骨关节炎和青光眼的双向孟德尔随机化研究
阅读量:5437
DOI:10.12419/24031601
发布日期:2024-02-08
作者:
许凯 ,梁江
展开更多 '%20fill='white'%20fill-opacity='0.01'/%3e%3cmask%20id='mask0_3477_29692'%20style='mask-type:luminance'%20maskUnits='userSpaceOnUse'%20x='0'%20y='0'%20width='16'%20height='16'%3e%3crect%20id='&%23232;&%23146;&%23153;&%23231;&%23137;&%23136;_2'%20x='16'%20width='16'%20height='16'%20transform='rotate(90%2016%200)'%20fill='white'/%3e%3c/mask%3e%3cg%20mask='url(%23mask0_3477_29692)'%3e%3cpath%20id='&%23232;&%23183;&%23175;&%23229;&%23190;&%23132;'%20d='M14%205L8%2011L2%205'%20stroke='%23333333'%20stroke-width='1.5'%20stroke-linecap='round'%20stroke-linejoin='round'/%3e%3c/g%3e%3c/g%3e%3c/svg%3e)
关键词
骨关节炎
青光眼
孟德尔随机化
因果关系
摘要
目的:利用双向孟德尔随机化方法(mendelian randomization,MR)探索骨关节炎与青光眼的潜在因果关系。方法:使用全基因组关联研究(genome-wide association studies,GWAS)数据,挑选出与骨关节炎和青光眼高度相关的单核苷酸多态性(single nucleotide polymorphism,SNP)作为工具变量。本研究以逆方差加权法(inverse variance weighted,IVW)作为主要的分析手段,以加权中位数法、加权模型法、简单众数法及MR-Egger回归法作为辅助方法,采用F统计量、Cochran Q检验、MR Egger截距测试、留一法(leave one out)及多效性残差和离群值法(mendelian randomization pleiotropy RESidual sum and outliers,MR-PRESSO)进行敏感性分析。本研究采用比值比(odds ratio,OR)作为主要的效应量度指标,以95%置信区间(confidence interval,CI)评估关联强度,探讨骨关节炎与青光眼的双向因果关系。结果:IVW结果表明骨关节炎可增加青光眼的患病风险(95%CI: 1.00~1.20,OR=1.10,P=0.043),辅助方法的结果显示了相同的因果方向,但无统计学意义。在反向MR分析中,IVW结果表明,青光眼不会增加患骨关节炎的风险(OR=1.02,95%CI: 0.97~1.08),4种辅助方法均支持IVW结果。所选SNP的F统计量均超过10,无弱工具变量。Cochran Q检验、MR-Egger截距检验以及MR-PRESSO分析结果均未显示所选SNP之间存在异质性或水平多效性。反向MR分析结果显示Cochran Q检验有异质性,但未发现水平多效性。留一法结果显示没有对整体分析结果产生了显著影响的SNP。结论:正向MR分析表明骨关节炎可能会增加患青光眼的风险,二者之间存在正相关。反向MR分析结果表明,青光眼对骨关节炎无因果效应。
全文
文章亮点
1. 关键发现
骨关节炎可能会增加患青光眼的风险,二者之间存在正相关,青光眼对骨关节炎无因果效应。
2. 已知与发现
已知骨关节炎和青光眼都与炎症相关,但二者之间的因果关系尚不明确。本研究首次使用双向孟德尔随机化方法,探究了骨关节炎和青光眼之间的潜在因果关系,并发现遗传学预测的骨关节炎与青光眼呈正相关因果关联。
3. 意义与改变
