基因会随机传递给子代,这一过程类似于随机对照试验中的随机分组,为确定因果效应提供了一种强有力的方法。
为了更好地理解户外活动和近视的关系,有必要进行更深入的研究。目前在近视方面,已有一些MR研究开展,如近视与开角型青光眼的因果关系[17]、教育水平与近视的因果关系[18]、近视与玻璃体疾病的因果关系[19]等。在本研究中,我们将基于MR方法,探讨户外活动与近视的潜在因果关系,以期从基因的角度阐释户外活动在近视防控中的作用。
1 对象和方法
1.1 研究设计
采用双样本MR设计,利用来自独立的全基因组相关性研究(Genome-wide association study, GWAS)的汇总统计数据来研究基因预测的户外运动水平对近视的影响。在 MR 分析中,有效的工具变量(Instrumental variables, IVs)必须满足三个关键假设才能获得可靠的结果:1)IV 与暴露密切相关;2)IV 与任何可能同时影响暴露和结果的混杂因素无关;3)IV 仅通过暴露影响结果[20]。这项研究遵循了最新的指南(STROBE-MR)[21]。图1 展示了本次MR研究的设计。

图 1 本次研究的设计
Figure 1 Design of the Current Study
假设1: IV与暴露密切相关;假设2:IV 与任何可能同时影响暴露和结果的混杂因素无关;假设3:IV 仅通过暴露影响结果。
Hypothesis 1: The Instrumental Variable (IV) is closely related to the exposure; Hypothesis 2: The IV is unrelated to any confounding factors that might simultaneously affect the exposure and outcome; Hypothesis 3: The IV affects the outcome only through the exposure.
1.2 数据来源
研究采用了来自英国生物银行(UK Biobank)的大型队列研究数据。这是一个包含约50万参与者的长期观察性研究项目,旨在探索基因、生活方式及环境因素对健康和疾病的影响。所有参与者均进行了全基因组测序或基因芯片分型,提供了丰富的遗传信息。该大型队列研究数据已对样本数据进行了年龄、性别以及前10个基因主成分的校正处理,以减少潜在混杂因素的影响,并且对基因型数据进行了严格的质量控制,排除了缺失率高、不符合Hardy-Weinberg平衡的单核苷酸多态性(single nucleotide polymorphism, SNP)以及可能影响结果的群体结构因素。同时,排除了非欧洲血统个体以及在基线检查后退出研究的参与者[22]。其中户外活动的数据包括419 314名欧洲人群,数据集为“ukb-b-969”,而近视的GWAS数据则包含460 536名欧洲人群,近视组为37 362名,对照组为423 174名,数据集为“ukb-b-6353”。
1.3 统计学方法