本研究为骨关节炎和青光眼之间的关联提供了新的证据,提示 OA 患者可能需要筛查青光眼,预防或延缓失明,以改善患者的视力和生活质量。
骨关节炎(osteoarthritis,OA)是一种累及活动关节的慢性退行性疾病 [1] ,其特征是软骨退化、骨重塑和炎症,导致关节疼痛、肿胀和僵硬,导致活动受限 [2] 。根据一项2017年全球疾病负担研究显示,OA的患病人数超过3亿 [3] 。随着医疗技术的不断进步和发展以及人们生活水平和质量的提升,人均寿命和预期寿命持续增长,但受年龄增长和肥胖等因素的影响,OA的患病率亦呈上升趋势,病情会逐渐进展,导致关节疼痛、活动受限和畸形,严重影响患者的生活质量 [4] 。
青光眼(glaucoma)是一种以视网膜神经节细胞变性、特异性视神经萎缩和进行性视野缺失为共同特征的眼病,主要与病理性眼内压的升高相关 [5] 。预计到2040年,全球青光眼患病人数将超过1.11亿人 [6] ,据相关研究 [7] 显示,青光眼是不可逆视力丧失的主要原因。眼压升高通常被认为是青光眼发生和发展的主要原因,相关临床研究 [8] 证实眼压参与了青光眼的发病,有效降低眼压能够减缓疾病进展。目前临床上以降低眼内压为青光眼的主要治疗原则,传统的治疗方法有药物、激光或手术,但这些治疗方法都无法逆转神经节细胞的进行性损伤 [9] 。
有多项研究显示,炎症、自身免疫与青光眼有关 [10-13] 。多项证据表明,OA是固有免疫参与的一种慢性低度炎症性疾病 [14-15] 。自身免疫和炎症是风湿性疾病的主要特征,青光眼和OA都与自身免疫和炎症相关,它们之间是否具有关联性,值得探讨。
孟德尔随机化(mendelian randomization,MR)是根据遗传数据阐明潜在的因果关系,进行因果推断的成熟方法,特别是随机对照试验不可行且观察性研究由于混杂或反向因果关系存在偏倚时 [16] 。MR使用遗传变异作为测试暴露的工具变量(instrument variables)来推断风险因素是否影响结果,即探讨暴露与结局之间的因果关系 [17] 。
本研究基于公开的全基因组关联研究(genome-wide association studies,GWAS)数据,使用双样本孟德尔随机化研究方法,探究OA和青光眼之间的潜在因果关系。
1 资料与方法
1.1 研究设计
GWAS对人类整个基因组的序列差异进行了分析,这些差异指的是单核苷酸多态性(single nucleotide polymorphisms,SNP),然后从这些SNP中筛选出与疾病相关的SNP。本研究采用双样本MR分析方法,并从公开的汇总统计数据中使用OA和青光眼相关的SNP,以OA相关的SNP作为工具变量(instrumental variable,IV)。在 MR 分析中IV需要满足3个假设:1)IV与暴露有关;2)IV与混杂因素无关;3)IV仅通过暴露影响结果 [18] 。所选GWAS数据的研究对象均为欧洲人群,在一定程度上降低了由人群分层可能引起的偏差。本研究进行双向MR研究OA与青光眼之间的因果关联。图1展示本次的研究设计。
图1 双样本孟德尔随机化(MR)研究设计图
Figure1 Diagram of the two-sample Mendelian randomization (MR) study design
“×”指SNP与混杂因素无关,只能通过暴露途径影响结果。“√”指基因变异与暴露高度相关。MR研究中不应存在虚线路径。SNP:单核苷酸多态性。"×" means that the SNP is not associated with confounders and can only affect the outcome through the exposure pathway. "√" means that the genetic variant is highly correlated with exposure. dashed pathways should not be present in MR studies. SNP: single nucleotide polymorphisms.
1.2 研究设计和数据源
OA的数据来源于布里斯托大学综合流行病学部门(MRC-IEU),有462 933例样本,包括38 472例OA病例和424 461例对照,共有9 851 867个SNP。青光眼的数据来源于尼尔实验室(Neale Lab),有108 817例样本,包括4 758例青光眼病例和104 059例对照,共有10 894 596个SNP。OA和青光眼的GWAS数据均通过IEU (https://gwas.mrcieu.ac.uk)获取。1.3 SNP的选择
在全基因组水平上筛选出达到显著性阈值标准(P<5×10-6 )的SNP,并剔除那些存在连锁不平衡(R 2 <0.001,kb =10 000)的SNP,确保所选SNP的独立性。为了减少混杂因素的干扰,通过查询“GWAS Catalog数据库”(https://www.ebi.ac.uk/gwas/)来实现剔除与混杂因素有关联的SNP。此外,为了避免包括弱工具等变量的影响,需要计算每个SNP的F统计量,并将F统计量小于10的SNP剔除。F统计量采用以下公式计算F=[R 2×(N-1-K)]/ [K×(1-R 2 )],N表示暴露数据的样本数量,K为SNP数量,R 2 表示每个工具变量单独解释的暴露方差 [19],R 2 可通过 2×EAF×(1-EAF)× β 2得出,EAF是突变的基因频率,β是等位基因的效应值 [20] 。1.4 MR分析
IVW通过分析每个SNP因果效应的估计值,可以提供较稳定和准确的因果关系,因此,IVW方法常被作为MR分析的主要统计方法 [21] 。故以IVW作为主要的分析手段,以加权中位数法(weighted median,WM)、加权模型法(weighted mode)、简单众数法(simple mode,SM)及MR-Egger回归法作为辅助分析方法。敏感性分析采用异质性检验法、多效性残差和离群值法、水平多效性检验法和留一法4种方法,异质性检验法采用Cochran's Q检验,如检测有异质性则采用多效性残差和离群值法(multiplicity of residuals and outliers method,MR-PRESSO)检测有无离群值,并将得到的离群值剔除后再进行MR分析。水平多效性检验法以MR-Egger的截距表示,采用留一法(leave-one-out),留一法通过逐一去除各个 SNP 并计算剩余SNP 的合并效应,分别评估每个SNP对总因果效应的影响。统计功效使用在线mRnd统计功效计算器(https://shiny.cnsgenomics.com/mRnd)进行计算。1.5 统计分析方法
所有分析均使用R软件(version 4.3.2)中的TwoSample MR工具包(version 0.5.8)和MR-PRESSO工具包(version 1.0)进行统计学分析。使用比值比(odds ratio,OR)描述因果效应。α =0.05。2 结 果
2.1 工具变量的选取
根据工具变量筛选标准(P <5×10-6,R 2 <0.001,kb=10 000),以OA作为暴露时,提取到50个SNP,去除与混杂因素相关的SNP后有43个SNP。以青光眼为暴露时提取到37个SNP。MR-PRESSO结果显示无离群值。F统计量计算结果显示所有SNP的F统计量均大于10,所选SNP受弱工具变量的影响。2.2 双向MR分析
MR结果如图2所示,IVW显示OA与青光眼的风险呈正相关(OR=1.10,95%CI= 1.00~1.20),4种辅助方法的结果与IVW一致,均为正相关,但差异无统计学意义(MR Egger: OR=1.08,95%CI: 0.88~1.33;weighted median: OR=1.07,95%CI: 0.92~1.25;SM: OR=1.12,95%CI: 0.84~1.50;weighted mode:OR=1.08,95%CI=0.90~1.29),表明OA会增加青光眼的发病风险,见图4A,经计算本研究的统计功效为14%。结果显示青光眼与OA无显著因果效应(IVW: OR=1.02,95%CI: 0.97~1.08),且MR Egger、Weighted mode结果方向不一致。
图2 MR结果
Figure2 Graph of MR results
垂直虚线表示无效线(OR=1),每个方格对应的水平坐标表示不同方法计算的OR值,每条水平实线表示对应OR值的95%CI。CI,置信区间。
The vertical dashed line indicates the null line (OR=1), the horizontal coordinates corresponding to each square indicate the OR values calculated by different methods, and each horizontal solid line indicates the 95% CI of the corresponding OR value. ci, confidence interval.