1.3.1 IV选择
利用R软件从GWAS数据中筛选与户外活动和近视相关的SNP作为IV。主要筛选条件:①P <5×10-8;②移除连锁不平衡(r ²=0.001,kb=10 000)[23-24];③使用F统计量来排除较弱的I V,F = β 2 exposure / SE2 exposure [25],当F<10时,表明该IV可能受到较弱IV的偏倚影响[23],因此将其剔除以避免对结果产生影响。最后,考虑到与暴露相关的一些 IV 可能还与家族近视遗传史、高糖饮食、糖尿病、教育程度、长时间电子屏幕使用等因素有关,因此需将其排除,所以通过PhenoScanner(http: //www. phenoscanner. medschl. cam. ac. uk/phenoscanner)查询了所有暴露 IV,并排除了混杂的 IV,见表1。
表1 本研究排除的混杂IV
Table 1 Confounding IVs excluded in this study
1.3.2 MR方法选择
采用逆方差加权法(inverse variance weighted, IVW)为主要分析方法,首先,使用MR Egger法以及IVW法的 Cochran Q检验评估各个SNP之间的异质性:若P <0.05,表明结果存在异质性,则使用随机效应模型,否则使用固定效应模型[26]。此外,为增强结论的可信度,再辅以加权中位数法和MR Egger法进行分析。当IVW法揭示出统计学意义时,加权中位数法和MR Egger法的效应值方向必须与IVW法保持一致,以确保结果的准确性。
1.3.3 敏感性分析
首先通过MR多态性残差和离群值(Mendelian randomization pleiotropy residual sum and outlier, MR PRESSO)法检测SNP异常值,设置迭代次数为5 000,若P <0.01,表明存在离群值,需将其剔除并重新进行分析。其次,使用MR Egger截距进行水平多效性检验(MR Egger intercept test),若P >0.05,则代表不存在水平多效性。再次,采用“留一法”进行检验,通过每次排除单个SNP进行分析,以确定是否存在异常的 SNP。最后,构建漏斗图和森林图对MR的水平多效性进行可视化。当P <0.05时,表示MR分析结果存在潜在的因果关系,并具有统计学意义。所有的统计分析均使用R软件4.1.2版本中的“TwoSampleMR”包进行。图2展示了本次研究的流程。

图 2 本次研究的流程图
Figure 2 Flow chart of this study
2 结果
2.1 户外活动与近视的MR分析
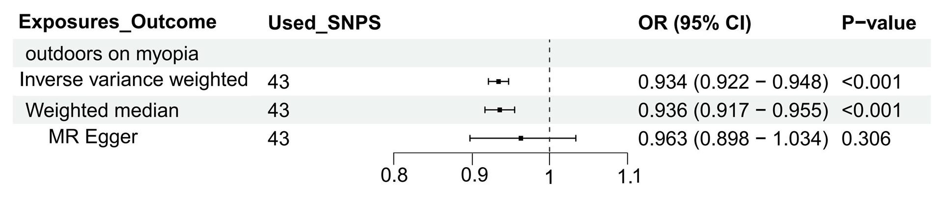
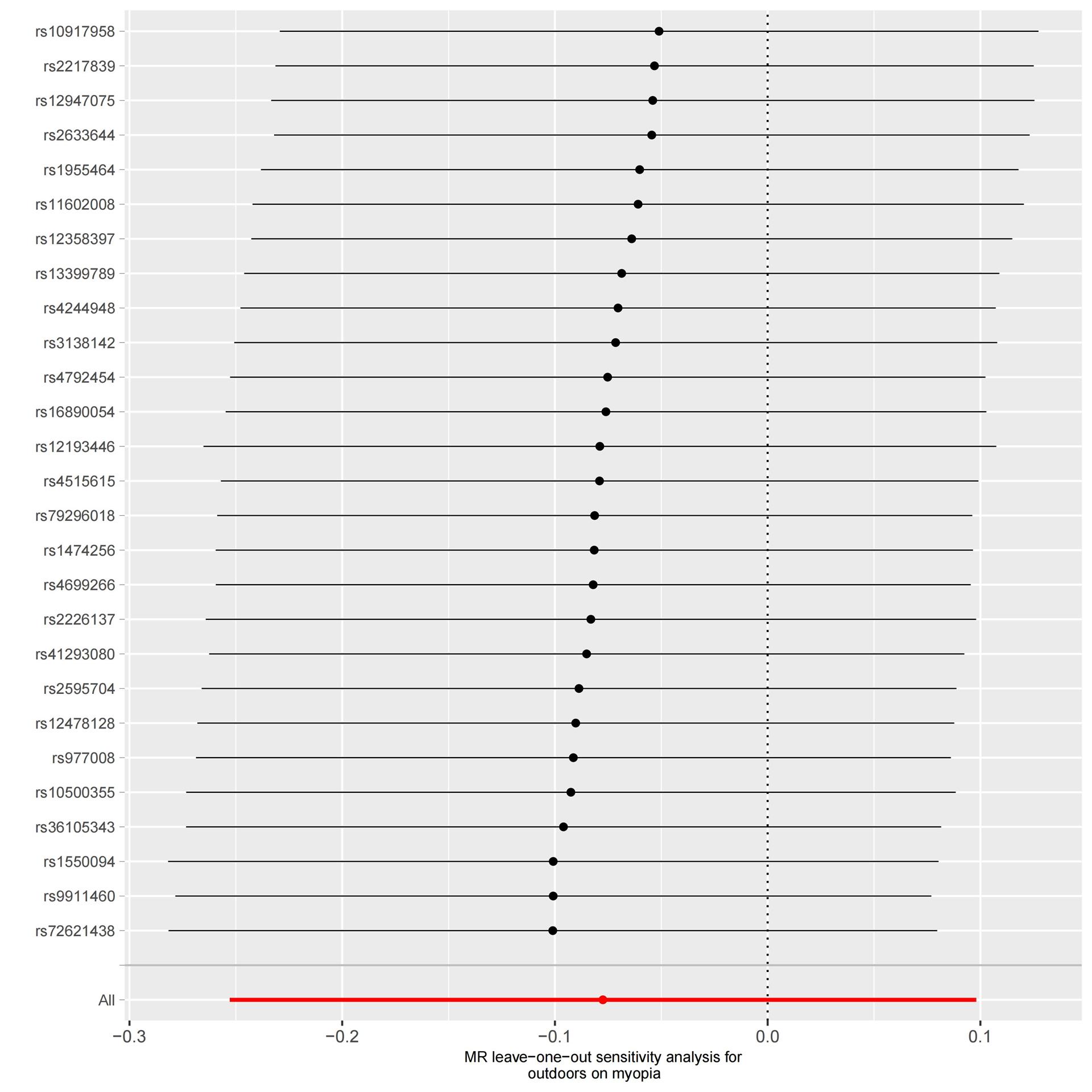