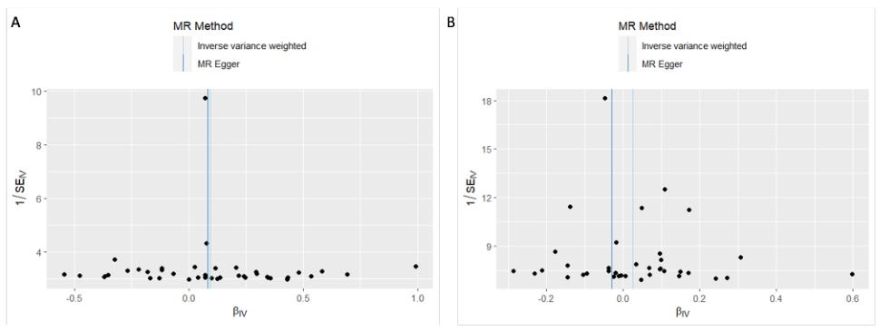
图3 双向MR异质性检验结果图
Figure 3 Graph of the results of two-way MR heterogeneity test
(A)暴露为骨关节炎,结局为青光眼;(B)暴露为青光眼,结局为骨关节炎。
(A) Exposed to osteoarthritis, outcome is glaucoma; (B) Exposed to glaucoma, outcome is osteoarthritis.
2.3 敏感性分析
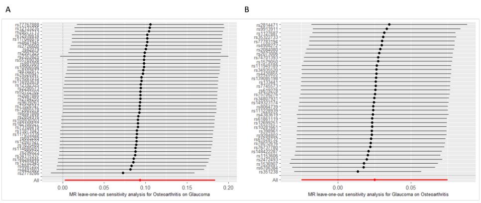
对纳入的工具变量SNP进行异质性检验及多效性分析。以OA为暴露,青光眼为结局时,使用 Cochran'sQ 进行异质性检验,结果显示纳入的SNP之间没有异质性(P>0.05)。MR-PRESSO 检验显示纳入的SNP不存在水平多效性(P >0.05)。MR-Egger结果也表明无水平多效性(P >0.05)。以青光眼为暴露,OA为结局,进行以上敏感性分析,Cochran's Q检验显示有异质性(P <0.05),MR-Egger和MR-PRESSO 检验均表明无水平多效性(表1)。留一法结果显示,双向MR均没有发现单个SNP可对MR分析的效应量产生显著影响(图5)。
图5 双向MR留一法结果图
Figure5 Graph of results of two-way MR leave-one-out method
3 讨论
本研究采用双向MR方法,发现遗传学预测的OA与青光眼呈正相关因果关联,且经检验未发现异质性与多效性,从而验证了研究结果的可靠性。反向MR未发现青光眼与OA之间存在因果关联的证据。风湿性疾病是由于一类免疫系统功能异常或缺陷所导致的多器官、多系统损害的疾病,有非常复杂的疾病谱 [22] 。风湿性疾病相关的眼部损害并不少见,如类风湿性关节炎患者常见干燥性角膜炎 [23] ,原发性干燥综合征患者中可出现泪腺的损害 [24] ,系统性红斑狼疮可见眼眶肌炎 [25] ,这表明风湿性疾病作为多器官损害的疾病,是眼部损害的潜在风险因素。
Dönertas等[26] 利用英国生物银行的GWAS数据研究对116种年龄相关疾病,如OA、青光眼和冠状动脉粥样硬化性心脏病(冠心病)等,进行了遗传关联分析。研究通过年龄发病曲线将疾病分为4组,发现具有相似发病年龄的疾病在遗传上更为相似,这表明它们可能有共同的病因。但OA和青光眼二者间的因果关系并不明确。目前尚无关于OA合并青光眼患病率的已发表数据,这表明对于OA中合并青光眼的患者需要给予更多关注。
由于目前OA与青光眼之间的相关性研究不足,OA患者青光眼的具体发病机制尚不清楚,但可能与相同的信号通路有关,如丝裂原活化蛋白激酶(mitogen-activated protein kinase,MAPK)信号通路和磷脂酰肌醇3-激酶((phosphoinositide 3-kinase,PI3K)/蛋白激酶B(protein kinase B,AKT)通路。信号通路是由3种激酶组成,这些激酶以级联方式起作用,参与调控细胞的生长、分化和凋亡等多种生物学过程 [27] ,MAPK信号通路与许多生物活性调节因子相互作用,例如激素、细胞因子和生长因子,以及来自环境的内部应激信号和外部信号 [28] 。MAPK家族至少可分为4个亚族:细胞外调节蛋白激酶(extracellular regulated protein kinases,ERK),包括ERK1和ERK2,c-Jun氨基末端激酶(c-Jun N-terminal kinase,JNK),包括JNK1、JNK2 和JNK3,p38和ERK5,分别代表四条经典的MAPK通路 [29] 。相关研究显示MAPK参与了青光眼的病理改变过程,如ERK1/2参与促进细胞外基质的产生 [30] ,可阻碍房水排出。