在排除存在连锁不平衡的SNP后,本研究共选取了与户外活动相关的43个SNP作为IV,并确保这些IV不受弱IV的影响(均F>10)。如图3、4所示,IVW法(OR = 0.934, 95% CI: 0.922~0.948, P < 0.01)以及加权中位数法(OR = 0.936, 95% CI: 0.917~0.955, P < 0.01)分析结果显示,户外活动能降低近视的风险。MR Egger法也提示户外活动有降低近视的风险的趋势(OR = 0.963, 95% CI: 0.898~1.034, P = 0.31),但P>0.05,表明MR Egger法并未达到统计学上的显著性。敏感性分析表明,户外活动与近视之间的SNP未见明显的异质性(Cochran Q检验,IVW法:P =0.72;MR Egger法:P =0.72),见表2;散点图结果表明,与户外活动和近视密切相关的SNP具有稳定性,见图4。尽管MR Egger法未能检测到户外活动与近视之间的显著因果关系,但3种方法的结果方向一致(图3、4),即OR均小于1,结合IVW的分析结果,表明户外活动对近视具有保护作用。MR-PRESSO检验的结果未显示有异常SNP(P = 0.42),见表2;漏斗图结果显示SNP呈对称分布,MR分析未显示多效性(图5)。MR Egger截距测试结果显示MR分析未呈现水平多效性(P =0.39),见表2。通过“留一法”敏感性分析,未发现单个SNP对整体结果产生较大影响(图6)。


图 3 户外活动和近视的MR分析结果
Figure 3 Illustrates the Mendelian randomization (MR) estimates of genetically predicted outdoors on myopia
逆方差加权法是主要的分析方法。
The inverse variance weighted method is regarded as the primary analytical approach.
图4 户外活动与近视因果关系的散点图
Figure 4 Scatter plot illustrating the causal relationship between outdoors and myopia
SNP指单核苷酸多态性;MR指孟德尔随机化研究。
SNP, single nucleotide polymorphism; MR, Mendelian randomization.


图 5 户外活动对近视影响的漏斗图
Figure 5 Funnel plot depicting the impact of outdoors on myopia
其中X轴代表工具变量的β值,Y轴代表1/工具变量的标准误差值,MR指孟德尔随机化研究。
The X-axis represents the beta values of the instrumental variables, while the Y-axis represents the values of 1 divided by the standard error of the instrumental variables. MR refers to Mendelian Randomization studies.