p38和ERK1/2通路参与了人眼小梁网细胞中促炎细胞因子白介素-6(interleukin-6,IL-6)的上调,通过抑制该信号通路也可显著降低IL-6的水平 [31] 。相关研究显示,MAPK信号通路参与OA的软骨损伤 [32] 。另有相关研究发现p38信号通路能使炎症因子如IL-1β、肿瘤坏死因子-α(tumor necrosis factor-α,TNF-α)等的合成增加,从而加重OA炎症反应。以上研究说明MAPK信号通路是OA和青光眼的共同信号通路。PI3K/ AKT是机体中的基础信号通路之一,参与绝大多数生命活动。有研究者发现,PI3K/AKT 通路与OA的发病具有密切关系,该通路激活后可抑制软骨细胞凋亡 [33] 。有相关基础研究显示,PI3K/AKT信号通路在青光眼的发生、发展中被异常活化,并与视网膜神经节细胞的凋亡和炎症反应相关 [34] 。以上研究表明,PI3K/AKT信号通路也是OA和青光眼的共同信号通路。而这些共同的信号通路与炎症密切相关。已有研究表明OA和青光眼均涉及多个免疫途径,例如MAPK和PI3K/AKT信号通路,这些通路与炎症密切相关。这提示OA和青光眼之间的关联可能与共同免疫途径有关。然而,目前尚无明确的证据表明OA和青光眼之间存在直接的因果关系。本研究为OA和青光眼之间的潜在关联提供了新的证据,证实了OA和青光眼在遗传上的关联,明确了二者之间的因果关系,为未来的研究提供了新的方向,以及OA患者青光眼筛查的必要性。
尽管在过去几十年中,青光眼的治疗取得了相当大的进展,但青光眼引起的视神经损伤和视网膜神经节细胞凋亡仍然是不可逆的,而且青光眼的诊断往往是延迟的,因为患者可能一直保持无症状的状态,直到晚期出现症状时才就诊 [35] 。此外,与视力相关的生活质量下降可能在患者尚未意识到自己患有青光眼之前就已经出现,这强调了早期诊断和治疗的重要性 [36] 。总的来说,识别青光眼的危险因素可能有助对高风险人群(例如OA患者)进行有针对性的筛查,于预防或延缓这些患者的失明,对于提升其生活质量有重要的意义。
本研究也具有一些局限性。第一,在筛选工具变量时剔除了连锁不平衡的SNP,可能导致有效工具变量的数量减少,从而影响统计效力。第二,尽管已经使用MR-PRESSO测试来筛选和丢弃异常值SNP,但不能完全排除异质性对研究结果的潜在影响。青光眼作为一种复杂疾病,存在多种亚型,而不同亚型的遗传结构可能存在差异,这也可能影响统计效力。第三,我国OA和青光眼GWAS公开数据少,如以OA和青光眼为检索词,在“国家生物信息中心”(https://www.cncb.ac.cn/)进行检索后未找到相关数据。相关疾病公开数据库建设不完全,如我国“国家人类遗传资源共享服务平台”(https://www.egene.org.cn/)的疾病科学数据库仍处于建设中。所有使用的数据都来自欧洲人群,本项研究结果不一定可以推广到其他种族的人群。第四,本研究中OA对青光眼患病风险的OR值为1.10,尽管存在一定的正向关联,但该值相对较低。这可能是由于以下几种因素的综合作用:首先,OA和青光眼的患病率存在差异。OA的患病率较高 [3] ,而青光眼的患病率相对较低 [6] ,OA对青光眼患病风险的影响有限,难以导致显著的OR值变化。其次,青光眼的发病受多因素影响,包括遗传、年龄、眼压等 [5] ,而OA可能只是其中的一个因素,因此对OR值的影响有限。此外,OA与青光眼的关联机制复杂,涉及多种途径,单一途径的影响可能较小。结果提示OA可能增加青光眼患病风险约10%,这对临床上具有一定的参考价值,提示OA患者可能需要青光眼筛查,但确切的病理生理机制尚不明确,尚且需要进一步研究。在未来的研究中,需要扩大样本量,并充分考虑疾病的亚型和多种因素影响,以进一步验证两者之间的关系,并开展前瞻性队列研究,验证这一因果关系。