表2 双向MR的敏感性分析
Table2 Sensitivity analysis of the bidirectional MR
图 6 户外活动对近视影响的“留一法”敏感性分析结果
Figure 6 Sensitivity analysis results of the impact of outdoors on myopia using the "leave-one-out" approach
黑色圆点代表在排除特定单核苷酸多态性(SNP)并利用其余SNP作为工具变量时所估计的因果效应;水平线则表示该因果效应估计的95%置信区间。MR指孟德尔随机化研究。
The black dots represented the causal effect estimate when excluding the SNP and using the remaining SNPs as instrumental variables; The horizontal black lines represented the 95% confidence intervals of the causal estimate. SNP, single nucleotide polymorphism; MR, Mendelian randomization.
2.2 近视与户外活动的MR分析
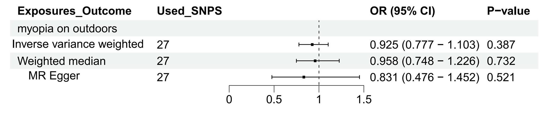
在排除表现出连锁不平衡的SNP后,本研究共选择27个与近视相关的SNP作为IV,确保这些IV不受弱工具偏差的影响(F > 10)。如图7、8所示,IVW法(OR = 0.925, 95%CI: 0.777~1.103, P = 0.39)、加权中位数法(OR = 0.958, 95%CI: 0.748~1.226, P = 0.73)、MR Egger法(OR = 0.831, 95%CI: 0.476~1.452, P = 0.52)的OR值均小于1,提示近视相比于非近视人群更少参与户外活动,但是3种检验方法的P值均大于0.05,表明在本研究中,这一发现并未达到统计学上的显著性。敏感性分析表明,近视与户外活动之间的SNP未见显著的异质性(Cochran Q检验,IVW法:P =0.69;MR Egger法:P =0.64),见表2;MR PRESSO的结果显示未检测到异常的SNP(P =0.76),见表2。散点图结果表明,与近视和户外活动密切相关的SNP具有稳定性,见图8。MR-PRESSO检验的结果未见异常SNP(P = 0.76),见表2;漏斗图结果显示SNP呈对称分布,MR分析未显示多效性(图9)。MR Egger截距测试结果显示MR分析未呈现水平多效性(P =0.70),见表2。通过“留一法”敏感性分析,未发现单个SNP对整体结果产生较大影响(图10)。




图 7 近视和户外活动的孟德尔随机化(MR)分析结果
Figure 7 Illustrates the Mendelian randomization (MR) estimates of genetically predicted myopia on outdoors
逆方差加权法是主要的分析方法。
The inverse variance weighted method is regarded as the primary analytical approach.
图8 近视与户外活动关系的散点图
Figure 8 Scatter plot illustrating the relationship between myopia and outdoors
SNP指单核苷酸多态性,MR指孟德尔随机化研究。
SNP, single nucleotide polymorphism; MR, Mendelian randomization.
图9 近视对户外活动影响的漏斗图
Figure 9 Funnel plot depicting the impact of myopia on outdoors
其中X轴代表工具变量的β值,Y轴代表1/工具变量的标准误差值,MR指孟德尔随机化研究。
The X-axis represents the beta values of the instrumental variables, while the Y-axis represents the values of 1 divided by the standard error of the instrumental variables. MR refers to Mendelian Randomization studies.
图10 近视对户外活动因果的“留一法”敏感性分析结果
Figure 10 Sensitivity analysis results of the impact of myopia on outdoors using the "leave-one-out" approach
黑色圆点代表在排除特定单核苷酸多态性(SNP)并利用其余SNP作为工具变量时所估计的因果效应;水平线则表示该因果效应估计的95%置信区间。MR指孟德尔随机化研究。
The black dots represented the causal effect estimate when excluding the SNP and using the remaining SNPs as instrumental variables; The horizontal black lines represented the 95% confidence intervals of the causal estimate. SNP, single nucleotide polymorphism; MR, Mendelian randomization.
3 讨论
本研究表明,即使在基因层面,对基因预测的户外运动水平和近视进行双向MR研究,仍然可得到户外运动能延缓近视进展的结论。既往的一些研究均表明户外活动能延缓儿童近视的发生发展。澳大利亚的研究人员在2003—2005年间对悉尼51所学校的儿童(分别是6岁和12岁),共3 732名学生进行了横断面研究,结果显示在12岁的学生中,更高水平的户外活动(包括体育运动和休闲活动)与更正视化倾向(即远视程度增加)以及更低的近视发病率相关。调整了近距离工作时间、父母近视情况及种族背景等混杂因素后,仍发现户外活动能显著降低近视风险[8]。中国台湾地区在2013—2015年进行的一项针对学龄前儿童的随机对照试验,研究了户外活动与光照强度对近视进展的影响[27]。该研究纳入了16所学校的693名一年级学生,其中干预组267名、对照组426名。结果表明一年后干预组较对照组表现出更少的近视度数增长(0.35 D vs. 0.47 D,P =0.002)和眼轴增长(0.28 mm vs. 0.33 mm,P =0.003),并且无论原来近视与否,干预组均有明显的近视保护效应。2023年发表在BMC Public Health上的一篇文章,研究了上海市26所小学的8 319名学生,发现在10~11岁年龄段的学生中,体育课上充足的户外活动时间与较低的近视发病率相关[10]。
至于户外活动如何起到延缓近视发生、发展的,目前有以下几种观点:1)光照刺激多巴胺分泌。动物实验表明强光能刺激视网膜释放多巴胺。目前医学界认为多巴胺在调节眼轴生长方面起到关键作用,能够抑制眼轴增长,从而预防或减缓近视进展[28- 29]。2)光照对脉络膜的影响。因脉络膜厚度和近视增长之间呈负相关,因此学者们推测户外活动通过光照使脉络膜增厚进而延缓近视。确实,大多数研究表明,光照能使脉络膜增厚[30-31]。然而也有一些研究得出了相反的结果,如Lou等[32]发现短时间暴露在高光照条件下脉络膜暂时变薄,因此目前光照对脉络膜厚度影响的研究仍存在争议。3)调节与周边离焦。户外活动相对于近距离用眼,理论上无需晶状体的调节,睫状肌得以放松;同时由于远处物体的视觉信息更为丰富,相较于室内近距离或不均匀的视觉场景,可有效减少周边视网膜的远视性离焦,从而能延缓眼轴增长及近视进展[33]。4)维生素D合成。既往人们认为户外光照有利于人体内维生素D的合成,而维生素D水平可能与近视发生有一定关联,关于该潜在机制的研究较少,和以往的观念不同,Gabriel等[34]通过对欧洲及亚洲人种的MR研究,认为维生素D水平与近视无关。
本研究进行的反向MR分析则提出了一个有趣的现象:将近视作为暴露因素、户外活动作为结局因素,结果发现在三种MR检验下的OR值均小于1,尽管P值大于0.05,理论上不存在统计学意义,但也从侧面提示,相比于非近视人群,近视人群或许更少参与户外活动。然而,这一发现仍需进一步的纵向研究或更大规模的MR分来验证其因果性和潜在机制。笔者推测近视群体参与户外活动的意愿较低的原因,可能是部分近视群体未进行屈光矫正(即不愿意佩戴眼镜)或者所佩戴的眼镜未达最佳矫正视力,导致在户外视物模糊因而参加户外活动的意愿较低;或者佩戴框架眼镜不太方便进行户外活动进而放弃户外活动。Li等[35]选取了广州市1 103名初一学生(916名为近视患者)进行的问卷调查结果显示,轻度、中度和重度的近视患者的焦虑得分依次递增,表现出明显的差异性。焦虑与近视程度的关系较为明确,但除重度近视之外,抑郁与近视之间的联系并不明显。作为眼科医生在门诊给家长提出近视防控建议时,除了让孩子增加户外活动,还应该让家长考虑到孩子本身的心理因素,如是否喜好户外活动,可建议家长结合孩子的自身兴趣,例如将户外活动与篮球、羽毛球及各种活动相结合,才能取得更好的近视防控效果。
值得说明的是,本研究通过MR PRESSO检测剔除了IV的异常值,并且进行了各种Cochran Q检验以及MR Egger截距测试,“留一法”敏感性分析,排除了所选IV间的异质性和水平多效性,这表明本次MR分析不受单一遗传标志的影响,结果是稳健的。
本研究也存在一些局限性。首先,由于研究数据都来自欧洲样本,因此研究结果是否适用于其他人种还需进一步验证。另外,基于原始GWAS数据可能存在一些偏倚情况,尽管本研究已进行了各种敏感性分析来验证MR研究的假设,但仍难以完全排除IV的水平多效性。