综上所述,本研究使用双向 MR 研究方法, 结果表明OA与青光眼发病风险具有正相关的因果关联,而青光眼对OA则无因果关联。
利益冲突
所有作者均声明不存在利益冲突。开放获取声明
本文适用于知识共享许可协议 (Creative Commons),允许第三方用户按照署名(BY)-非商业性使用(NC)-禁止演绎(ND)(CC BY-NC-ND)的方式共享,即允许第三方对本刊发表的文章进行复制、发行、展览、表演、放映、广播或通过信息网络向公众传播,但在这些过程中必须保留作者署名、仅限于非商业性目的、不得进行演绎创作。详情请访问:https://creativecommons.org/licenses/by-nc-nd/4.0/。基金
1. 贵州省“十四五”中医药、民族医药重点学科建设。
This work was supported by the Key discipline construction of traditional Chinese medicine and ethnic medicine in Guizhou Province during the "14th Five-Year Plan" period.
This work was supported by the Key discipline construction of traditional Chinese medicine and ethnic medicine in Guizhou Province during the "14th Five-Year Plan" period.
参考文献
1. Abramoff B, Caldera FE. Osteoarthritis: pathology, diagnosis, and
treatment options[J]. Med Clin North Am, 2020, 104(2): 293-311.
DOI: 10.1016/j.mcna.2019.10.007.
2. Martel-Pelletier J, Barr AJ, Cicuttini FM, et al. Osteoarthritis[J]. Nat
Rev Dis Primers, 2016, 2: 16072. DOI: 10.1038/nrdp.2016.72.
3. GBD 2017 Disease and Injury Incidence and Prevalence Collaborators.
Global, regional, and national incidence, prevalence, and years lived
with disability for 354 diseases and injuries for 195 countries and
territories, 1990-2017: a systematic analysis for the Global Burden of
Disease Study 2017[J]. Lancet, 2018, 392(10159): 1789-1858. DOI:
10.1016/S0140-6736(18)32279-7.
4. Johnson VL, Hunter DJ. The epidemiology of osteoarthritis[J].
Best Pract Res Clin Rheumatol, 2014, 28(1): 5-15. DOI: 10.1016/
j.berh.2014.01.004.
5. Weinreb RN, Aung T, Medeiros FA. The pathophysiology and
treatment of glaucoma: a review[J]. JAMA, 2014, 311(18): 1901-1911.
DOI: 10.1001/jama.2014.3192.