最后,笔者倡导学校应积极响应国家近视防控的大背景,切实做好学生每日的户外活动,同时也建议家长采取多种措施,让孩子爱上户外活动,主动做到近视防控。
利益冲突
所有作者均声明不存在利益冲突。数据集
本研究使用的数据集可通过以下网址访问:https://gwas.mrcieu.ac.uk/开放获取声明
本文适用于知识共享许可协议 ( Creative Commons),允许第三方用户按照署名(BY)-非商业性使用(NC)-禁止演绎(ND)(CC BY-NC-ND)的方式共享,即允许第三方对本刊发表的文章进行复制、发行、展览、表演、放映、广播或通过信息网络向公众传播,但在这些过程中必须保留作者署名、仅限于非商业性目的、不得进行演绎创作。详情请访问:https://creativecommons.org/licenses/by-nc-nd/4.0/。
基金
1. 厦门市医疗卫生项目(指导性项目)(3502Z20214ZD1240);厦门市医工结合指导性
项目(3502Z20244ZD2058)。This work was supported by Medical and Health Project of Xiamen Guidance Project
(3502Z20214ZD1240) and Xiamen Medical and Engineering Integration Guidance Project (3502Z20244ZD2058).
参考文献
1. Morgan IG, Ohno-Matsui K, Saw SM. Myopia[ J]. Lancet, 2012,
379(9827): 1739-1748. DOI: 10.1016/s0140-6736(12)60272-4.
2. Holden BA, Fricke TR , Wilson DA, et al. Global prevalence of
myopia and high myopia and temporal trends from 2000 through
2050[ J]. Ophthalmology, 2016, 123(5): 1036-1042. DOI: 10.1016/
j.ophtha.2016.01.006.
3. Ikuno Y. Overview of the complications of high myopia[ J]. Retina,
2017, 37(12): 2347-2351. DOI: 10.1097/iae.0000000000001489.
4. 徐捷, 徐亮. 近视防控的六维度评估及防控模式[ J]. 中华眼视
光学与视觉科学杂志, 2018, 20(3): 129-132. DOI: 10.3760/cma.
j.issn.1674-845X.2018.03.001.
Xu J, Xu L. Six dimensional evaluation for myopia prevention and control[ J]. Chin J Optom Ophthalmol Vis Sci, 2018, 20(3): 129-132. DOI: 10.3760/cma.j.issn.1674-845X.2018.03.001.
Xu J, Xu L. Six dimensional evaluation for myopia prevention and control[ J]. Chin J Optom Ophthalmol Vis Sci, 2018, 20(3): 129-132. DOI: 10.3760/cma.j.issn.1674-845X.2018.03.001.
5. Tran HDM, Tran YH, Tran TD, et al. A review of myopia control with
atropine[ J]. J Ocul Pharmacol Ther, 2018, 34(5): 374-379. DOI:
10.1089/jop.2017.0144.
6. Upadhyay A, Beuerman RW. Biological mechanisms of atropine control
of myopia[ J]. Eye Contact Lens, 2020, 46(3): 129-135. DOI: 10.1097/
ICL.0000000000000677.
7. Huang J, Wen D, Wang Q, et al. Eff icac y comparison of 16
interventions for myopia control in children: a network metaanalysis[ J]. Ophthalmology, 2016, 123(4): 697-708. DOI: 10.1016/
j.ophtha.2015.11.010.
8. Rose KA, Morgan IG, Ip J, et al. Outdoor activity reduces the
prevalence of myopia in children[ J]. Ophthalmology, 2008, 115(8):
1279-1285. DOI: 10.1016/j.ophtha.2007.12.019.
9. Galvis V, Tello A, Gómez LM, et al. Re: Wu etal.: Myopia prevention
and outdoor light intensity in a school-based cluster randomized trial
(Ophthalmology. 2018;125: 1239-1250)[ J]. Ophthalmology, 2018,
125(11): e77. DOI: 10.1016/j.ophtha.2018.06.003.
10. Shi JJ, Wang YJ, Lyu PP, et al. Effects of school myopia management
measures on myopia onset and progression among Chinese primary
school students[ J]. BMC Public Health, 2023, 23(1): 1819. DOI:
10.1186/s12889-023-16719-z.
11. Liao S, Li X, Bai N, et al. An empirical study on the effect of outdoor
illumination and exercise intervention on Children's vision[ J].
Front Public Health, 2023, 11: 1270826. DOI: 10.3389/fpubh.
2023.1270826.
12. Bro T, Ludvigsson J. Time spent outdoors in childhood related to
myopia among young adults in the Swedish ABIS cohort[ J]. Acta
Ophthalmol, 2024. DOI: 10.1111/aos.16688.
13. He M, Xiang F, Zeng Y, et al. Effect of time spent outdoors at school on
the development of myopia among children in China: a randomized
clinical trial[ J]. JAMA, 2015, 314(11): 1142-1148. DOI: 10.1001/
jama.2015.10803.
14. He X, Sankaridurg P, Wang J, et al. Time outdoors in reducing
myopia[ J]. Ophthalmology, 2022, 129(11): 1245-1254. DOI:
10.1016/j.ophtha.2022.06.024.
15. Bauman AE, Reis RS, Sallis JF, et al. Correlates of physical activity: why
are some people physically active and others not?[ J]. Lancet, 2012,
380(9838): 258-271. DOI: 10.1016/S0140-6736(12)60735-1.
16. Burgess S, Davey Smith G, Davies NM, et al. Guidelines for
performing Mendelian randomization investigations: update for
summer 2023[ J]. Wellcome Open Res, 2019, 4: 186. DOI: 10.12688/
wellcomeopenres.15555.3.
17. Chong RS, Li H, Cheong AJY, et al. Mendelian randomization
implicates bidirectional association between myopia and primary openangle glaucoma or intraocular pressure[ J]. Ophthalmology, 2023,
130(4): 394-403. DOI: 10.1016/j.ophtha.2022.11.030.
18. Mountjoy E, Davies NM, Plotnikov D, et al. Education and myopia:
assessing the direction of causality by Mendelian randomisation[ J].
BMJ, 2018, 361: k2022. DOI: 10.1136/bmj.k2022.
19. Xu J, Mo Y. Mendelian randomization study confirms causal
relationship between myopia and vitreous disorders[ J]. BMC Med
Genomics, 2023, 16(1): 238. DOI: 10.1186/s12920-023-01673-x.
20. Burgess S, Scott RA, Timpson NJ, et al. Using published data in
Mendelian randomization: a blueprint for efficient identification of
causal risk factors[ J]. Eur J Epidemiol, 2015, 30(7): 543-552. DOI:
10.1007/s10654-015-0011-z.
21. Skrivankova VW, Richmond RC, Woolf BAR, et al. Strengthening the
reporting of observational studies in epidemiology using Mendelian
randomization: the STROBE-MR statement[ J]. JAMA , 2021,
326(16): 1614-1621. DOI: 10.1001/jama.2021.18236.