6. Barkana Y, Dorairaj S. Re: Tham et Al.: global prevalence of glaucoma
and projections of glaucoma burden through 2040: a systematic
review and meta-analysis (Ophthalmology 2014;121: 2081-90)[J].
Ophthalmology, 2015, 122(7): e40-e41. DOI: 10.1016/j.ophtha.
2014.11.030.
7. Quigley HA. Glaucoma[J]. Lancet, 2011, 377(9774): 1367-1377.
DOI: 10.1016/S0140-6736(10)61423-7.
8. Comparison of glaucomatous progression between untreated patients
with normal-tension glaucoma and patients with therapeutically
reduced intraocular pressures. Collaborative Normal-Tension
Glaucoma Study Group[J]. Am J Ophthalmol, 1998, 126(4): 487-497.DOI: 10.1016/s0002-9394(98)00223-2.
9. Kang J M, Tanna A P. Glaucoma[J]. Med Clin North Am, 2021,
105(3):493-510. DOI: 10.1016/j.mcna.2021.01.004.
10. Carreon T, van der Merwe E, Fellman RL, et al. Aqueous outflow - A
continuum from trabecular meshwork to episcleral veins[J]. Prog Retin
Eye Res, 2017, 57: 108-133. DOI: 10.1016/j.preteyeres.2016.12.004.
11. Kaur I, Kaur J, Sooraj K, et al. Comparative evaluation of the aqueous
humor proteome of primary angle closure and primary open angle
glaucomas and age-related cataract eyes[J]. Int Ophthalmol, 2019,
39(1): 69-104. DOI: 10.1007/s10792-017-0791-0.
12. Kaur I, Kaur J, Sooraj K, et al. Comparative evaluation of the aqueous
humor proteome of primary angle closure and primary open angle
glaucomas and age-related cataract eyes[J]. Int Ophthalmol, 2019,
39(1): 69-104. DOI: 10.1007/s10792-017-0791-0.
13. Charo IF, Ransohoff RM. The many roles of chemokines and
chemokine receptors in inflammation[J]. N Engl J Med, 2006, 354(6):
610-621. DOI: 10.1056/NEJMra052723.
14. Attur M, Krasnokutsky S, Statnikov A, et al. Low-grade inflammation
in symptomatic knee osteoarthritis: prognostic value of inflammatory
plasma lipids and peripheral blood leukocyte biomarkers[J]. Arthritis
Rheumatol, 2015, 67(11): 2905-2915. DOI: 10.1002/art.39279.
15. Scanzello CR, Loeser RF. Editorial: inflammatory activity in
symptomatic knee osteoarthritis: not all inflammation is local[J].
Arthritis Rheumatol, 2015, 67(11): 2797-2800. DOI: 10.1002/
art.39304.
16. Sekula P, Fabiola Greco M, Pattaro C, et al. Mendelian randomization
as an approach to assess causality using observational data[J]. J Am Soc
Nephrol, 2016, 27(11): 3253-3265. DOI: 10.1681/ASN.2016010098.
17. Bowden J, Holmes MV. Meta-analysis and Mendelian randomization: a
review[J]. Res Synth Methods, 2019, 10(4): 486-496. DOI: 10.1002/
jrsm.1346.
18. Burgess S, Thompson SG. Interpreting findings from Mendelian
randomization using the MR-Egger method[J]. Eur J Epidemiol, 2017,
32(5): 377-389. DOI: 10.1007/s10654-017-0255-x.
19. Levin MG, Judy R, Gill D, et al. Genetics of height and risk of atrial
fibrillation: a Mendelian randomization study[J]. PLoS Med, 2020,
17(10): e1003288. DOI: 10.1371/journal.pmed.1003288.
20. Codd V, Nelson CP, Albrecht E, et al. Identification of seven loci
affecting mean telomere length and their association with disease[J].
Nat Genet, 2013, 45(4): 422-427, 427e1-427e2. DOI: 10.1038/
ng.2528.