22. Sudlow C, Gallacher J, Allen N, et al. UK biobank: an open access
resource for identifying the causes of a wide range of complex diseases
of middle and old age[ J]. PLoS Med, 2015, 12(3): e1001779. DOI:
10.1371/journal.pmed.1001779.
23. G r o v e r S , D e l G r e c o M F, S t e i n C M , e t a l . M e n d e l i a n
randomization[M]//Methods in Molecular Biology. New York, NY:
Springer New York, 2017: 581-628. DOI: 10.1007/978-1-4939-7274-
6_29.
24. 王莉娜, ZhangZuofeng. 孟德尔随机化法在因果推断中的应用
[ J]. 中华流行病学杂志, 2017, 38(4): 547-552. DOI: 10.3760/cma.
j.issn.0254-6450.2017.04.027.
Wang LN, Zhang ZF. Mendelian randomization approach, used for causal inferences[ J]. Chin J Epidemiol, 2017, 38(4): 547-552. DOI: 10.3760/cma.j.issn.0254-6450.2017.04.027.
Wang LN, Zhang ZF. Mendelian randomization approach, used for causal inferences[ J]. Chin J Epidemiol, 2017, 38(4): 547-552. DOI: 10.3760/cma.j.issn.0254-6450.2017.04.027.
25. Burgess S, Thompson SG, CHD Genetics Collaboration CRP. Avoiding
bias from weak instruments in Mendelian randomization studies[ J]. Int
J Epidemiol, 2011, 40(3): 755-764. DOI: 10.1093/ije/dyr036.
26. Papadimitriou N, Dimou N, Tsilidis KK, et al. Physical activity and risks
of breast and colorectal cancer: a Mendelian randomisation analysis[ J].
Nat Commun, 2020, 11(1): 597. DOI: 10.1038/s41467-020-14389-8.
27. Wu PC, Chen CT, Lin KK, et al. Myopia prevention and outdoor light
intensity in a school-based cluster randomized trial[ J]. Ophthalmology,
2018, 125(8): 1239-1250. DOI: 10.1016/j.ophtha.2017.12.011.
28. Norton TT, Jr Siegwart JT. Light levels, refractive development, and
myopia: a speculative review[ J]. Exp Eye Res, 2013, 114: 48-57. DOI:
10.1016/j.exer.2013.05.004.
29. Muralidharan AR , Lança C, Biswas S, et al. Light and myopia:
from epidemiological studies to neurobiological mechanisms[ J].
Ther Adv Ophthalmol, 2021, 13: 25158414211059246. DOI:
10.1177/25158414211059246.
30. Read SA, Pieterse EC, Alonso-Caneiro D, et al. Daily morning light
therapy is associated with an increase in choroidal thickness in healthy
young adults[ J]. Sci Rep, 2018, 8(1): 8200. DOI: 10.1038/s41598-
018-26635-7.
31. Chakraborty R, Baranton K, Spiegel D, et al. Effects of mild- and
moderate-intensity illumination on short-term axial length and
choroidal thickness changes in young adults[ J]. Ophthalmic Physiol
Opt, 2022, 42(4): 762-772. DOI: 10.1111/opo.12988.
32. Lou L, Ostrin LA. The outdoor environment affects retinal and
choroidal thickness[ J]. Ophthalmic Physiol Opt, 2023, 43(3): 572-
583. DOI: 10.1111/opo.13107.
33. Lingham G, MacKey DA, Lucas R, et al. How does spending time
outdoors protect against myopia? A review[ J]. Br J Ophthalmol, 2020,
104(5): 593-599. DOI: 10.1136/bjophthalmol-2019-314675.
34. Cuellar-Partida G, Williams KM, Yazar S, et al. Genetically low
vitamin D concentrations and myopic refractive error: a Mendelian
randomization study[ J]. Int J Epidemiol, 2017, 46(6): 1882-1890.
DOI: 10.1093/ije/dyx068.
35. Li Q, Yang J, He Y, et al. Investigation of the psychological health of
first-year high school students with myopia in Guangzhou[ J]. Brain
Behav, 2020, 10(4): e01594. DOI: 10.1002/brb3.1594.