21. Han Y, Zhang Y, Zeng X. Assessment of causal associations between
uric acid and 25-hydroxyvitamin D levels[J]. Front Endocrinol, 2022,13: 1024675. DOI: 10.3389/fendo.2022.1024675.
22. Alamanos Y, Voulgari PV, Drosos AA. Incidence and prevalence
of rheumatoid arthritis, based on the 1987 American College of
Rheumatology criteria: a systematic review[J]. Semin Arthritis Rheum,
2006, 36(3): 182-188. DOI: 10.1016/j.semarthrit.2006.08.006.
23. Markovitz E, Perry ZH, Tsumi E, et al. Ocular involvement and its'
manifestations in rheumatoid arthritis patients[J]. Harefuah, 2011,
150(9): 713-718, 751.
24. Bjordal O, Norheim KB, Rødahl E, et al. Primary Sjögren's syndrome
and the eye[J]. Surv Ophthalmol, 2020, 65(2): 119-132. DOI:
10.1016/j.survophthal.2019.10.004.
25. Bjordal O, Norheim KB, Rødahl E, et al. Primary Sjögren's syndrome
and the eye[J]. Surv Ophthalmol, 2020, 65(2): 119-132. DOI:
10.1016/j.survophthal.2019.10.004.
26. Dönertaş HM, Fabian DK, Valenzuela MF, et al. Common genetic
associations between age-related diseases[J]. Nat Aging, 2021, 1(4):
400-412. DOI: 10.1038/s43587-021-00051-5.
27. Cargnello M, Roux PP. Activation and function of the MAPKs and
their substrates, the MAPK-activated protein kinases[J]. Microbiol Mol
Biol Rev, 2011, 75(1): 50-83. DOI: 10.1128/MMBR.00031-10.
28. Kim EK, Choi EJ. Pathological roles of MAPK signaling pathways in
human diseases[J]. Biochim Biophys Acta, 2010, 1802(4): 396-405.
DOI: 10.1016/j.bbadis.2009.12.009.
29. Ye M, Luo X, Li L, et al. Grifolin, a potential antitumor natural product
from the mushroom Albatrellus confluens, induces cell-cycle arrest in
G1 phase via the ERK1/2 pathway[J]. Cancer Lett, 2007, 258(2): 199-207. DOI: 10.1016/j.canlet.2007.09.001.
30. Han H, Wecker T, Grehn F, et al. Elasticity-dependent modulation
of TGF-β responses in human trabecular meshwork cells[J]. Invest
Ophthalmol Vis Sci, 2011, 52(6): 2889-2896. DOI: 10.1167/iovs.10-
6640.
31. Liton PB, Li G, Luna C, et al. Cross-talk between TGF-beta1 and IL-6
in human trabecular meshwork cells[J]. Mol Vis, 2009, 15: 326-334.
32. Ding SL, Pang ZY, Chen XM, et al. Urolithin a attenuates IL-1β-
induced inflammatory responses and cartilage degradation via
inhibiting the MAPK/NF-κB signaling pathways in rat articular
chondrocytes[J]. J Inflamm, 2020, 17: 13. DOI: 10.1186/s12950-020-
00242-8.
33. Zhang XF, Ma JX, Wang YL, et al. Calcyclin (S100A6) attenuates
inflammatory response and mediates apoptosis of chondrocytes in
osteoarthritis via the PI3K/AKT pathway[J]. Orthop Surg, 2021,
13(3): 1094-1101. DOI: 10.1111/os.12990.
34. Li RX, Wang Q, Shen ZW, et al. MTIM affects retinal ganglion cells
through PI3K/AKT signaling pathway[J]. Eur Rev Med Pharmacol Sci,
2020, 24(10): 5209-5216. DOI: 10.26355/eurrev_202005_21302.
35. Blindness and vision impairment[EB/OL]. [2022-10-03].https://
www.who.int/news-room/fact-sheets/detail/blindness-and-visual-
impairment.
